Seneste opdatering :
18/03/2026
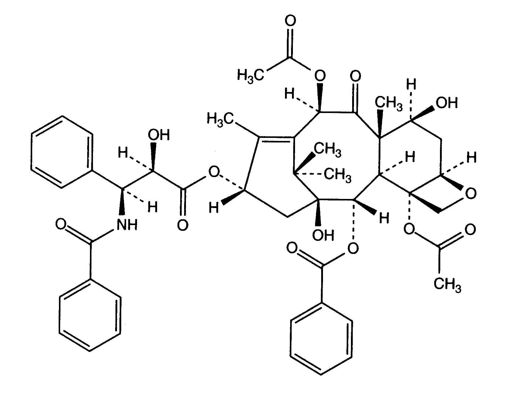
anticancer medicin   Paclitaxel  
Injektion
Stabilitet i (vandige) opløsninger Stabilitet i blandinger Faktorer der påvirker stabiliteten Kompatibilitet Administrationsvej Bibliografi pdf
   Kemisk struktur  

Handelsnavn   Handelsnavn     

Handel navne er vejledende og hjælpestoffer sammensætning kan være forskellig afhængigt af landet og laboratorier

Aclipak Malaysia
Acoexcel Mexico
Acupaxil Marokko
Anzatax Forenede Arabiske Emirater, Iran, Malaysia, Marokko, Marokko, New Zealand, Saudi-Arabien, Tunesien, Tyrkiet, Ægypten
Aritaxel Tyskland
Cantaxel Indien
Clitaxel Argentina, Venezuela
Dalys Argentina
Ebetaxel Iran, Marokko, Saudi-Arabien, Tunesien, Tyrkiet, Østrig
Genexol Indien, Iran, Ægypten
Onxol USA
Paclinova Argentina
Paclitaxin Brasilien, Luxemborg, Malaysia, Slovenien
Parexel Brasilien, Colombia, Ecuador, Venezuela
Paxene Danmark, Grækenland, Holland, Irland, Polen, Spanien
Poltaxel Polen
Ribotax Tyskland
Taxol Brasilien, Colombia, Danmark, Forenede Arabiske Emirater, Grækenland, Holland, Iran, Italien, Japan, Malaysia, Marokko, Marokko, New Zealand, Polen, Portugal, Schweiz, Slovenien, Sverige, Tyrkiet, Venezuela, Ægypten, Østrig
Taxomedac Tyskland
Vitax Brasilien, Marokko, Tyrkiet
Kompatibilitet   Injektion   Kompatibilitet : Paclitaxel              
Denne skærm viser kompatibilitet eller uforenelighed med, i dette tilfælde typen af inkompatibilitet (udfældning, farveændring, ændring af en emulsion osv.). Kompatibiliteterne vist her er for det meste kun fysiske, idet den kemiske stabilitet af hvert molekyle sjældent vurderes. Evalueringen af disse blandinger blev undersøgt for at overveje muligheden for Y-sted-administration til patienten. Disse data kan ikke bruges til at fremstille blandinger på forhånd i poser eller sprøjter. Denne type information findes på skærmen "Stabilitet i blanding".
