Τελευταία ενημέρωση :
18/03/2026
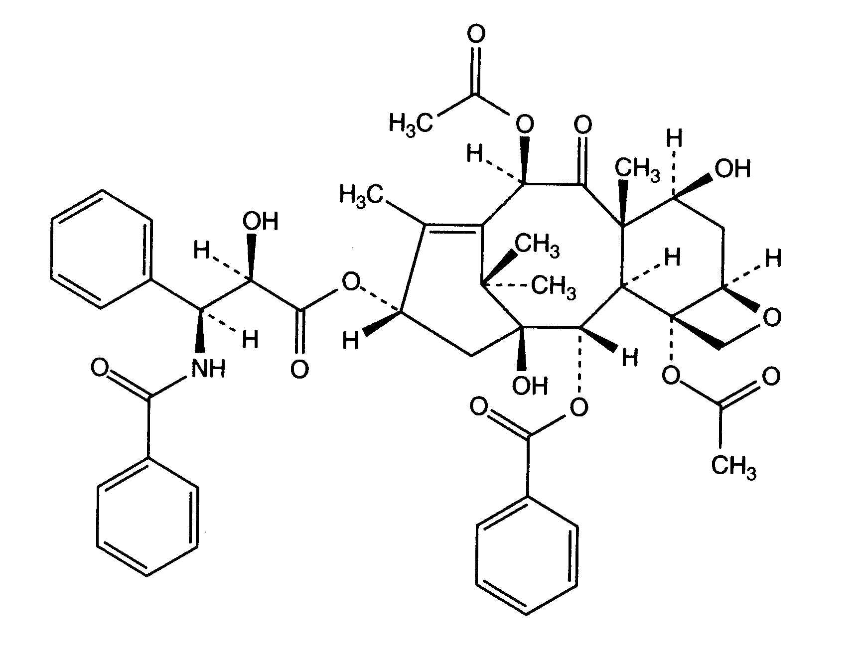
φάρμακο κατά του καρκίνου   Paclitaxel  
Ενέσιμο
Σταθερότητα διαλυμάτων Σταθερότητα σε μίγματα Παράγοντας που επηρεάζει τη σταθερότητα Συμβατότητες Τρόπος χορήγησης Βιβλιογραφία pdf
   χημική δομή  

Εμπορική ονομασία   Εμπορική ονομασία     

Οι εμπορικές ονομασίες είναι ενδεικτικές και η σύνθεση των εκδόχων μπορεί να διαφέρει ανάλογα με τη χώρα και τα εργαστήρια

