Laatste update :
18/03/2026
geneesmiddel tegen kanker   Paclitaxel  
injecteerbaar geneesmiddel
Stabiliteit in oplossing Stabiliteit in mengsels Factoren die de stabiliteit beïnvloeden Verenigbaarheden Toedieningswijze Literatuur pdf
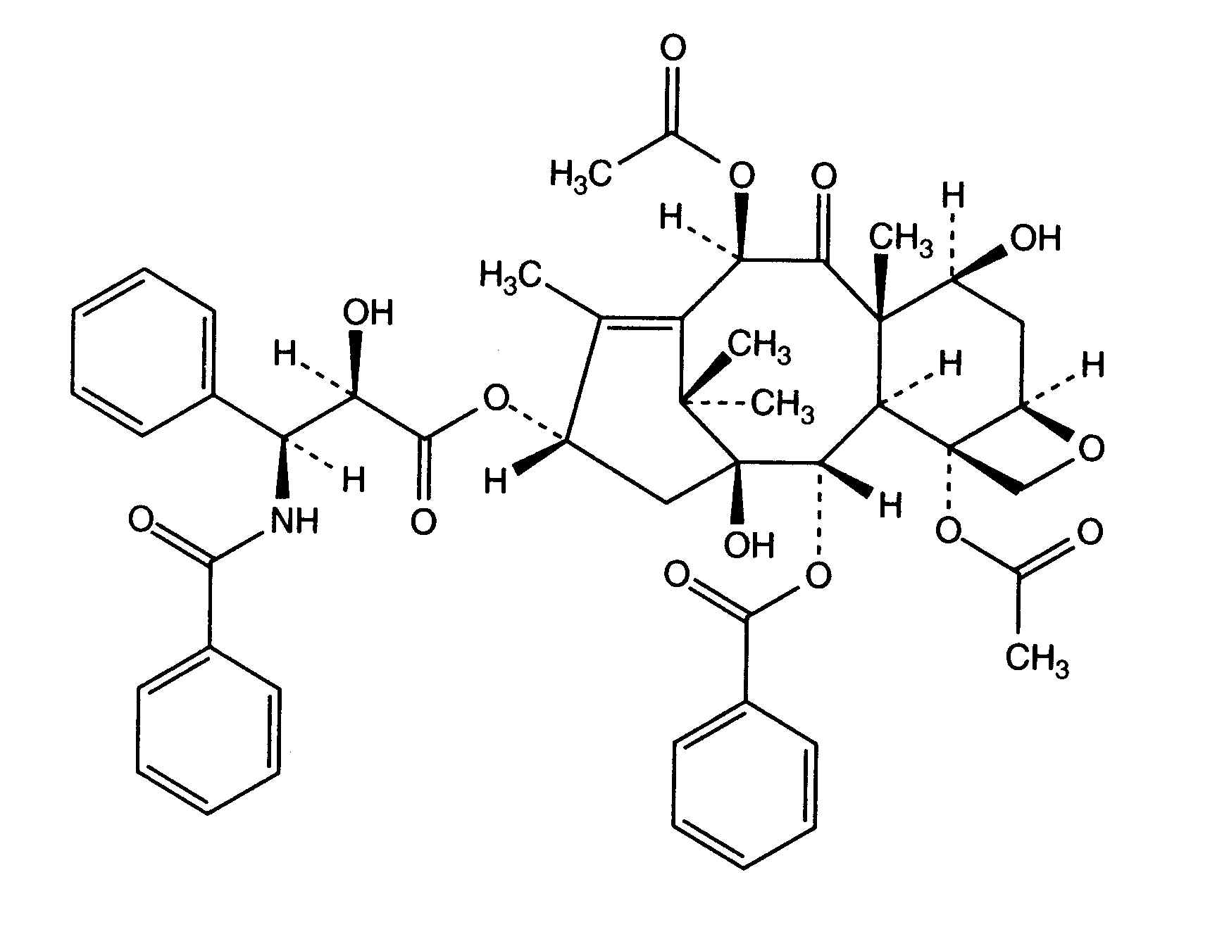
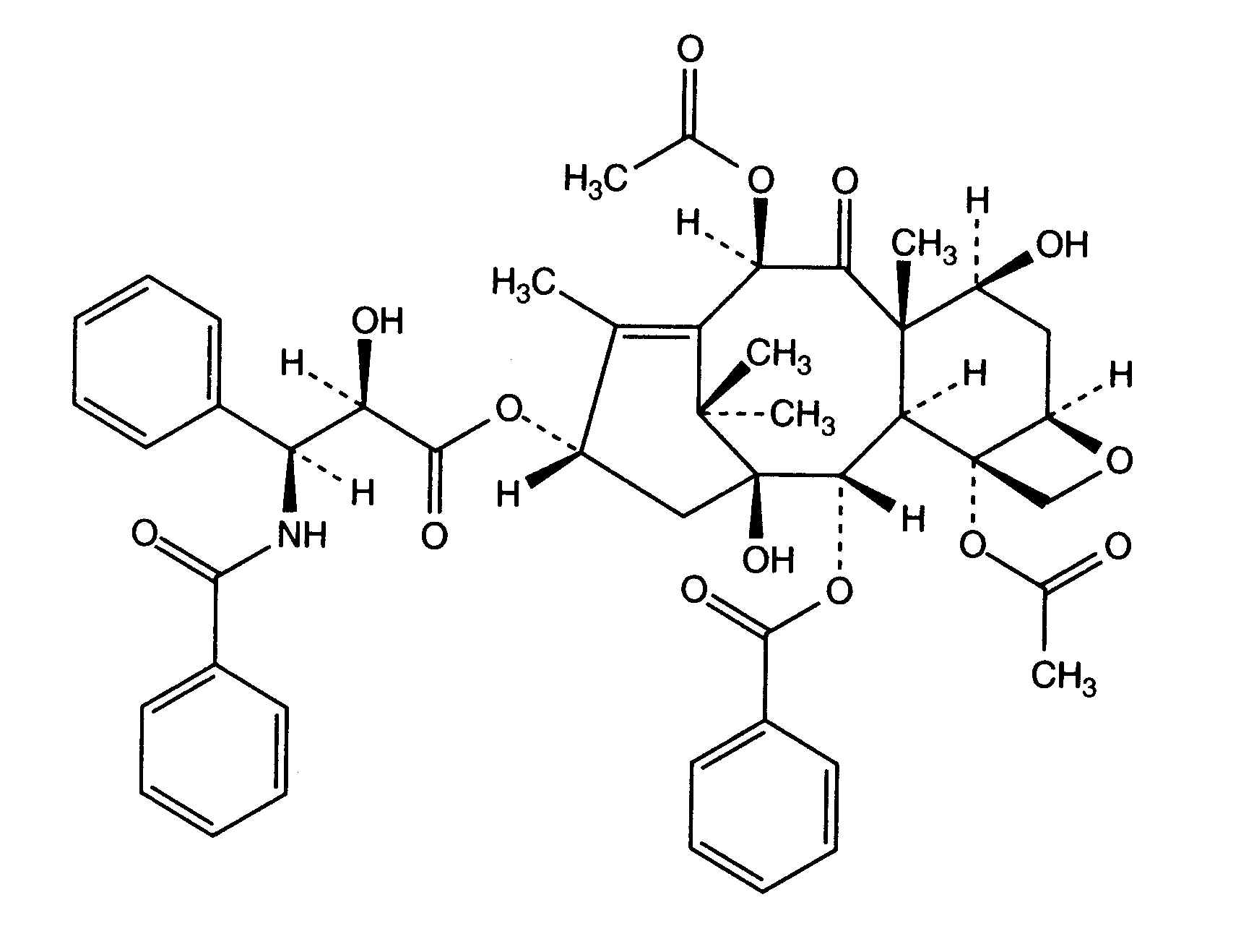
   Molecuulstructuur  

Merknamen in verschillende landen   Merknamen in verschillende landen     

Handelsnamen zijn slechts een indicatie; de samenstelling van hulpstoffen kan per land variëren afhankelijk van de fabrikant

Aclipak Maleisië
Acoexcel Mexico
Acupaxil Marokko
Anzatax Egypte, Iran, Maleisië, Marokko, nieuw Zeeland, Peru, Saudi-Arabië, Tunisie, Turkije, Verenigde Arabische Emiraten
Aritaxel Duitsland
Cantaxel Indië
Clitaxel Argentinië, Venezuela
Dalys Argentinië
Ebetaxel Iran, Marokko, Oostenrijk, Saudi-Arabië, Tunisie, Turkije
Genexol Egypte, Indië, Iran
Onxol USA
Paclinova Argentinië
Paclitaxin Brazilië, Luxemburg, Maleisië, Slovenië
Parexel Brazilië, Colombia, Ecuador, Venezuela
Paxene Denemarken, Griekenland, Ierland, Nederland, Polen, Spanje
Poltaxel Polen
Ribotax Duitsland
Taxol Brazilië, Colombia, Denemarken, Egypte, Griekenland, Iran, Italië, Japan, Maleisië, Marokko, Nederland, nieuw Zeeland, Oostenrijk, Peru, Polen, Portugal, Slovenië, Turkije, Venezuela, Verenigde Arabische Emiraten, Zweden, Zwitserland
Taxomedac Duitsland
Vitax Brazilië, Peru, Turkije
Verenigbaarheden   injecteerbaar geneesmiddel   Verenigbaarheden : Paclitaxel              
In dit scherm worden de verenigbaarheden en onverenigbaarheden weergegeven. In het geval van een onverenigbaarheid wordt ook het type (neerslag, kleurverandering, modificatie van een emulsie, etc) weergegeven. De weergegeven verenigbaarheden zijn meestal alleen op uiterlijk beoordeeld, er heeft zelden een chemische beoordeling van iedere component plaatsgevonden. De verenigbaarheden betreffen gelijktijdige toediening aan de patient middels de Y-site. De data kan niet gebruikt worden in de beoordeling van verenigbaarheden van componenten in infuuszakken of spuiten. Die informatie is te vinden onder ‘stabiliteit in mengsels’.
