最新更新 :
18/03/2026
抗癌藥物   Paclitaxel  
注射液
溶液稳定性 混合物稳定性 影响稳定性的因素 兼容性 用药途径 引用文献 PDF
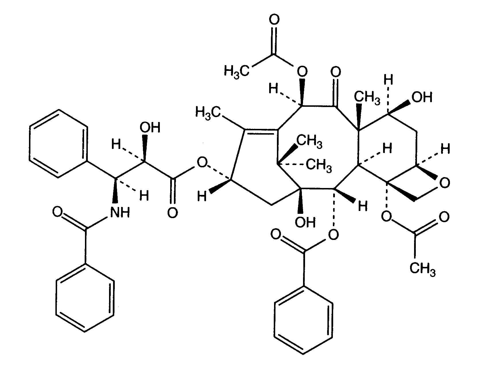
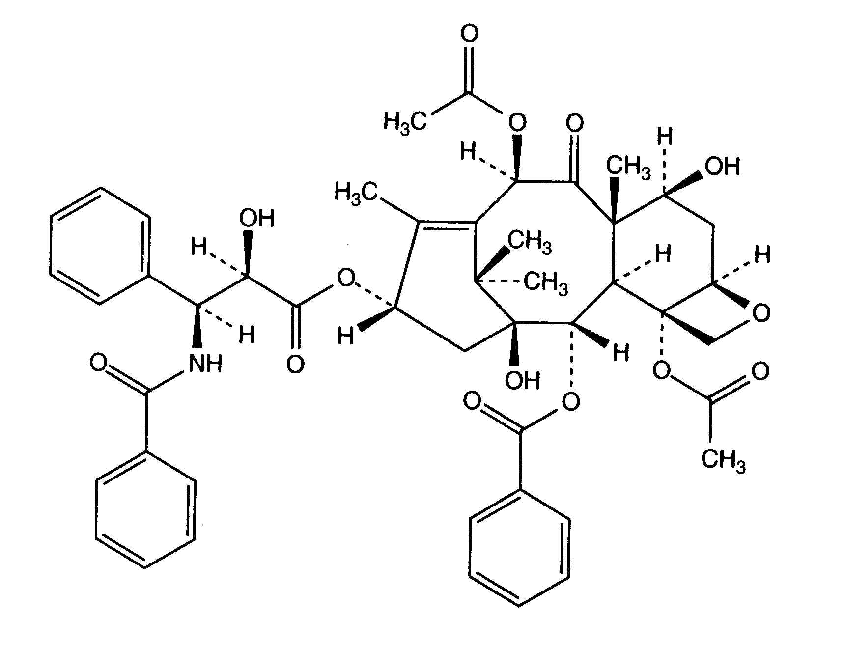
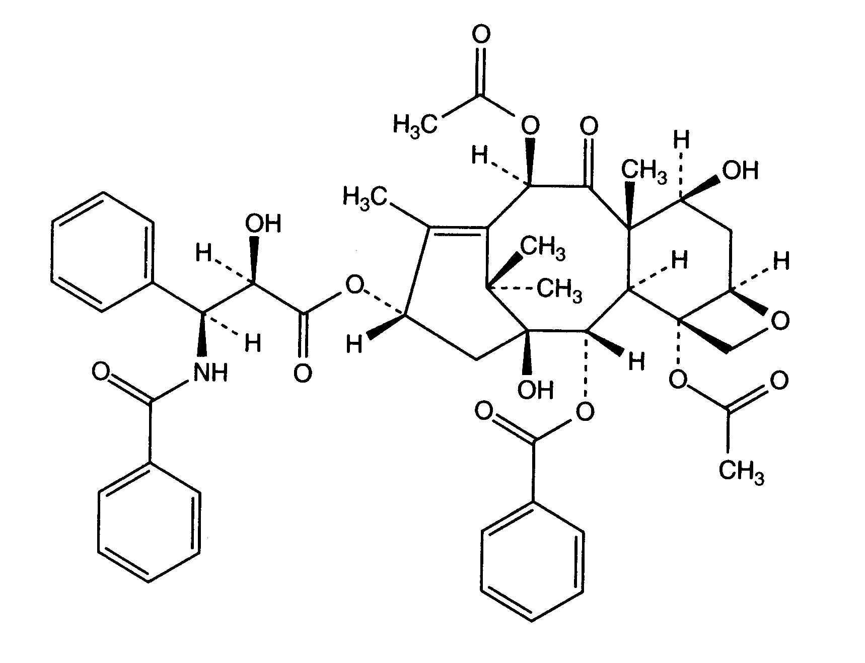
   化学式  

商品名   商品名     

商品名仅供参考, 药品所用的辅料可能依国家或厂商不同有所不同。

Aclipak 马来西亚
Acoexcel 墨西哥
Acupaxil 摩洛哥
Anzatax 伊朗, 土耳其, 埃及, 摩洛哥, 新西蘭, 沙特阿拉伯, 秘鲁, 突尼斯, 阿联酋, 马来西亚
Aritaxel 德国
Cantaxel 印度
Clitaxel 委内瑞拉, 阿根廷
Dalys 阿根廷
Ebetaxel 伊朗, 土耳其, 奥地利, 摩洛哥, 沙特阿拉伯, 突尼斯
Genexol 伊朗, 印度, 埃及
Onxol 美国
Paclinova 阿根廷
Paclitaxin 卢森堡, 巴西, 斯洛文尼亚, 马来西亚
Parexel 厄瓜多尔, 哥伦比亚, 委内瑞拉, 巴西
Paxene 丹麦, 希腊, 波兰, 爱尔兰, 荷兰, 西班牙
Poltaxel 波兰
Ribotax 德国
Taxol 丹麦, 伊朗, 哥伦比亚, 土耳其, 埃及, 奥地利, 委内瑞拉, 巴西, 希腊, 意大利, 摩洛哥, 斯洛文尼亚, 新西蘭, 日本, 波兰, 瑞典, 瑞士, 秘鲁, 荷兰, 葡萄牙, 阿联酋, 马来西亚
Taxomedac 德国
Vitax 土耳其, 巴西, 秘鲁
兼容性   注射液   兼容性 : Paclitaxel              
This screen indicates the compatibilities or incompatibilities with, in this case, the type of incompatibility (precipitation, color change, modification of an emulsion, etc.). The compatibilities shown here are mostly physical only, with the chemical stability of each molecule rarely being assessed. The evaluation of these mixtures was studied to consider the possibility of Y-site administration to the patient. These data cannot be used for making mixtures in advance in bags or syringes. This type of information is available in the screen "Stability in mixture ».
分子 溶剂 引用文献
兼容
注射液 Paclitaxel 1.2 mg/ml
注射液 Aciclovir sodium 7 mg/ml
葡萄糖5% 248
兼容
注射液 Paclitaxel 1.2 mg/ml
注射液 Amikacin sulfate 5 mg/ml
葡萄糖5% 248
兼容
注射液 Paclitaxel 1.2 mg/ml
