Poslední aktualizace :
18/03/2026
rakovina drog   Paclitaxel  
injekce
Stabilita roztoků Stabilita směsí Faktory ovlivňující stabilitu Kompatibilita Způsoby aplikace Odkazy pdf
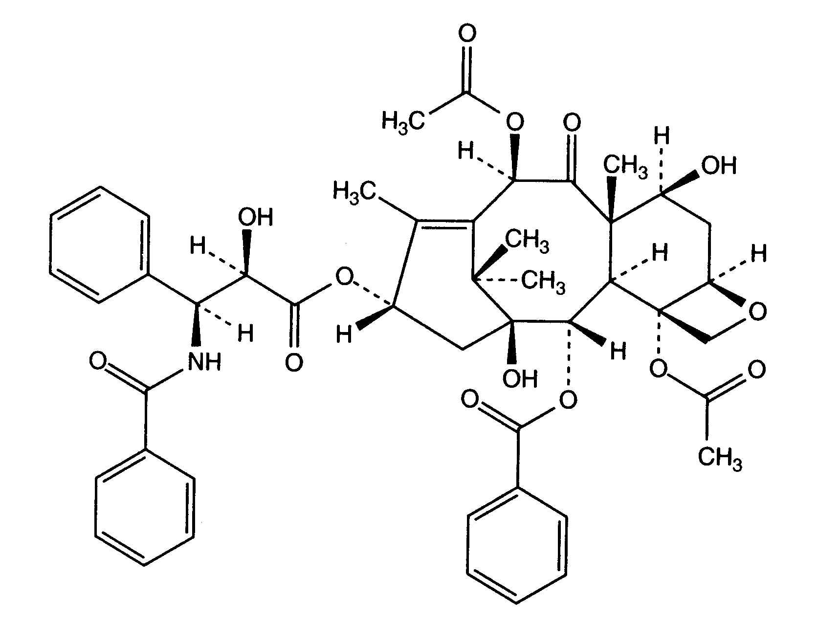
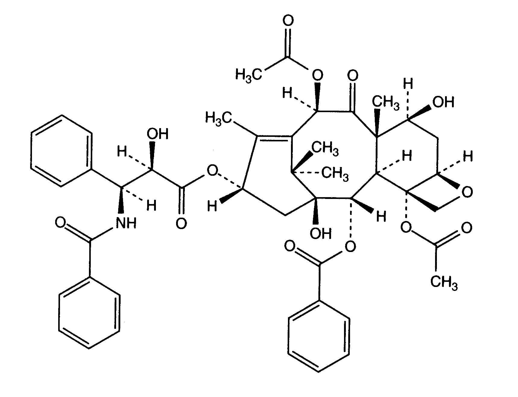
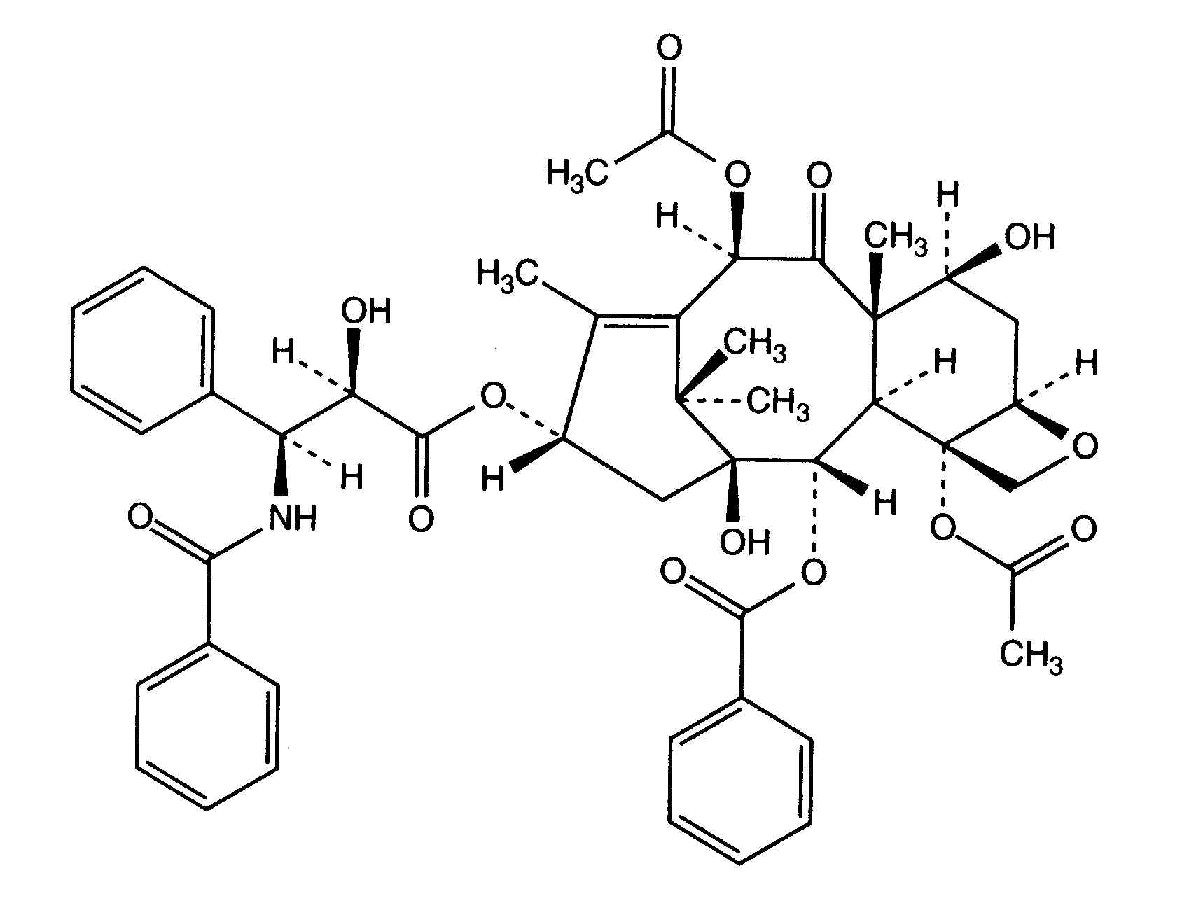
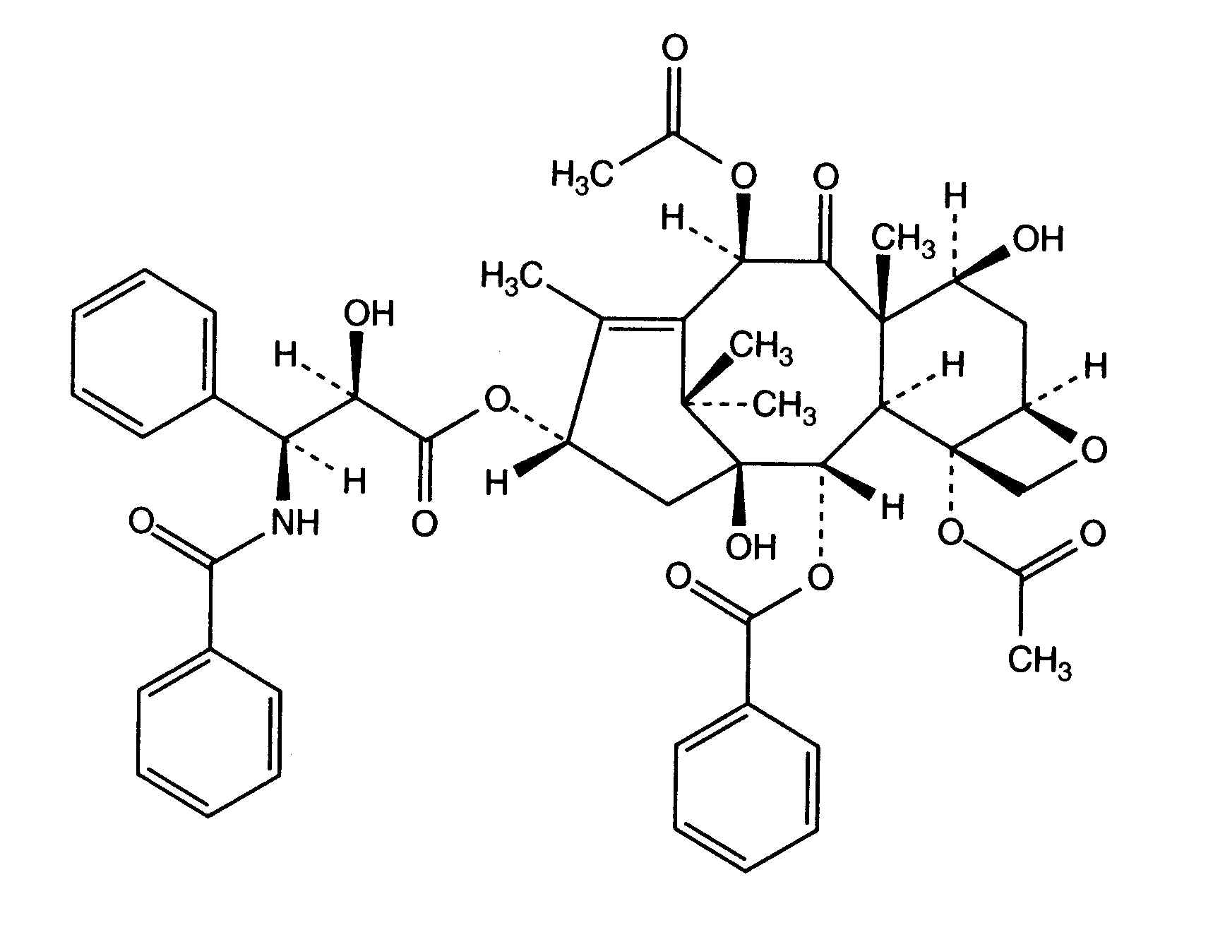
   Chemický vzorec  

Obchodní název   Obchodní název     

Trade names are indicative and excipients composition can be different depending on the country and manufacturers

Aclipak Malajsie
Acoexcel Mexiko
Acupaxil Maroko
Anzatax Egypt, Írán, Malajsie, Maroko, nový Zéland, Peru, Saúdská Arábie, Spojené arabské emiráty, Tunisko, Turecko