Stof Oplosmiddel Literatuur
Verenigbaar
injecteerbaar geneesmiddel Paclitaxel 1.2 mg/ml
injecteerbaar geneesmiddel Aciclovir sodium 7 mg/ml
Glucose 5% 248
Verenigbaar
injecteerbaar geneesmiddel Paclitaxel 1.2 mg/ml
injecteerbaar geneesmiddel Amikacin sulfate 5 mg/ml
Glucose 5% 248
Verenigbaar
injecteerbaar geneesmiddel Paclitaxel 1.2 mg/ml
injecteerbaar geneesmiddel Aminophylline 2.5 mg/ml
Glucose 5% 248
Onmiddellijke troebelheid Onverenigbaar
injecteerbaar geneesmiddel Paclitaxel 1.2 mg/ml
injecteerbaar geneesmiddel Amphotericin B 0.6 mg/ml
Glucose 5% 248
Verlies van troebelheid Onverenigbaar
injecteerbaar geneesmiddel Paclitaxel 0.6 mg/ml
injecteerbaar geneesmiddel Amphotericin B cholesteryl sulfate complex 0.83 mg/ml
Glucose 5% 921
Verenigbaar
injecteerbaar geneesmiddel Paclitaxel 1.2 mg/ml
injecteerbaar geneesmiddel Ampicillin sodium - sulbactam sodium 20/10 mg/ml
Glucose 5% 248
Verenigbaar
injecteerbaar geneesmiddel Paclitaxel 0.6 mg/ml
injecteerbaar geneesmiddel Anidulafungin 0.5 mg/ml
Glucose 5% 1982
Verenigbaar
injecteerbaar geneesmiddel Paclitaxel 1.2 mg/ml
injecteerbaar geneesmiddel Bleomycin sulfate 1 mg/ml
Glucose 5% 248
Verenigbaar
injecteerbaar geneesmiddel Paclitaxel 1.2 mg/ml
injecteerbaar geneesmiddel Butorphanol tartrate 0.04 mg/ml
Glucose 5% 248
Verenigbaar
injecteerbaar geneesmiddel Paclitaxel 1.2 mg/ml
injecteerbaar geneesmiddel Calcium chloride 20 mg/ml
Glucose 5% 248
Verenigbaar
injecteerbaar geneesmiddel Paclitaxel 1.2 mg/ml
injecteerbaar geneesmiddel Carboplatin 5 mg/ml
Glucose 5% 85
Verenigbaar
injecteerbaar geneesmiddel Paclitaxel 0,3 & 1,2 mg/ml
injecteerbaar geneesmiddel Carboplatin 2 mg/ml
Natriumchloride 0,9% 872
Verenigbaar
injecteerbaar geneesmiddel Paclitaxel 0,3 & 1,2 mg/ml
injecteerbaar geneesmiddel Carboplatin 2 mg/ml
Glucose 5% 872
Verenigbaar
injecteerbaar geneesmiddel Paclitaxel 1.2 mg/ml