注射液 Aminophylline 2.5 mg/ml
葡萄糖5% 248
立即渾濁 不相容
注射液 Paclitaxel 1.2 mg/ml
注射液 Amphotericin B 0.6 mg/ml
葡萄糖5% 248
濁度損失 不相容
注射液 Paclitaxel 0.6 mg/ml
注射液 Amphotericin B cholesteryl sulfate complex 0.83 mg/ml
葡萄糖5% 921
兼容
注射液 Paclitaxel 1.2 mg/ml
注射液 Ampicillin sodium - sulbactam sodium 20/10 mg/ml
葡萄糖5% 248
兼容
注射液 Paclitaxel 0.6 mg/ml
注射液 Anidulafungin 0.5 mg/ml
葡萄糖5% 1982
兼容
注射液 Paclitaxel 1.2 mg/ml
注射液 Bleomycin sulfate 1 mg/ml
葡萄糖5% 248
兼容
注射液 Paclitaxel 1.2 mg/ml
注射液 Butorphanol tartrate 0.04 mg/ml
葡萄糖5% 248
兼容
注射液 Paclitaxel 1.2 mg/ml
注射液 Calcium chloride 20 mg/ml
葡萄糖5% 248
兼容
注射液 Paclitaxel 1.2 mg/ml
注射液 Carboplatin 5 mg/ml
葡萄糖5% 85
兼容
注射液 Paclitaxel 0,3 & 1,2 mg/ml
注射液 Carboplatin 2 mg/ml
NaCl 0,9% 872
兼容
注射液 Paclitaxel 0,3 & 1,2 mg/ml
注射液 Carboplatin 2 mg/ml
葡萄糖5% 872
兼容
注射液 Paclitaxel 1.2 mg/ml
注射液 Ceforanide 20 mg/ml
葡萄糖5% 248
兼容
注射液 Paclitaxel 1.2 mg/ml
注射液 Ceftazidime 40 mg/ml
葡萄糖5% 248
兼容
注射液 Paclitaxel 1.2 mg/ml
注射液 Ceftriaxone disodium 20 mg/ml
葡萄糖5% 248
濁度損失 不相容
注射液 Paclitaxel 1.2 mg/ml
注射液 Chlorpromazine hydrochloride 2 mg/ml
葡萄糖5% 248
兼容
注射液 Paclitaxel
葡萄糖5% 1956
兼容
注射液 Paclitaxel 0,3 & 1,2 mg/ml
注射液 Cisplatin 0,2 mg/ml
NaCl 0,9% 872
兼容
注射液 Paclitaxel 1.2 mg/ml
肠外营养(含脂肪) 1415
兼容
注射液 Paclitaxel 1.2 mg/ml
肠外营养(二种混合物) 301
兼容
注射液 Paclitaxel 1.2 mg/ml
注射液 Cimetidine hydrochloride 12 mg/ml
葡萄糖5% 85
兼容
注射液 Paclitaxel 1.2 mg/ml
注射液 Cisplatin 1 mg/ml
葡萄糖5% 85
化學不穩定性 不相容
注射液 Paclitaxel
注射液 Cisplatin
3578
兼容
注射液 Paclitaxel 0.6 mg/ml
注射液 Cladribine 0.5 mg/ml
NaCl 0,9%+抗生素 1496
兼容
注射液 Paclitaxel 0.6 mg/ml
