zadnja posodobitev :
18/03/2026
rak drog   Paclitaxel  
Brizgalka
Stabilnost raztopine Stabilnost mešanice Faktorji, ki vplivajo na stabilnost Kompatibilnost način aplikacije Viri pdf
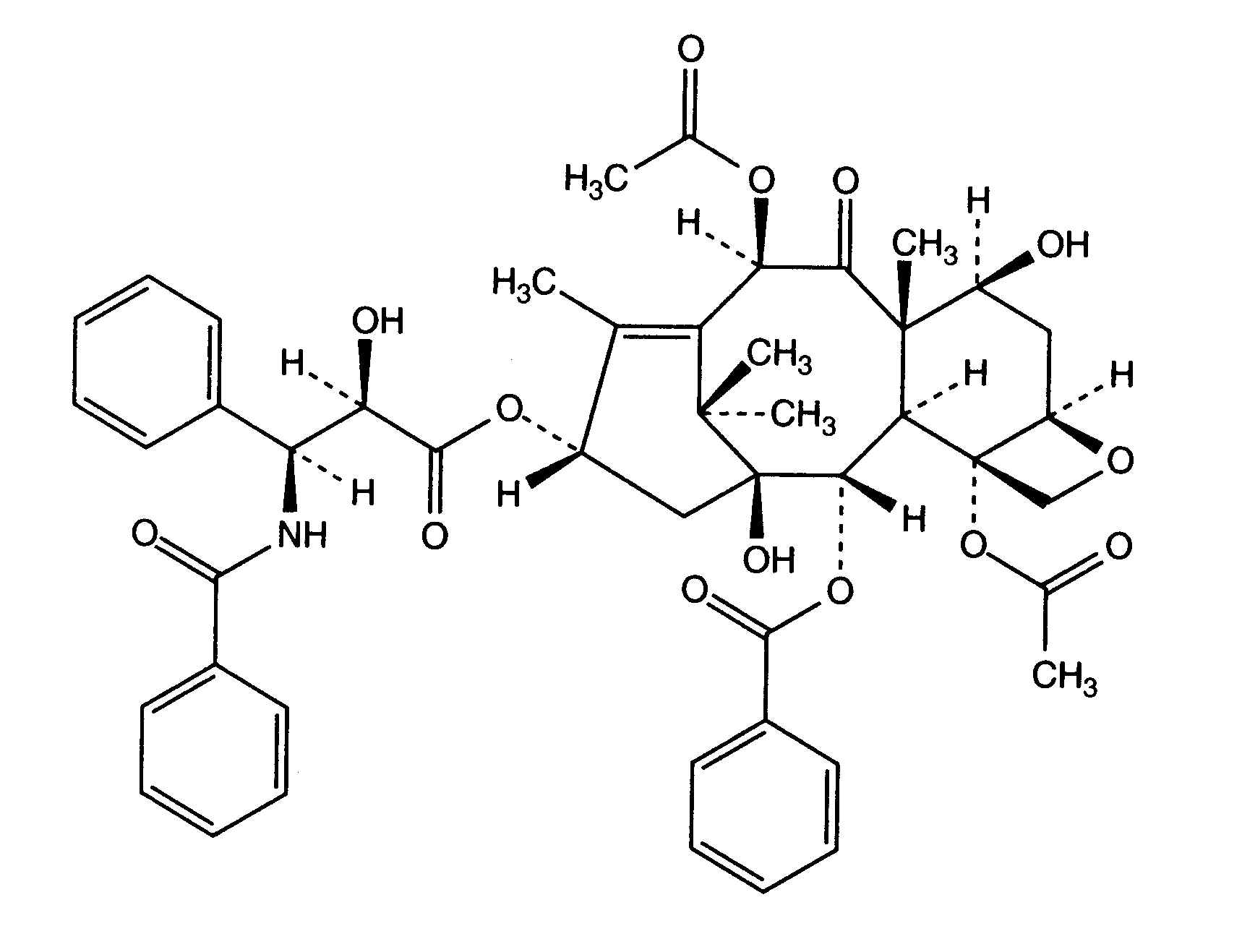
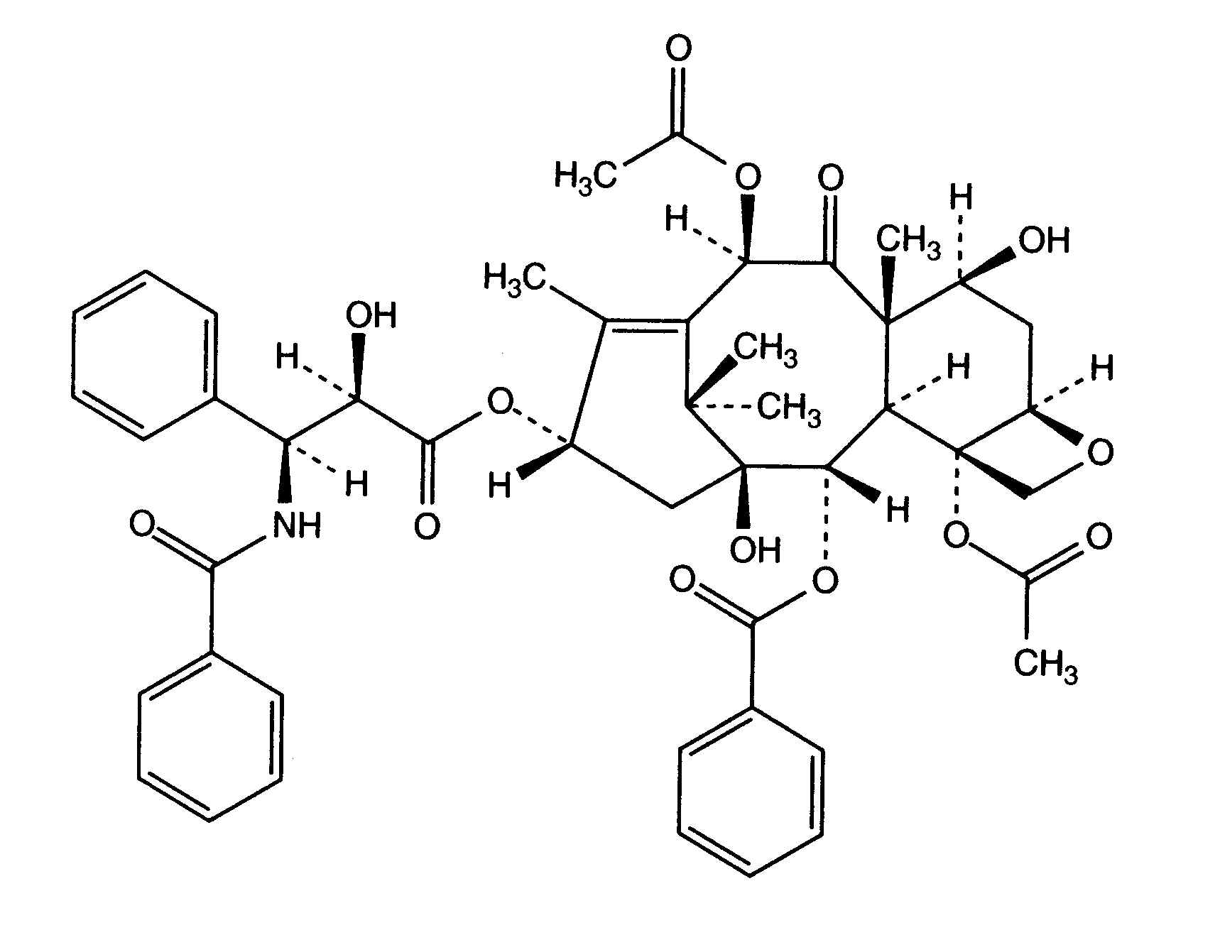
   Kemična formula  

Lastniško ime   Lastniško ime     

Sestava pomožnih snovi je med paralelami lahko različna

Aclipak Malezija
Acoexcel Mehika
Acupaxil Maroko
Anzatax Egipt, Iran, Malezija, Maroko, nova Zelandija, Peru, Savdska Arabija, Tunizija, Turčija, Združeni arabski emirati
Aritaxel Nemčija
Cantaxel Indija
Clitaxel Argentina, Venezuela
Dalys Argentina
Ebetaxel Avstrija, Iran, Maroko, Savdska Arabija, Tunizija, Turčija
Genexol Egipt, Indija, Iran
Onxol Združene države Amerike
Paclinova Argentina
Paclitaxin Brazilija, Luksemburg, Malezija, Slovenija
Parexel Brazilija, Ekvador, Kolumbija, Venezuela
Paxene Danska, Grčija, Irska, Nizozemska, Poljska, Španija
Poltaxel Poljska
Ribotax Nemčija
Taxol Avstrija, Brazilija, Danska, Egipt, Grčija, Iran, Italija, Japonska, Kolumbija, Malezija, Maroko, Nizozemska, nova Zelandija, Peru, Poljska, Portugalska, Slovenija, Švedska, Švica, Turčija, Venezuela, Združeni arabski emirati
Taxomedac Nemčija
Vitax Brazilija, Peru, Turčija
Kompatibilnost   Brizgalka   Kompatibilnost : Paclitaxel              
Ta zaslon prikazuje združljivost ali nezdružljivost s, v tem primeru, vrsto nezdružljivosti (padavine, sprememba barve, sprememba emulzije itd.). Tu prikazane združljivosti so večinoma samo fizične, pri čemer se kemijska stabilnost vsake molekule redko ocenjuje. Vrednotenje teh zmesi so preučevali, da bi preučili možnost pacientovega dajanja na mestu Y. Teh podatkov ni mogoče uporabiti za pripravo mešanic v vrečkah ali brizgah. Ta vrsta informacij je na voljo na zaslonu "Obstojnost v mešanici".