injecteerbaar geneesmiddel Ceforanide 20 mg/ml
Glucose 5% 248
Verenigbaar
injecteerbaar geneesmiddel Paclitaxel 1.2 mg/ml
injecteerbaar geneesmiddel Ceftazidime 40 mg/ml
Glucose 5% 248
Verenigbaar
injecteerbaar geneesmiddel Paclitaxel 1.2 mg/ml
injecteerbaar geneesmiddel Ceftriaxone disodium 20 mg/ml
Glucose 5% 248
Verlies van troebelheid Onverenigbaar
injecteerbaar geneesmiddel Paclitaxel 1.2 mg/ml
injecteerbaar geneesmiddel Chlorpromazine hydrochloride 2 mg/ml
Glucose 5% 248
Verenigbaar
injecteerbaar geneesmiddel Paclitaxel
Glucose 5% 1956
Verenigbaar
injecteerbaar geneesmiddel Paclitaxel 0,3 & 1,2 mg/ml
injecteerbaar geneesmiddel Cisplatin 0,2 mg/ml
Natriumchloride 0,9% 872
Verenigbaar
injecteerbaar geneesmiddel Paclitaxel 1.2 mg/ml
Parenterale voeding (met lipiden) 1415
Verenigbaar
injecteerbaar geneesmiddel Paclitaxel 1.2 mg/ml
Parenterale voeding (zonder vet) 301
Verenigbaar
injecteerbaar geneesmiddel Paclitaxel 1.2 mg/ml
injecteerbaar geneesmiddel Cimetidine hydrochloride 12 mg/ml
Glucose 5% 85
Verenigbaar
injecteerbaar geneesmiddel Paclitaxel 1.2 mg/ml
injecteerbaar geneesmiddel Cisplatin 1 mg/ml
Glucose 5% 85
Chemische instabiliteit Onverenigbaar
injecteerbaar geneesmiddel Paclitaxel
injecteerbaar geneesmiddel Cisplatin
3578
Verenigbaar
injecteerbaar geneesmiddel Paclitaxel 0.6 mg/ml
injecteerbaar geneesmiddel Cladribine 0.5 mg/ml
NaCl 0,9% (geconserveerd) 1496
Verenigbaar
injecteerbaar geneesmiddel Paclitaxel 0.6 mg/ml
injecteerbaar geneesmiddel Cladribine 0.015 mg/ml
Natriumchloride 0,9% 1496
Verenigbaar
injecteerbaar geneesmiddel Paclitaxel 1.2 mg/ml
injecteerbaar geneesmiddel Cyclophosphamide 10 mg/ml
Glucose 5% 85
Verenigbaar
injecteerbaar geneesmiddel Paclitaxel 1.2 mg/ml
injecteerbaar geneesmiddel Cytarabine 50 mg/ml
Glucose 5% 85
Verenigbaar
injecteerbaar geneesmiddel Paclitaxel 1.2 mg/ml
injecteerbaar geneesmiddel Dacarbazine 4 mg/ml
Glucose 5% 248
Verenigbaar
injecteerbaar geneesmiddel Paclitaxel 1.2 mg/ml
injecteerbaar geneesmiddel Dexamethasone sodium phosphate 1 mg/ml