Aritaxel NÏmecko
Cantaxel Indie
Clitaxel Argentina, Venezuela
Dalys Argentina
Ebetaxel Írán, Maroko, Rakousko, Saúdská Arábie, Tunisko, Turecko
Genexol Egypt, Indie, Írán
Onxol USA
Paclinova Argentina
Paclitaxin BrazÌlie, Lucembursko, Malajsie, Slovinsko
Parexel BrazÌlie, Ekvádor, Kolumbie, Venezuela
Paxene äpanÏlsko, Dánsko, Irsko, Nizozemsko, Polsko, ÿecko
Poltaxel Polsko
Ribotax NÏmecko
Taxol BrazÌlie, Dánsko, Egypt, Írán, Itálie, Japonsko, Kolumbie, Malajsie, Maroko, Nizozemsko, nový Zéland, Peru, Polsko, Portugalsko, Rakousko, Slovinsko, Spojené arabské emiráty, Švédsko, Švýcarsko, Turecko, Venezuela, ÿecko
Taxomedac NÏmecko
Vitax BrazÌlie, Peru, Turecko
Kompatibilita   injekce   Kompatibilita : Paclitaxel              
Tato obrazovka ukazuje kompatibilitu nebo nekompatibilitu s, v tomto případě, typem nekompatibility (srážení, změna barvy, modifikace emulze atd.). Zde uvedené kompatibility jsou většinou pouze fyzikální, přičemž chemická stabilita každé molekuly je zřídka hodnocena. Hodnocení těchto směsí bylo studováno, aby se zvážila možnost podání Y-místa pacientovi. Tyto údaje nelze použít k přípravě směsí předem v pytlích nebo stříkačkách. Tento typ informací je k dispozici na obrazovce „Stabilita ve směsi“.