Sestava Topilo Viri
Združljivo
Brizgalka Paclitaxel 1.2 mg/ml
Brizgalka Aciclovir sodium 7 mg/ml
Glukoza 5% 248
Združljivo
Brizgalka Paclitaxel 1.2 mg/ml
Brizgalka Amikacin sulfate 5 mg/ml
Glukoza 5% 248
Združljivo
Brizgalka Paclitaxel 1.2 mg/ml
Brizgalka Aminophylline 2.5 mg/ml
Glukoza 5% 248
Takojšnja motnost Nezdružljivo
Brizgalka Paclitaxel 1.2 mg/ml
Brizgalka Amphotericin B 0.6 mg/ml
Glukoza 5% 248
Izguba motnosti Nezdružljivo
Brizgalka Paclitaxel 0.6 mg/ml
Brizgalka Amphotericin B cholesteryl sulfate complex 0.83 mg/ml
Glukoza 5% 921
Združljivo
Brizgalka Paclitaxel 1.2 mg/ml
Brizgalka Ampicillin sodium - sulbactam sodium 20/10 mg/ml
Glukoza 5% 248
Združljivo
Brizgalka Paclitaxel 0.6 mg/ml
Brizgalka Anidulafungin 0.5 mg/ml
Glukoza 5% 1982
Združljivo
Brizgalka Paclitaxel 1.2 mg/ml
Brizgalka Bleomycin sulfate 1 mg/ml
Glukoza 5% 248
Združljivo
Brizgalka Paclitaxel 1.2 mg/ml
Brizgalka Butorphanol tartrate 0.04 mg/ml
Glukoza 5% 248
Združljivo
Brizgalka Paclitaxel 1.2 mg/ml
Brizgalka Calcium chloride 20 mg/ml
Glukoza 5% 248
Združljivo
Brizgalka Paclitaxel 1.2 mg/ml
Brizgalka Carboplatin 5 mg/ml
Glukoza 5% 85
Združljivo
Brizgalka Paclitaxel 0,3 & 1,2 mg/ml
Brizgalka Carboplatin 2 mg/ml
Natrijev klorid 0,9% 872
Združljivo
Brizgalka Paclitaxel 0,3 & 1,2 mg/ml
Brizgalka Carboplatin 2 mg/ml
Glukoza 5% 872
Združljivo
Brizgalka Paclitaxel 1.2 mg/ml
Brizgalka Ceforanide 20 mg/ml
Glukoza 5% 248
Združljivo
Brizgalka Paclitaxel 1.2 mg/ml
Brizgalka Ceftazidime 40 mg/ml
Glukoza 5% 248
Združljivo
Brizgalka Paclitaxel 1.2 mg/ml
Brizgalka Ceftriaxone disodium 20 mg/ml
Glukoza 5% 248
Izguba motnosti Nezdružljivo
Brizgalka Paclitaxel 1.2 mg/ml
Brizgalka Chlorpromazine hydrochloride 2 mg/ml