Glucose 5% 85
Verenigbaar
injecteerbaar geneesmiddel Paclitaxel 1.2 mg/ml
injecteerbaar geneesmiddel Diphenhydramine hydrochloride 2 mg/ml
Glucose 5% 85
Verenigbaar
injecteerbaar geneesmiddel Paclitaxel 0,6 mg/ml
injecteerbaar geneesmiddel Doripenem 5 mg/ml
Natriumchloride 0,9% 2262
Verenigbaar
injecteerbaar geneesmiddel Paclitaxel 0,6 mg/ml
injecteerbaar geneesmiddel Doripenem 5 mg/ml
Glucose 5% 2262
Verenigbaar
injecteerbaar geneesmiddel Paclitaxel 0,3 & 1,2 mg/ml
injecteerbaar geneesmiddel Doxorubicin hydrochloride 0,2 mg/ml
Glucose 5% 1286
Verenigbaar
injecteerbaar geneesmiddel Paclitaxel 1.2 mg/ml
injecteerbaar geneesmiddel Doxorubicin hydrochloride 2 mg/ml
Glucose 5% 85
Verenigbaar
injecteerbaar geneesmiddel Paclitaxel 0,3 & 1,2 mg/ml
injecteerbaar geneesmiddel Doxorubicin hydrochloride 0,2 mg/ml
Natriumchloride 0,9% 1286
Verlies van troebelheid Onverenigbaar
injecteerbaar geneesmiddel Paclitaxel 0.6 mg/ml
injecteerbaar geneesmiddel Doxorubicin hydrochloride liposome peg 0.4 mg/ml
Glucose 5% 251
Verenigbaar
injecteerbaar geneesmiddel Paclitaxel
Natriumchloride 0,9% 1956
Verenigbaar
injecteerbaar geneesmiddel Paclitaxel 1.2 mg/ml
injecteerbaar geneesmiddel Droperidol 0.4 mg/ml
Glucose 5% 248
Verenigbaar
injecteerbaar geneesmiddel Paclitaxel 1.2 mg/ml
injecteerbaar geneesmiddel Etoposide 0.4 mg/ml
Glucose 5% 85
Verenigbaar
injecteerbaar geneesmiddel Paclitaxel 1.2 mg/ml
injecteerbaar geneesmiddel Etoposide phosphate 5 mg/ml
Glucose 5% 1410
Verenigbaar
injecteerbaar geneesmiddel Paclitaxel 1.2 mg/ml
injecteerbaar geneesmiddel Famotidine 2 mg/ml
Glucose 5% 248
Verenigbaar
injecteerbaar geneesmiddel Paclitaxel 1.2 mg/ml
injecteerbaar geneesmiddel Floxuridine 3 mg/ml
Glucose 5% 248
Verenigbaar
injecteerbaar geneesmiddel Paclitaxel 0,3 & 1,2 mg/ml
injecteerbaar geneesmiddel Fluconazole 2 mg/ml
Glucose 5% 151
Verenigbaar
injecteerbaar geneesmiddel Paclitaxel 1.2 mg/ml
injecteerbaar geneesmiddel Fluconazole 2 mg/ml
Glucose 5% 248
Verenigbaar