注射液 Cladribine 0.015 mg/ml
NaCl 0,9% 1496
兼容
注射液 Paclitaxel 1.2 mg/ml
注射液 Cyclophosphamide 10 mg/ml
葡萄糖5% 85
兼容
注射液 Paclitaxel 1.2 mg/ml
注射液 Cytarabine 50 mg/ml
葡萄糖5% 85
兼容
注射液 Paclitaxel 1.2 mg/ml
注射液 Dacarbazine 4 mg/ml
葡萄糖5% 248
兼容
注射液 Paclitaxel 1.2 mg/ml
注射液 Dexamethasone sodium phosphate 1 mg/ml
葡萄糖5% 85
兼容
注射液 Paclitaxel 1.2 mg/ml
注射液 Diphenhydramine hydrochloride 2 mg/ml
葡萄糖5% 85
兼容
注射液 Paclitaxel 0,6 mg/ml
注射液 Doripenem 5 mg/ml
NaCl 0,9% 2262
兼容
注射液 Paclitaxel 0,6 mg/ml
注射液 Doripenem 5 mg/ml
葡萄糖5% 2262
兼容
注射液 Paclitaxel 0,3 & 1,2 mg/ml
注射液 Doxorubicin hydrochloride 0,2 mg/ml
葡萄糖5% 1286
兼容
注射液 Paclitaxel 1.2 mg/ml
注射液 Doxorubicin hydrochloride 2 mg/ml
葡萄糖5% 85
兼容
注射液 Paclitaxel 0,3 & 1,2 mg/ml
注射液 Doxorubicin hydrochloride 0,2 mg/ml
NaCl 0,9% 1286
濁度損失 不相容
注射液 Paclitaxel 0.6 mg/ml
注射液 Doxorubicin hydrochloride liposome peg 0.4 mg/ml
葡萄糖5% 251
兼容
注射液 Paclitaxel
NaCl 0,9% 1956
兼容
注射液 Paclitaxel 1.2 mg/ml
注射液 Droperidol 0.4 mg/ml
葡萄糖5% 248
兼容
注射液 Paclitaxel 1.2 mg/ml
注射液 Etoposide 0.4 mg/ml
葡萄糖5% 85
兼容
注射液 Paclitaxel 1.2 mg/ml
注射液 Etoposide phosphate 5 mg/ml
葡萄糖5% 1410
兼容
注射液 Paclitaxel 1.2 mg/ml
注射液 Famotidine 2 mg/ml
葡萄糖5% 248
兼容
注射液 Paclitaxel 1.2 mg/ml
注射液 Floxuridine 3 mg/ml
葡萄糖5% 248
兼容
注射液 Paclitaxel 0,3 & 1,2 mg/ml
注射液 Fluconazole 2 mg/ml
葡萄糖5% 151
兼容
注射液 Paclitaxel 1.2 mg/ml
注射液 Fluconazole 2 mg/ml
葡萄糖5% 248
兼容
注射液 Paclitaxel 1.2 mg/ml
注射液 Fluorouracil 16 mg/ml
葡萄糖5% 85
兼容
注射液 Paclitaxel 1.2 mg/ml
注射液 Furosemide 3 mg/ml
葡萄糖5% 248
兼容
注射液 Paclitaxel 1.2 mg/ml
注射液 Ganciclovir sodium 20 mg/ml