Glukoza 5% 248
Združljivo
Brizgalka Paclitaxel
Glukoza 5% 1956
Združljivo
Brizgalka Paclitaxel 0,3 & 1,2 mg/ml
Brizgalka Cisplatin 0,2 mg/ml
Natrijev klorid 0,9% 872
Združljivo
Brizgalka Paclitaxel 1.2 mg/ml
Parenteralna prehrana (z lipidi) 1415
Združljivo
Brizgalka Paclitaxel 1.2 mg/ml
Parenteralna prehrana (binarno zmes) 301
Združljivo
Brizgalka Paclitaxel 1.2 mg/ml
Brizgalka Cimetidine hydrochloride 12 mg/ml
Glukoza 5% 85
Združljivo
Brizgalka Paclitaxel 1.2 mg/ml
Brizgalka Cisplatin 1 mg/ml
Glukoza 5% 85
Kemijska nestabilnost Nezdružljivo
Brizgalka Paclitaxel
Brizgalka Cisplatin
3578
Združljivo
Brizgalka Paclitaxel 0.6 mg/ml
Brizgalka Cladribine 0.5 mg/ml
NaCl 0,9%  + bakteriostatik 1496
Združljivo
Brizgalka Paclitaxel 0.6 mg/ml
Brizgalka Cladribine 0.015 mg/ml
Natrijev klorid 0,9% 1496
Združljivo
Brizgalka Paclitaxel 1.2 mg/ml
Brizgalka Cyclophosphamide 10 mg/ml
Glukoza 5% 85
Združljivo
Brizgalka Paclitaxel 1.2 mg/ml
Brizgalka Cytarabine 50 mg/ml
Glukoza 5% 85
Združljivo
Brizgalka Paclitaxel 1.2 mg/ml
Brizgalka Dacarbazine 4 mg/ml
Glukoza 5% 248
Združljivo
Brizgalka Paclitaxel 1.2 mg/ml
Brizgalka Dexamethasone sodium phosphate 1 mg/ml
Glukoza 5% 85
Združljivo
Brizgalka Paclitaxel 1.2 mg/ml
Brizgalka Diphenhydramine hydrochloride 2 mg/ml
Glukoza 5% 85
Združljivo
Brizgalka Paclitaxel 0,6 mg/ml
Brizgalka Doripenem 5 mg/ml
Natrijev klorid 0,9% 2262
Združljivo
Brizgalka Paclitaxel 0,6 mg/ml
Brizgalka Doripenem 5 mg/ml
Glukoza 5% 2262
Združljivo
Brizgalka Paclitaxel 0,3 & 1,2 mg/ml
Brizgalka Doxorubicin hydrochloride 0,2 mg/ml
Glukoza 5% 1286
Združljivo
Brizgalka Paclitaxel 1.2 mg/ml
Brizgalka Doxorubicin hydrochloride 2 mg/ml
Glukoza 5% 85
Združljivo
Brizgalka Paclitaxel 0,3 & 1,2 mg/ml
Brizgalka Doxorubicin hydrochloride 0,2 mg/ml