Molekyle Opløsningsmiddel Bibliografi
Kompatibel
Injektion Paclitaxel 1.2 mg/ml
Injektion Aciclovir sodium 7 mg/ml
5 % Glukose 248
Kompatibel
Injektion Paclitaxel 1.2 mg/ml
Injektion Amikacin sulfate 5 mg/ml
5 % Glukose 248
Kompatibel
Injektion Paclitaxel 1.2 mg/ml
Injektion Aminophylline 2.5 mg/ml
5 % Glukose 248
Umiddelbar turbiditet Uforenelig
Injektion Paclitaxel 1.2 mg/ml
Injektion Amphotericin B 0.6 mg/ml
5 % Glukose 248
Tab af uklarhed Uforenelig
Injektion Paclitaxel 0.6 mg/ml
Injektion Amphotericin B cholesteryl sulfate complex 0.83 mg/ml
5 % Glukose 921
Kompatibel
Injektion Paclitaxel 1.2 mg/ml
Injektion Ampicillin sodium - sulbactam sodium 20/10 mg/ml
5 % Glukose 248
Kompatibel
Injektion Paclitaxel 0.6 mg/ml
Injektion Anidulafungin 0.5 mg/ml
5 % Glukose 1982
Kompatibel
Injektion Paclitaxel 1.2 mg/ml
Injektion Bleomycin sulfate 1 mg/ml
5 % Glukose 248
Kompatibel
Injektion Paclitaxel 1.2 mg/ml
Injektion Butorphanol tartrate 0.04 mg/ml
5 % Glukose 248
Kompatibel
Injektion Paclitaxel 1.2 mg/ml
Injektion Calcium chloride 20 mg/ml
5 % Glukose 248
Kompatibel
Injektion Paclitaxel 1.2 mg/ml
Injektion Carboplatin 5 mg/ml
5 % Glukose 85
Kompatibel
Injektion Paclitaxel 0,3 & 1,2 mg/ml
Injektion Carboplatin 2 mg/ml
0,9 % Natriumklorid 872
Kompatibel
Injektion Paclitaxel 0,3 & 1,2 mg/ml
Injektion Carboplatin 2 mg/ml
5 % Glukose 872
Kompatibel
Injektion Paclitaxel 1.2 mg/ml
Injektion Ceforanide 20 mg/ml
5 % Glukose 248
Kompatibel
Injektion Paclitaxel 1.2 mg/ml
Injektion Ceftazidime 40 mg/ml
5 % Glukose 248
Kompatibel
Injektion Paclitaxel 1.2 mg/ml
Injektion Ceftriaxone disodium 20 mg/ml
5 % Glukose 248
Tab af uklarhed Uforenelig
Injektion Paclitaxel 1.2 mg/ml
Injektion Chlorpromazine hydrochloride 2 mg/ml
5 % Glukose 248
Kompatibel
Injektion Paclitaxel
5 % Glukose 1956
Kompatibel
Injektion Paclitaxel 0,3 & 1,2 mg/ml
Injektion Cisplatin 0,2 mg/ml
0,9 % Natriumklorid 872
Kompatibel
Injektion Paclitaxel 1.2 mg/ml
Parenteral ernæring (lipider) 1415
Kompatibel
Injektion Paclitaxel 1.2 mg/ml
Parenteral ernæring (lipid-fri) 301
Kompatibel
Injektion Paclitaxel 1.2 mg/ml
Injektion Cimetidine hydrochloride 12 mg/ml
5 % Glukose 85
Kompatibel
Injektion Paclitaxel 1.2 mg/ml
Injektion Cisplatin 1 mg/ml
5 % Glukose 85
Kemisk ustabilitet Uforenelig
Injektion Paclitaxel
Injektion Cisplatin
3578
Kompatibel
Injektion Paclitaxel 0.6 mg/ml
Injektion Cladribine 0.5 mg/ml
0,9 % NaCl + antibakteriel 1496
Kompatibel
Injektion Paclitaxel 0.6 mg/ml
Injektion Cladribine 0.015 mg/ml
0,9 % Natriumklorid 1496
Kompatibel
Injektion Paclitaxel 1.2 mg/ml
Injektion Cyclophosphamide 10 mg/ml
5 % Glukose 85
Kompatibel
Injektion Paclitaxel 1.2 mg/ml
Injektion Cytarabine 50 mg/ml
5 % Glukose 85
Kompatibel
Injektion Paclitaxel 1.2 mg/ml
Injektion Dacarbazine 4 mg/ml
5 % Glukose 248
Kompatibel
Injektion Paclitaxel 1.2 mg/ml
Injektion Dexamethasone sodium phosphate 1 mg/ml
5 % Glukose 85
Kompatibel
Injektion Paclitaxel 1.2 mg/ml