SlouËenina RozpouötÏdlo Odkazy
Kompatibilní
injekce Paclitaxel 1.2 mg/ml
injekce Aciclovir sodium 7 mg/ml
GlukÛza 5% 248
Kompatibilní
injekce Paclitaxel 1.2 mg/ml
injekce Amikacin sulfate 5 mg/ml
GlukÛza 5% 248
Kompatibilní
injekce Paclitaxel 1.2 mg/ml
injekce Aminophylline 2.5 mg/ml
GlukÛza 5% 248
Okamžitá zákal Nekompatibilní
injekce Paclitaxel 1.2 mg/ml
injekce Amphotericin B 0.6 mg/ml
GlukÛza 5% 248
Ztráta zákalu Nekompatibilní
injekce Paclitaxel 0.6 mg/ml
injekce Amphotericin B cholesteryl sulfate complex 0.83 mg/ml
GlukÛza 5% 921
Kompatibilní
injekce Paclitaxel 1.2 mg/ml
injekce Ampicillin sodium - sulbactam sodium 20/10 mg/ml
GlukÛza 5% 248
Kompatibilní
injekce Paclitaxel 0.6 mg/ml
injekce Anidulafungin 0.5 mg/ml
GlukÛza 5% 1982
Kompatibilní
injekce Paclitaxel 1.2 mg/ml
injekce Bleomycin sulfate 1 mg/ml
GlukÛza 5% 248
Kompatibilní
injekce Paclitaxel 1.2 mg/ml
injekce Butorphanol tartrate 0.04 mg/ml
GlukÛza 5% 248
Kompatibilní
injekce Paclitaxel 1.2 mg/ml
injekce Calcium chloride 20 mg/ml
GlukÛza 5% 248
Kompatibilní
injekce Paclitaxel 1.2 mg/ml
injekce Carboplatin 5 mg/ml
GlukÛza 5% 85
Kompatibilní
injekce Paclitaxel 0,3 & 1,2 mg/ml
injekce Carboplatin 2 mg/ml
Chlorid sodný 0,9% 872
Kompatibilní
injekce Paclitaxel 0,3 & 1,2 mg/ml
injekce Carboplatin 2 mg/ml
GlukÛza 5% 872
Kompatibilní
injekce Paclitaxel 1.2 mg/ml
injekce Ceforanide 20 mg/ml
GlukÛza 5% 248
Kompatibilní
injekce Paclitaxel 1.2 mg/ml
injekce Ceftazidime 40 mg/ml
GlukÛza 5% 248
Kompatibilní
injekce Paclitaxel 1.2 mg/ml
injekce Ceftriaxone disodium 20 mg/ml
GlukÛza 5% 248
Ztráta zákalu Nekompatibilní
injekce Paclitaxel 1.2 mg/ml
injekce Chlorpromazine hydrochloride 2 mg/ml
GlukÛza 5% 248
Kompatibilní
injekce Paclitaxel
GlukÛza 5% 1956
Kompatibilní
injekce Paclitaxel 0,3 & 1,2 mg/ml
injekce Cisplatin 0,2 mg/ml
Chlorid sodný 0,9% 872
Kompatibilní
injekce Paclitaxel 1.2 mg/ml
Parenterální výživa (lipidy) 1415
Kompatibilní
injekce Paclitaxel 1.2 mg/ml
Parenterální výživa (binární směs) 301
Kompatibilní
injekce Paclitaxel 1.2 mg/ml
injekce Cimetidine hydrochloride 12 mg/ml
GlukÛza 5% 85
Kompatibilní
injekce Paclitaxel 1.2 mg/ml
injekce Cisplatin 1 mg/ml
GlukÛza 5% 85
Chemická nestabilita Nekompatibilní
injekce Paclitaxel
injekce Cisplatin
3578
Kompatibilní
injekce Paclitaxel 0.6 mg/ml
injekce Cladribine 0.5 mg/ml
NaCl 0,9% + antibakterial 1496
Kompatibilní
injekce Paclitaxel 0.6 mg/ml
injekce Cladribine 0.015 mg/ml
Chlorid sodný 0,9% 1496
Kompatibilní
injekce Paclitaxel 1.2 mg/ml
injekce Cyclophosphamide 10 mg/ml
GlukÛza 5% 85
Kompatibilní
injekce Paclitaxel 1.2 mg/ml
injekce Cytarabine 50 mg/ml
GlukÛza 5% 85
Kompatibilní
injekce Paclitaxel 1.2 mg/ml
injekce Dacarbazine 4 mg/ml
GlukÛza 5% 248
Kompatibilní
injekce Paclitaxel 1.2 mg/ml
injekce Dexamethasone sodium phosphate 1 mg/ml
GlukÛza 5% 85
Kompatibilní
injekce Paclitaxel 1.2 mg/ml