Natrijev klorid 0,9% 1286
Izguba motnosti Nezdružljivo
Brizgalka Paclitaxel 0.6 mg/ml
Brizgalka Doxorubicin hydrochloride liposome peg 0.4 mg/ml
Glukoza 5% 251
Združljivo
Brizgalka Paclitaxel
Natrijev klorid 0,9% 1956
Združljivo
Brizgalka Paclitaxel 1.2 mg/ml
Brizgalka Droperidol 0.4 mg/ml
Glukoza 5% 248
Združljivo
Brizgalka Paclitaxel 1.2 mg/ml
Brizgalka Etoposide 0.4 mg/ml
Glukoza 5% 85
Združljivo
Brizgalka Paclitaxel 1.2 mg/ml
Brizgalka Etoposide phosphate 5 mg/ml
Glukoza 5% 1410
Združljivo
Brizgalka Paclitaxel 1.2 mg/ml
Brizgalka Famotidine 2 mg/ml
Glukoza 5% 248
Združljivo
Brizgalka Paclitaxel 1.2 mg/ml
Brizgalka Floxuridine 3 mg/ml
Glukoza 5% 248
Združljivo
Brizgalka Paclitaxel 0,3 & 1,2 mg/ml
Brizgalka Fluconazole 2 mg/ml
Glukoza 5% 151
Združljivo
Brizgalka Paclitaxel 1.2 mg/ml
Brizgalka Fluconazole 2 mg/ml
Glukoza 5% 248
Združljivo
Brizgalka Paclitaxel 1.2 mg/ml
Brizgalka Fluorouracil 16 mg/ml
Glukoza 5% 85
Združljivo
Brizgalka Paclitaxel 1.2 mg/ml
Brizgalka Furosemide 3 mg/ml
Glukoza 5% 248
Združljivo
Brizgalka Paclitaxel 1.2 mg/ml
Brizgalka Ganciclovir sodium 20 mg/ml
Glukoza 5% 248
Združljivo
Brizgalka Paclitaxel 1.2 mg/ml
Brizgalka Gemcitabine hydrochloride 10 mg/ml
Natrijev klorid 0,9% 1423
Združljivo
Brizgalka Paclitaxel 1.2 mg/ml
Brizgalka Gentamicin sulfate 5 mg/ml
Glukoza 5% 248
Združljivo
Brizgalka Paclitaxel 1.2 mg/ml
Brizgalka Granisetron hydrochloride 0.05 mg/ml
Glukoza 5% 182
Združljivo
Brizgalka Paclitaxel 0.29 mg/ml
Brizgalka Granisetron hydrochloride 1 mg/ml
Natrijev klorid 0,9% 57
Združljivo
Brizgalka Paclitaxel 1.2 mg/ml
Brizgalka Haloperidol lactate 0.2 mg/ml
Glukoza 5% 85
Združljivo
Brizgalka Paclitaxel 1.2 mg/ml
Brizgalka Heparin sodium 100 UI/ml
Glukoza 5% 248
Združljivo
Brizgalka Paclitaxel 1.2 mg/ml