Injektion Diphenhydramine hydrochloride 2 mg/ml
5 % Glukose 85
Kompatibel
Injektion Paclitaxel 0,6 mg/ml
Injektion Doripenem 5 mg/ml
0,9 % Natriumklorid 2262
Kompatibel
Injektion Paclitaxel 0,6 mg/ml
Injektion Doripenem 5 mg/ml
5 % Glukose 2262
Kompatibel
Injektion Paclitaxel 0,3 & 1,2 mg/ml
Injektion Doxorubicin hydrochloride 0,2 mg/ml
5 % Glukose 1286
Kompatibel
Injektion Paclitaxel 1.2 mg/ml
Injektion Doxorubicin hydrochloride 2 mg/ml
5 % Glukose 85
Kompatibel
Injektion Paclitaxel 0,3 & 1,2 mg/ml
Injektion Doxorubicin hydrochloride 0,2 mg/ml
0,9 % Natriumklorid 1286
Tab af uklarhed Uforenelig
Injektion Paclitaxel 0.6 mg/ml
Injektion Doxorubicin hydrochloride liposome peg 0.4 mg/ml
5 % Glukose 251
Kompatibel
Injektion Paclitaxel
0,9 % Natriumklorid 1956
Kompatibel
Injektion Paclitaxel 1.2 mg/ml
Injektion Droperidol 0.4 mg/ml
5 % Glukose 248
Kompatibel
Injektion Paclitaxel 1.2 mg/ml
Injektion Etoposide 0.4 mg/ml
5 % Glukose 85
Kompatibel
Injektion Paclitaxel 1.2 mg/ml
Injektion Etoposide phosphate 5 mg/ml
5 % Glukose 1410
Kompatibel
Injektion Paclitaxel 1.2 mg/ml
Injektion Famotidine 2 mg/ml
5 % Glukose 248
Kompatibel
Injektion Paclitaxel 1.2 mg/ml
Injektion Floxuridine 3 mg/ml
5 % Glukose 248
Kompatibel
Injektion Paclitaxel 0,3 & 1,2 mg/ml
Injektion Fluconazole 2 mg/ml
5 % Glukose 151
Kompatibel
Injektion Paclitaxel 1.2 mg/ml
Injektion Fluconazole 2 mg/ml
5 % Glukose 248
Kompatibel
Injektion Paclitaxel 1.2 mg/ml
Injektion Fluorouracil 16 mg/ml
5 % Glukose 85
Kompatibel
Injektion Paclitaxel 1.2 mg/ml
Injektion Furosemide 3 mg/ml
5 % Glukose 248
Kompatibel
Injektion Paclitaxel 1.2 mg/ml
Injektion Ganciclovir sodium 20 mg/ml
5 % Glukose 248
Kompatibel
Injektion Paclitaxel 1.2 mg/ml
Injektion Gemcitabine hydrochloride 10 mg/ml
0,9 % Natriumklorid 1423
Kompatibel
Injektion Paclitaxel 1.2 mg/ml
Injektion Gentamicin sulfate 5 mg/ml
5 % Glukose 248
Kompatibel
Injektion Paclitaxel 1.2 mg/ml
Injektion Granisetron hydrochloride 0.05 mg/ml
5 % Glukose 182
Kompatibel
Injektion Paclitaxel 0.29 mg/ml
Injektion Granisetron hydrochloride 1 mg/ml
0,9 % Natriumklorid 57
Kompatibel
Injektion Paclitaxel 1.2 mg/ml
Injektion Haloperidol lactate 0.2 mg/ml
5 % Glukose 85
Kompatibel
Injektion Paclitaxel 1.2 mg/ml
Injektion Heparin sodium 100 UI/ml
5 % Glukose 248
Kompatibel
Injektion Paclitaxel 1.2 mg/ml
Injektion Hydrocortisone sodium succinate 1 mg/ml
5 % Glukose 248
Kompatibel
Injektion Paclitaxel 1.2 mg/ml
Injektion Hydromorphone hydrochloride 0.5 mg/ml
5 % Glukose 248
Tab af uklarhed Uforenelig
Injektion Paclitaxel 1.2 mg/ml
Injektion Hydroxyzine dihydrochloride 4 mg/ml
5 % Glukose 248
Kompatibel
Injektion Paclitaxel 1.2 mg/ml
Injektion Ifosfamide 25 mg/ml
5 % Glukose 248
Kompatibel
Injektion Paclitaxel 0.6 mg/ml
Injektion Lansoprazole 0.55 mg/ml
0,9 % Natriumklorid 1625
Kompatibel
Injektion Paclitaxel 0.6 mg/ml
Injektion Linezolid 2 mg/ml
Ingen 1925
Kompatibel
Injektion Paclitaxel 1.2 mg/ml