injecteerbaar geneesmiddel Paclitaxel 1.2 mg/ml
injecteerbaar geneesmiddel Fluorouracil 16 mg/ml
Glucose 5% 85
Verenigbaar
injecteerbaar geneesmiddel Paclitaxel 1.2 mg/ml
injecteerbaar geneesmiddel Furosemide 3 mg/ml
Glucose 5% 248
Verenigbaar
injecteerbaar geneesmiddel Paclitaxel 1.2 mg/ml
injecteerbaar geneesmiddel Ganciclovir sodium 20 mg/ml
Glucose 5% 248
Verenigbaar
injecteerbaar geneesmiddel Paclitaxel 1.2 mg/ml
injecteerbaar geneesmiddel Gemcitabine hydrochloride 10 mg/ml
Natriumchloride 0,9% 1423
Verenigbaar
injecteerbaar geneesmiddel Paclitaxel 1.2 mg/ml
injecteerbaar geneesmiddel Gentamicin sulfate 5 mg/ml
Glucose 5% 248
Verenigbaar
injecteerbaar geneesmiddel Paclitaxel 1.2 mg/ml
injecteerbaar geneesmiddel Granisetron hydrochloride 0.05 mg/ml
Glucose 5% 182
Verenigbaar
injecteerbaar geneesmiddel Paclitaxel 0.29 mg/ml
injecteerbaar geneesmiddel Granisetron hydrochloride 1 mg/ml
Natriumchloride 0,9% 57
Verenigbaar
injecteerbaar geneesmiddel Paclitaxel 1.2 mg/ml
injecteerbaar geneesmiddel Haloperidol lactate 0.2 mg/ml
Glucose 5% 85
Verenigbaar
injecteerbaar geneesmiddel Paclitaxel 1.2 mg/ml
injecteerbaar geneesmiddel Heparin sodium 100 UI/ml
Glucose 5% 248
Verenigbaar
injecteerbaar geneesmiddel Paclitaxel 1.2 mg/ml
injecteerbaar geneesmiddel Hydrocortisone sodium succinate 1 mg/ml
Glucose 5% 248
Verenigbaar
injecteerbaar geneesmiddel Paclitaxel 1.2 mg/ml
injecteerbaar geneesmiddel Hydromorphone hydrochloride 0.5 mg/ml
Glucose 5% 248
Verlies van troebelheid Onverenigbaar
injecteerbaar geneesmiddel Paclitaxel 1.2 mg/ml
injecteerbaar geneesmiddel Hydroxyzine dihydrochloride 4 mg/ml
Glucose 5% 248
Verenigbaar
injecteerbaar geneesmiddel Paclitaxel 1.2 mg/ml
injecteerbaar geneesmiddel Ifosfamide 25 mg/ml
Glucose 5% 248
Verenigbaar
injecteerbaar geneesmiddel Paclitaxel 0.6 mg/ml
injecteerbaar geneesmiddel Lansoprazole 0.55 mg/ml
Natriumchloride 0,9% 1625
Verenigbaar
injecteerbaar geneesmiddel Paclitaxel 0.6 mg/ml
injecteerbaar geneesmiddel Linezolid 2 mg/ml
Geen 1925
Verenigbaar