injekce Diphenhydramine hydrochloride 2 mg/ml
GlukÛza 5% 85
Kompatibilní
injekce Paclitaxel 0,6 mg/ml
injekce Doripenem 5 mg/ml
Chlorid sodný 0,9% 2262
Kompatibilní
injekce Paclitaxel 0,6 mg/ml
injekce Doripenem 5 mg/ml
GlukÛza 5% 2262
Kompatibilní
injekce Paclitaxel 0,3 & 1,2 mg/ml
injekce Doxorubicin hydrochloride 0,2 mg/ml
GlukÛza 5% 1286
Kompatibilní
injekce Paclitaxel 1.2 mg/ml
injekce Doxorubicin hydrochloride 2 mg/ml
GlukÛza 5% 85
Kompatibilní
injekce Paclitaxel 0,3 & 1,2 mg/ml
injekce Doxorubicin hydrochloride 0,2 mg/ml
Chlorid sodný 0,9% 1286
Ztráta zákalu Nekompatibilní
injekce Paclitaxel 0.6 mg/ml
injekce Doxorubicin hydrochloride liposome peg 0.4 mg/ml
GlukÛza 5% 251
Kompatibilní
injekce Paclitaxel
Chlorid sodný 0,9% 1956
Kompatibilní
injekce Paclitaxel 1.2 mg/ml
injekce Droperidol 0.4 mg/ml
GlukÛza 5% 248
Kompatibilní
injekce Paclitaxel 1.2 mg/ml
injekce Etoposide 0.4 mg/ml
GlukÛza 5% 85
Kompatibilní
injekce Paclitaxel 1.2 mg/ml
injekce Etoposide phosphate 5 mg/ml
GlukÛza 5% 1410
Kompatibilní
injekce Paclitaxel 1.2 mg/ml
injekce Famotidine 2 mg/ml
GlukÛza 5% 248
Kompatibilní
injekce Paclitaxel 1.2 mg/ml
injekce Floxuridine 3 mg/ml
GlukÛza 5% 248
Kompatibilní
injekce Paclitaxel 0,3 & 1,2 mg/ml
injekce Fluconazole 2 mg/ml
GlukÛza 5% 151
Kompatibilní
injekce Paclitaxel 1.2 mg/ml
injekce Fluconazole 2 mg/ml
GlukÛza 5% 248
Kompatibilní
injekce Paclitaxel 1.2 mg/ml
injekce Fluorouracil 16 mg/ml
GlukÛza 5% 85
Kompatibilní
injekce Paclitaxel 1.2 mg/ml
injekce Furosemide 3 mg/ml
GlukÛza 5% 248
Kompatibilní
injekce Paclitaxel 1.2 mg/ml
injekce Ganciclovir sodium 20 mg/ml
GlukÛza 5% 248
Kompatibilní
injekce Paclitaxel 1.2 mg/ml
injekce Gemcitabine hydrochloride 10 mg/ml
Chlorid sodný 0,9% 1423
Kompatibilní
injekce Paclitaxel 1.2 mg/ml
injekce Gentamicin sulfate 5 mg/ml
GlukÛza 5% 248
Kompatibilní
injekce Paclitaxel 1.2 mg/ml
injekce Granisetron hydrochloride 0.05 mg/ml
GlukÛza 5% 182
Kompatibilní
injekce Paclitaxel 0.29 mg/ml
injekce Granisetron hydrochloride 1 mg/ml
Chlorid sodný 0,9% 57
Kompatibilní
injekce Paclitaxel 1.2 mg/ml
injekce Haloperidol lactate 0.2 mg/ml
GlukÛza 5% 85
Kompatibilní
injekce Paclitaxel 1.2 mg/ml
injekce Heparin sodium 100 UI/ml
GlukÛza 5% 248
Kompatibilní
injekce Paclitaxel 1.2 mg/ml
injekce Hydrocortisone sodium succinate 1 mg/ml
GlukÛza 5% 248
Kompatibilní
injekce Paclitaxel 1.2 mg/ml
injekce Hydromorphone hydrochloride 0.5 mg/ml
GlukÛza 5% 248
Ztráta zákalu Nekompatibilní
injekce Paclitaxel 1.2 mg/ml
injekce Hydroxyzine dihydrochloride 4 mg/ml
GlukÛza 5% 248
Kompatibilní
injekce Paclitaxel 1.2 mg/ml
injekce Ifosfamide 25 mg/ml
GlukÛza 5% 248
Kompatibilní
injekce Paclitaxel 0.6 mg/ml
injekce Lansoprazole 0.55 mg/ml
Chlorid sodný 0,9% 1625
Kompatibilní
injekce Paclitaxel 0.6 mg/ml
injekce Linezolid 2 mg/ml
Žádné 1925
Kompatibilní
injekce Paclitaxel 1.2 mg/ml