葡萄糖5% 248
兼容
注射液 Paclitaxel 1.2 mg/ml
注射液 Gemcitabine hydrochloride 10 mg/ml
NaCl 0,9% 1423
兼容
注射液 Paclitaxel 1.2 mg/ml
注射液 Gentamicin sulfate 5 mg/ml
葡萄糖5% 248
兼容
注射液 Paclitaxel 1.2 mg/ml
注射液 Granisetron hydrochloride 0.05 mg/ml
葡萄糖5% 182
兼容
注射液 Paclitaxel 0.29 mg/ml
注射液 Granisetron hydrochloride 1 mg/ml
NaCl 0,9% 57
兼容
注射液 Paclitaxel 1.2 mg/ml
注射液 Haloperidol lactate 0.2 mg/ml
葡萄糖5% 85
兼容
注射液 Paclitaxel 1.2 mg/ml
注射液 Heparin sodium 100 UI/ml
葡萄糖5% 248
兼容
注射液 Paclitaxel 1.2 mg/ml
注射液 Hydrocortisone sodium succinate 1 mg/ml
葡萄糖5% 248
兼容
注射液 Paclitaxel 1.2 mg/ml
注射液 Hydromorphone hydrochloride 0.5 mg/ml
葡萄糖5% 248
濁度損失 不相容
注射液 Paclitaxel 1.2 mg/ml
注射液 Hydroxyzine dihydrochloride 4 mg/ml
葡萄糖5% 248
兼容
注射液 Paclitaxel 1.2 mg/ml
注射液 Ifosfamide 25 mg/ml
葡萄糖5% 248
兼容
注射液 Paclitaxel 0.6 mg/ml
注射液 Lansoprazole 0.55 mg/ml
NaCl 0,9% 1625
兼容
注射液 Paclitaxel 0.6 mg/ml
注射液 Linezolid 2 mg/ml
无 1925
兼容
注射液 Paclitaxel 1.2 mg/ml
注射液 Lorazepam 0.1 mg/ml
葡萄糖5% 85
兼容
注射液 Paclitaxel 1.2 mg/ml
注射液 Magnesium sulfate 100 mg/ml
葡萄糖5% 248
兼容
注射液 Paclitaxel 1.2 mg/ml
注射液 Mannitol 150 mg/ml
葡萄糖5% 248
兼容
注射液 Paclitaxel 1.2 mg/ml
注射液 Mesna 10 mg/ml
葡萄糖5% 248
兼容
注射液 Paclitaxel 1.2 mg/ml
注射液 Methotrexate sodium 15 mg/ml
葡萄糖5% 85
濁度損失 不相容
注射液 Paclitaxel 1.2 mg/ml
注射液 Methylprednisolone sodium succinate 5 mg/ml
葡萄糖5% 248
兼容
注射液 Paclitaxel 1.2 mg/ml
注射液 Metoclopramide hydrochloride 5 mg/ml
葡萄糖5% 85
濁度損失 不相容
注射液 Paclitaxel 1.2 mg/ml
注射液 Mitoxantrone dihydrochloride 0.5 mg/ml
葡萄糖5% 248
兼容
注射液 Paclitaxel 1.2 mg/ml
注射液 Morphine sulfate 1 mg/ml
葡萄糖5% 248