injecteerbaar geneesmiddel Paclitaxel 1.2 mg/ml
injecteerbaar geneesmiddel Lorazepam 0.1 mg/ml
Glucose 5% 85
Verenigbaar
injecteerbaar geneesmiddel Paclitaxel 1.2 mg/ml
injecteerbaar geneesmiddel Magnesium sulfate 100 mg/ml
Glucose 5% 248
Verenigbaar
injecteerbaar geneesmiddel Paclitaxel 1.2 mg/ml
injecteerbaar geneesmiddel Mannitol 150 mg/ml
Glucose 5% 248
Verenigbaar
injecteerbaar geneesmiddel Paclitaxel 1.2 mg/ml
injecteerbaar geneesmiddel Mesna 10 mg/ml
Glucose 5% 248
Verenigbaar
injecteerbaar geneesmiddel Paclitaxel 1.2 mg/ml
injecteerbaar geneesmiddel Methotrexate sodium 15 mg/ml
Glucose 5% 85
Verlies van troebelheid Onverenigbaar
injecteerbaar geneesmiddel Paclitaxel 1.2 mg/ml
injecteerbaar geneesmiddel Methylprednisolone sodium succinate 5 mg/ml
Glucose 5% 248
Verenigbaar
injecteerbaar geneesmiddel Paclitaxel 1.2 mg/ml
injecteerbaar geneesmiddel Metoclopramide hydrochloride 5 mg/ml
Glucose 5% 85
Verlies van troebelheid Onverenigbaar
injecteerbaar geneesmiddel Paclitaxel 1.2 mg/ml
injecteerbaar geneesmiddel Mitoxantrone dihydrochloride 0.5 mg/ml
Glucose 5% 248
Verenigbaar
injecteerbaar geneesmiddel Paclitaxel 1.2 mg/ml
injecteerbaar geneesmiddel Morphine sulfate 1 mg/ml
Glucose 5% 248
Verenigbaar
injecteerbaar geneesmiddel Paclitaxel 1.2 mg/ml
injecteerbaar geneesmiddel Nalbuphine hydrochloride 10 mg/ml
Glucose 5% 248
Verenigbaar
injecteerbaar geneesmiddel Paclitaxel 0.3 & 1.2 mg/ml
injecteerbaar geneesmiddel Ondansetron hydrochloride 0.03 & 0.3 mg/ml
Glucose 5% 47
Verenigbaar
injecteerbaar geneesmiddel Paclitaxel 1.2 mg/ml
injecteerbaar geneesmiddel Ondansetron hydrochloride 0.5 mg/ml
Glucose 5% 248
Verenigbaar
injecteerbaar geneesmiddel Paclitaxel 0,6 mg/ml
injecteerbaar geneesmiddel Oxaliplatin 0,5 mg/ml
Glucose 5% 1662
Verenigbaar
injecteerbaar geneesmiddel Paclitaxel 1,2 mg/ml
injecteerbaar geneesmiddel Palonosetron hydrochloride 50 µg/ml
Glucose 5% 1940
Verenigbaar
injecteerbaar geneesmiddel Paclitaxel 0.6 mg/ml
injecteerbaar geneesmiddel Pemetrexed disodium 20 mg/ml