injekce Lorazepam 0.1 mg/ml
GlukÛza 5% 85
Kompatibilní
injekce Paclitaxel 1.2 mg/ml
injekce Magnesium sulfate 100 mg/ml
GlukÛza 5% 248
Kompatibilní
injekce Paclitaxel 1.2 mg/ml
injekce Mannitol 150 mg/ml
GlukÛza 5% 248
Kompatibilní
injekce Paclitaxel 1.2 mg/ml
injekce Mesna 10 mg/ml
GlukÛza 5% 248
Kompatibilní
injekce Paclitaxel 1.2 mg/ml
injekce Methotrexate sodium 15 mg/ml
GlukÛza 5% 85
Ztráta zákalu Nekompatibilní
injekce Paclitaxel 1.2 mg/ml
injekce Methylprednisolone sodium succinate 5 mg/ml
GlukÛza 5% 248
Kompatibilní
injekce Paclitaxel 1.2 mg/ml
injekce Metoclopramide hydrochloride 5 mg/ml
GlukÛza 5% 85
Ztráta zákalu Nekompatibilní
injekce Paclitaxel 1.2 mg/ml
injekce Mitoxantrone dihydrochloride 0.5 mg/ml
GlukÛza 5% 248
Kompatibilní
injekce Paclitaxel 1.2 mg/ml
injekce Morphine sulfate 1 mg/ml
GlukÛza 5% 248
Kompatibilní
injekce Paclitaxel 1.2 mg/ml
injekce Nalbuphine hydrochloride 10 mg/ml
GlukÛza 5% 248
Kompatibilní
injekce Paclitaxel 0.3 & 1.2 mg/ml
injekce Ondansetron hydrochloride 0.03 & 0.3 mg/ml
GlukÛza 5% 47
Kompatibilní
injekce Paclitaxel 1.2 mg/ml
injekce Ondansetron hydrochloride 0.5 mg/ml
GlukÛza 5% 248
Kompatibilní
injekce Paclitaxel 0,6 mg/ml
injekce Oxaliplatin 0,5 mg/ml
GlukÛza 5% 1662
Kompatibilní
injekce Paclitaxel 1,2 mg/ml
injekce Palonosetron hydrochloride 50 µg/ml
GlukÛza 5% 1940
Kompatibilní
injekce Paclitaxel 0.6 mg/ml
injekce Pemetrexed disodium 20 mg/ml
Chlorid sodný 0,9% 1953
Kompatibilní
injekce Paclitaxel 1.2 mg/ml
injekce Pentostatin 0.4 mg/ml
GlukÛza 5% 248
Kompatibilní
injekce Paclitaxel 1.2 mg/ml
injekce Pethidine hydrochloride 4 mg/ml
GlukÛza 5% 248
Kompatibilní
injekce Paclitaxel 1.2 mg/ml
injekce Potassium chloride 100 mEq/l
GlukÛza 5% 248
Kompatibilní
injekce Paclitaxel 1.2 mg/ml
injekce Prochlorperazine edysilate 0.5 mg/ml
GlukÛza 5% 85
Kompatibilní
injekce Paclitaxel 1.2 mg/ml
injekce Propofol 10 mg/ml
Žádné 300
Kompatibilní
injekce Paclitaxel 0.3 & 1.2 mg/ml
injekce Ranitidine hydrochloride 0.5 & 2 mg/ml
GlukÛza 5% 47
Kompatibilní
injekce Paclitaxel 1.2 mg/ml
injekce Ranitidine hydrochloride 2 mg/ml
GlukÛza 5% 85
Kompatibilní
injekce Paclitaxel 1.2 mg/ml
injekce Sodium bicarbonate 84 mg/ml
GlukÛza 5% 248
Kompatibilní
injekce Paclitaxel 0.6 mg/ml
injekce Thiotepa 1 mg/ml
GlukÛza 5% 249
Kompatibilní
injekce Paclitaxel 0.54 mg/ml
injekce Topotecan 0.056 mg/ml
Chlorid sodný 0,9% 1026
Kompatibilní
injekce Paclitaxel 0.54 mg/ml
injekce Topotecan 0.056 mg/ml
GlukÛza 5% 1026
Kompatibilní
injekce Paclitaxel 1.2 mg/ml
injekce Vancomycin hydrochloride 10 mg/ml
GlukÛza 5% 85
Kompatibilní
injekce Paclitaxel 1.2 mg/ml
injekce Vinblastine sulfate 0.12 mg/ml
GlukÛza 5% 248
Kompatibilní
injekce Paclitaxel 1.2 mg/ml
injekce Vincristine sulfate 0.05 mg/ml
GlukÛza 5% 248
Kompatibilní
injekce Paclitaxel 1.2 mg/ml
injekce Zidovudine 4 mg/ml
GlukÛza 5% 248

  Mentions Légales