Brizgalka Hydrocortisone sodium succinate 1 mg/ml
Glukoza 5% 248
Združljivo
Brizgalka Paclitaxel 1.2 mg/ml
Brizgalka Hydromorphone hydrochloride 0.5 mg/ml
Glukoza 5% 248
Izguba motnosti Nezdružljivo
Brizgalka Paclitaxel 1.2 mg/ml
Brizgalka Hydroxyzine dihydrochloride 4 mg/ml
Glukoza 5% 248
Združljivo
Brizgalka Paclitaxel 1.2 mg/ml
Brizgalka Ifosfamide 25 mg/ml
Glukoza 5% 248
Združljivo
Brizgalka Paclitaxel 0.6 mg/ml
Brizgalka Lansoprazole 0.55 mg/ml
Natrijev klorid 0,9% 1625
Združljivo
Brizgalka Paclitaxel 0.6 mg/ml
Brizgalka Linezolid 2 mg/ml
Nobeden 1925
Združljivo
Brizgalka Paclitaxel 1.2 mg/ml
Brizgalka Lorazepam 0.1 mg/ml
Glukoza 5% 85
Združljivo
Brizgalka Paclitaxel 1.2 mg/ml
Brizgalka Magnesium sulfate 100 mg/ml
Glukoza 5% 248
Združljivo
Brizgalka Paclitaxel 1.2 mg/ml
Brizgalka Mannitol 150 mg/ml
Glukoza 5% 248
Združljivo
Brizgalka Paclitaxel 1.2 mg/ml
Brizgalka Mesna 10 mg/ml
Glukoza 5% 248
Združljivo
Brizgalka Paclitaxel 1.2 mg/ml
Brizgalka Methotrexate sodium 15 mg/ml
Glukoza 5% 85
Izguba motnosti Nezdružljivo
Brizgalka Paclitaxel 1.2 mg/ml
Brizgalka Methylprednisolone sodium succinate 5 mg/ml
Glukoza 5% 248
Združljivo
Brizgalka Paclitaxel 1.2 mg/ml
Brizgalka Metoclopramide hydrochloride 5 mg/ml
Glukoza 5% 85
Izguba motnosti Nezdružljivo
Brizgalka Paclitaxel 1.2 mg/ml
Brizgalka Mitoxantrone dihydrochloride 0.5 mg/ml
Glukoza 5% 248
Združljivo
Brizgalka Paclitaxel 1.2 mg/ml
Brizgalka Morphine sulfate 1 mg/ml
Glukoza 5% 248
Združljivo
Brizgalka Paclitaxel 1.2 mg/ml
Brizgalka Nalbuphine hydrochloride 10 mg/ml
Glukoza 5% 248
Združljivo
Brizgalka Paclitaxel 0.3 & 1.2 mg/ml
Brizgalka Ondansetron hydrochloride 0.03 & 0.3 mg/ml
Glukoza 5% 47
Združljivo
Brizgalka Paclitaxel 1.2 mg/ml
Brizgalka Ondansetron hydrochloride 0.5 mg/ml