Natriumchloride 0,9% 1953
Verenigbaar
injecteerbaar geneesmiddel Paclitaxel 1.2 mg/ml
injecteerbaar geneesmiddel Pentostatin 0.4 mg/ml
Glucose 5% 248
Verenigbaar
injecteerbaar geneesmiddel Paclitaxel 1.2 mg/ml
injecteerbaar geneesmiddel Pethidine hydrochloride 4 mg/ml
Glucose 5% 248
Verenigbaar
injecteerbaar geneesmiddel Paclitaxel 1.2 mg/ml
injecteerbaar geneesmiddel Potassium chloride 100 mEq/l
Glucose 5% 248
Verenigbaar
injecteerbaar geneesmiddel Paclitaxel 1.2 mg/ml
injecteerbaar geneesmiddel Prochlorperazine edysilate 0.5 mg/ml
Glucose 5% 85
Verenigbaar
injecteerbaar geneesmiddel Paclitaxel 1.2 mg/ml
injecteerbaar geneesmiddel Propofol 10 mg/ml
Geen 300
Verenigbaar
injecteerbaar geneesmiddel Paclitaxel 0.3 & 1.2 mg/ml
injecteerbaar geneesmiddel Ranitidine hydrochloride 0.5 & 2 mg/ml
Glucose 5% 47
Verenigbaar
injecteerbaar geneesmiddel Paclitaxel 1.2 mg/ml
injecteerbaar geneesmiddel Ranitidine hydrochloride 2 mg/ml
Glucose 5% 85
Verenigbaar
injecteerbaar geneesmiddel Paclitaxel 1.2 mg/ml
injecteerbaar geneesmiddel Sodium bicarbonate 84 mg/ml
Glucose 5% 248
Verenigbaar
injecteerbaar geneesmiddel Paclitaxel 0.6 mg/ml
injecteerbaar geneesmiddel Thiotepa 1 mg/ml
Glucose 5% 249
Verenigbaar
injecteerbaar geneesmiddel Paclitaxel 0.54 mg/ml
injecteerbaar geneesmiddel Topotecan 0.056 mg/ml
Natriumchloride 0,9% 1026
Verenigbaar
injecteerbaar geneesmiddel Paclitaxel 0.54 mg/ml
injecteerbaar geneesmiddel Topotecan 0.056 mg/ml
Glucose 5% 1026
Verenigbaar
injecteerbaar geneesmiddel Paclitaxel 1.2 mg/ml
injecteerbaar geneesmiddel Vancomycin hydrochloride 10 mg/ml
Glucose 5% 85
Verenigbaar
injecteerbaar geneesmiddel Paclitaxel 1.2 mg/ml
injecteerbaar geneesmiddel Vinblastine sulfate 0.12 mg/ml
Glucose 5% 248
Verenigbaar
injecteerbaar geneesmiddel Paclitaxel 1.2 mg/ml
injecteerbaar geneesmiddel Vincristine sulfate 0.05 mg/ml
Glucose 5% 248
Verenigbaar
injecteerbaar geneesmiddel Paclitaxel 1.2 mg/ml
injecteerbaar geneesmiddel Zidovudine 4 mg/ml
Glucose 5% 248

  Mentions Légales