Injektion Lorazepam 0.1 mg/ml
5 % Glukose 85
Kompatibel
Injektion Paclitaxel 1.2 mg/ml
Injektion Magnesium sulfate 100 mg/ml
5 % Glukose 248
Kompatibel
Injektion Paclitaxel 1.2 mg/ml
Injektion Mannitol 150 mg/ml
5 % Glukose 248
Kompatibel
Injektion Paclitaxel 1.2 mg/ml
Injektion Mesna 10 mg/ml
5 % Glukose 248
Kompatibel
Injektion Paclitaxel 1.2 mg/ml
Injektion Methotrexate sodium 15 mg/ml
5 % Glukose 85
Tab af uklarhed Uforenelig
Injektion Paclitaxel 1.2 mg/ml
Injektion Methylprednisolone sodium succinate 5 mg/ml
5 % Glukose 248
Kompatibel
Injektion Paclitaxel 1.2 mg/ml
Injektion Metoclopramide hydrochloride 5 mg/ml
5 % Glukose 85
Tab af uklarhed Uforenelig
Injektion Paclitaxel 1.2 mg/ml
Injektion Mitoxantrone dihydrochloride 0.5 mg/ml
5 % Glukose 248
Kompatibel
Injektion Paclitaxel 1.2 mg/ml
Injektion Morphine sulfate 1 mg/ml
5 % Glukose 248
Kompatibel
Injektion Paclitaxel 1.2 mg/ml
Injektion Nalbuphine hydrochloride 10 mg/ml
5 % Glukose 248
Kompatibel
Injektion Paclitaxel 0.3 & 1.2 mg/ml
Injektion Ondansetron hydrochloride 0.03 & 0.3 mg/ml
5 % Glukose 47
Kompatibel
Injektion Paclitaxel 1.2 mg/ml
Injektion Ondansetron hydrochloride 0.5 mg/ml
5 % Glukose 248
Kompatibel
Injektion Paclitaxel 0,6 mg/ml
Injektion Oxaliplatin 0,5 mg/ml
5 % Glukose 1662
Kompatibel
Injektion Paclitaxel 1,2 mg/ml
Injektion Palonosetron hydrochloride 50 µg/ml
5 % Glukose 1940
Kompatibel
Injektion Paclitaxel 0.6 mg/ml
Injektion Pemetrexed disodium 20 mg/ml
0,9 % Natriumklorid 1953
Kompatibel
Injektion Paclitaxel 1.2 mg/ml
Injektion Pentostatin 0.4 mg/ml
5 % Glukose 248
Kompatibel
Injektion Paclitaxel 1.2 mg/ml
Injektion Pethidine hydrochloride 4 mg/ml
5 % Glukose 248
Kompatibel
Injektion Paclitaxel 1.2 mg/ml
Injektion Potassium chloride 100 mEq/l
5 % Glukose 248
Kompatibel
Injektion Paclitaxel 1.2 mg/ml
Injektion Prochlorperazine edysilate 0.5 mg/ml
5 % Glukose 85
Kompatibel
Injektion Paclitaxel 1.2 mg/ml
Injektion Propofol 10 mg/ml
Ingen 300
Kompatibel
Injektion Paclitaxel 0.3 & 1.2 mg/ml
Injektion Ranitidine hydrochloride 0.5 & 2 mg/ml
5 % Glukose 47
Kompatibel
Injektion Paclitaxel 1.2 mg/ml
Injektion Ranitidine hydrochloride 2 mg/ml
5 % Glukose 85
Kompatibel
Injektion Paclitaxel 1.2 mg/ml
Injektion Sodium bicarbonate 84 mg/ml
5 % Glukose 248
Kompatibel
Injektion Paclitaxel 0.6 mg/ml
Injektion Thiotepa 1 mg/ml
5 % Glukose 249
Kompatibel
Injektion Paclitaxel 0.54 mg/ml
Injektion Topotecan 0.056 mg/ml
0,9 % Natriumklorid 1026
Kompatibel
Injektion Paclitaxel 0.54 mg/ml
Injektion Topotecan 0.056 mg/ml
5 % Glukose 1026
Kompatibel
Injektion Paclitaxel 1.2 mg/ml
Injektion Vancomycin hydrochloride 10 mg/ml
5 % Glukose 85
Kompatibel
Injektion Paclitaxel 1.2 mg/ml
Injektion Vinblastine sulfate 0.12 mg/ml
5 % Glukose 248
Kompatibel
Injektion Paclitaxel 1.2 mg/ml
Injektion Vincristine sulfate 0.05 mg/ml
5 % Glukose 248
Kompatibel
Injektion Paclitaxel 1.2 mg/ml
Injektion Zidovudine 4 mg/ml
5 % Glukose 248

  Mentions Légales