兼容
注射液 Paclitaxel 1.2 mg/ml
注射液 Nalbuphine hydrochloride 10 mg/ml
葡萄糖5% 248
兼容
注射液 Paclitaxel 0.3 & 1.2 mg/ml
注射液 Ondansetron hydrochloride 0.03 & 0.3 mg/ml
葡萄糖5% 47
兼容
注射液 Paclitaxel 1.2 mg/ml
注射液 Ondansetron hydrochloride 0.5 mg/ml
葡萄糖5% 248
兼容
注射液 Paclitaxel 0,6 mg/ml
注射液 Oxaliplatin 0,5 mg/ml
葡萄糖5% 1662
兼容
注射液 Paclitaxel 1,2 mg/ml
注射液 Palonosetron hydrochloride 50 µg/ml
葡萄糖5% 1940
兼容
注射液 Paclitaxel 0.6 mg/ml
注射液 Pemetrexed disodium 20 mg/ml
NaCl 0,9% 1953
兼容
注射液 Paclitaxel 1.2 mg/ml
注射液 Pentostatin 0.4 mg/ml
葡萄糖5% 248
兼容
注射液 Paclitaxel 1.2 mg/ml
注射液 Pethidine hydrochloride 4 mg/ml
葡萄糖5% 248
兼容
注射液 Paclitaxel 1.2 mg/ml
注射液 Potassium chloride 100 mEq/l
葡萄糖5% 248
兼容
注射液 Paclitaxel 1.2 mg/ml
注射液 Prochlorperazine edysilate 0.5 mg/ml
葡萄糖5% 85
兼容
注射液 Paclitaxel 1.2 mg/ml
注射液 Propofol 10 mg/ml
无 300
兼容
注射液 Paclitaxel 0.3 & 1.2 mg/ml
注射液 Ranitidine hydrochloride 0.5 & 2 mg/ml
葡萄糖5% 47
兼容
注射液 Paclitaxel 1.2 mg/ml
注射液 Ranitidine hydrochloride 2 mg/ml
葡萄糖5% 85
兼容
注射液 Paclitaxel 1.2 mg/ml
注射液 Sodium bicarbonate 84 mg/ml
葡萄糖5% 248
兼容
注射液 Paclitaxel 0.6 mg/ml
注射液 Thiotepa 1 mg/ml
葡萄糖5% 249
兼容
注射液 Paclitaxel 0.54 mg/ml
注射液 Topotecan 0.056 mg/ml
NaCl 0,9% 1026
兼容
注射液 Paclitaxel 0.54 mg/ml
注射液 Topotecan 0.056 mg/ml
葡萄糖5% 1026
兼容
注射液 Paclitaxel 1.2 mg/ml
注射液 Vancomycin hydrochloride 10 mg/ml
葡萄糖5% 85
兼容
注射液 Paclitaxel 1.2 mg/ml
注射液 Vinblastine sulfate 0.12 mg/ml
葡萄糖5% 248
兼容
注射液 Paclitaxel 1.2 mg/ml
注射液 Vincristine sulfate 0.05 mg/ml
葡萄糖5% 248
兼容
注射液 Paclitaxel 1.2 mg/ml
注射液 Zidovudine 4 mg/ml
葡萄糖5% 248

  Mentions Légales