Glukoza 5% 248
Združljivo
Brizgalka Paclitaxel 0,6 mg/ml
Brizgalka Oxaliplatin 0,5 mg/ml
Glukoza 5% 1662
Združljivo
Brizgalka Paclitaxel 1,2 mg/ml
Brizgalka Palonosetron hydrochloride 50 µg/ml
Glukoza 5% 1940
Združljivo
Brizgalka Paclitaxel 0.6 mg/ml
Brizgalka Pemetrexed disodium 20 mg/ml
Natrijev klorid 0,9% 1953
Združljivo
Brizgalka Paclitaxel 1.2 mg/ml
Brizgalka Pentostatin 0.4 mg/ml
Glukoza 5% 248
Združljivo
Brizgalka Paclitaxel 1.2 mg/ml
Brizgalka Pethidine hydrochloride 4 mg/ml
Glukoza 5% 248
Združljivo
Brizgalka Paclitaxel 1.2 mg/ml
Brizgalka Potassium chloride 100 mEq/l
Glukoza 5% 248
Združljivo
Brizgalka Paclitaxel 1.2 mg/ml
Brizgalka Prochlorperazine edysilate 0.5 mg/ml
Glukoza 5% 85
Združljivo
Brizgalka Paclitaxel 1.2 mg/ml
Brizgalka Propofol 10 mg/ml
Nobeden 300
Združljivo
Brizgalka Paclitaxel 0.3 & 1.2 mg/ml
Brizgalka Ranitidine hydrochloride 0.5 & 2 mg/ml
Glukoza 5% 47
Združljivo
Brizgalka Paclitaxel 1.2 mg/ml
Brizgalka Ranitidine hydrochloride 2 mg/ml
Glukoza 5% 85
Združljivo
Brizgalka Paclitaxel 1.2 mg/ml
Brizgalka Sodium bicarbonate 84 mg/ml
Glukoza 5% 248
Združljivo
Brizgalka Paclitaxel 0.6 mg/ml
Brizgalka Thiotepa 1 mg/ml
Glukoza 5% 249
Združljivo
Brizgalka Paclitaxel 0.54 mg/ml
Brizgalka Topotecan 0.056 mg/ml
Natrijev klorid 0,9% 1026
Združljivo
Brizgalka Paclitaxel 0.54 mg/ml
Brizgalka Topotecan 0.056 mg/ml
Glukoza 5% 1026
Združljivo
Brizgalka Paclitaxel 1.2 mg/ml
Brizgalka Vancomycin hydrochloride 10 mg/ml
Glukoza 5% 85
Združljivo
Brizgalka Paclitaxel 1.2 mg/ml
Brizgalka Vinblastine sulfate 0.12 mg/ml
Glukoza 5% 248
Združljivo
Brizgalka Paclitaxel 1.2 mg/ml
Brizgalka Vincristine sulfate 0.05 mg/ml
Glukoza 5% 248
Združljivo
Brizgalka Paclitaxel 1.2 mg/ml
Brizgalka Zidovudine 4 mg/ml
Glukoza 5% 248

  Mentions Légales