Aclipak Μαλαισία
Acoexcel Μεξικό
Acupaxil Μαρόκο
Anzatax Yhdistyneet arabiemiirikunnat, Αίγυπτος, Ιράν, Μαλαισία, Μαρόκο, νέα Ζηλανδία, Περού, Σαουδική Αραβία, Τουρκία, Τυνησία
Aritaxel Γερμανία
Cantaxel Ινδία
Clitaxel Αργεντινή, Βενεζουέλα
Dalys Αργεντινή
Ebetaxel Αυστρία, Ιράν, Μαρόκο, Σαουδική Αραβία, Τουρκία, Τυνησία
Genexol Αίγυπτος, Ινδία, Ιράν
Onxol Η.Π.Α.
Paclinova Αργεντινή
Paclitaxin Βραζιλία, Λουξεμβούργο, Μαλαισία, Σλοβενία
Parexel Βενεζουέλα, Βραζιλία, Εκουαδόρ, Κολομβία
Paxene Δανία, Ελλάδα, Ιρλανδία, Ισπανία, Ολλανδία, Πολωνία
Poltaxel Πολωνία
Ribotax Γερμανία
Taxol Yhdistyneet arabiemiirikunnat, Αίγυπτος, Αυστρία, Βενεζουέλα, Βραζιλία, Δανία, Ελβετία, Ελλάδα, Ιαπωνία, Ιράν, Ιταλία, Κολομβία, Μαλαισία, Μαρόκο, νέα Ζηλανδία, Ολλανδία, Περού, Πολωνία, Πορτογαλία, Σλοβενία, Σουηδία, Τουρκία
Taxomedac Γερμανία
Vitax Βραζιλία, Περού, Τουρκία
Συμβατότητες    Ενέσιμο   Συμβατότητες : Paclitaxel              
Σε αυτή την οθόνη εμφανίζονται οι συμβατότητες ή ασυμβατότητες. Σε αυτή την περίπτωση εμφανίζονται το είδος της ασυμβατότητας (ίζημα, αλλαγή χρώματος, μεταβολή γαλακτώματος, κλπ). Οι συμβατότητες που παρουσιάζονται εδώ είναι κυρίως φυσικές, ενώ η χημική σταθερότητα κάθε μορίου σπάνια περιλαμβάνεται. Η αξιολόγηση αυτών των μιγμάτων μελετήθηκε προκειμένου να εκτιμηθεί η πιθανότητα χορήγησης στον ασθενή στο Υ κέντρο. Τα δεδομένα αυτά δεν μπορούν να χρησιμοποιηθούν για την εκ των προτέρων δημιουργία μιγμάτων σε ασκούς ή σύριγγες. Αυτό το είδος πληροφορίας υπάρχει και μπορεί να αναζητηθεί στην οθόνη «Σταθερότητα σε μίγμα».
Συστατικό Διαλυτικό Βιβλιογραφία
Σύμφωνος
Ενέσιμο Paclitaxel 1.2 mg/ml
Ενέσιμο Aciclovir sodium 7 mg/ml
Γλυκόζη 5% 248
Σύμφωνος
Ενέσιμο Paclitaxel 1.2 mg/ml
Ενέσιμο Amikacin sulfate 5 mg/ml
Γλυκόζη 5% 248
Σύμφωνος
Ενέσιμο Paclitaxel 1.2 mg/ml
Ενέσιμο Aminophylline 2.5 mg/ml
Γλυκόζη 5% 248
Άμεση θολότητα Ασύμβατες
Ενέσιμο Paclitaxel 1.2 mg/ml
Ενέσιμο Amphotericin B 0.6 mg/ml
Γλυκόζη 5% 248
Απώλεια θολότητας Ασύμβατες
Ενέσιμο Paclitaxel 0.6 mg/ml
Ενέσιμο Amphotericin B cholesteryl sulfate complex 0.83 mg/ml
Γλυκόζη 5% 921
Σύμφωνος
Ενέσιμο Paclitaxel 1.2 mg/ml
Ενέσιμο Ampicillin sodium - sulbactam sodium 20/10 mg/ml
Γλυκόζη 5% 248
Σύμφωνος
Ενέσιμο Paclitaxel 0.6 mg/ml
Ενέσιμο Anidulafungin 0.5 mg/ml
Γλυκόζη 5% 1982
Σύμφωνος
Ενέσιμο Paclitaxel 1.2 mg/ml
Ενέσιμο Bleomycin sulfate 1 mg/ml
Γλυκόζη 5% 248
Σύμφωνος
Ενέσιμο Paclitaxel 1.2 mg/ml
Ενέσιμο Butorphanol tartrate 0.04 mg/ml
Γλυκόζη 5% 248
Σύμφωνος
Ενέσιμο Paclitaxel 1.2 mg/ml
Ενέσιμο Calcium chloride 20 mg/ml
Γλυκόζη 5% 248
Σύμφωνος
Ενέσιμο Paclitaxel 1.2 mg/ml
Ενέσιμο Carboplatin 5 mg/ml
Γλυκόζη 5% 85
Σύμφωνος
Ενέσιμο Paclitaxel 0,3 & 1,2 mg/ml
Ενέσιμο Carboplatin 2 mg/ml
Χλωριούχο νάτριο 0,9% 872
Σύμφωνος
Ενέσιμο Paclitaxel 0,3 & 1,2 mg/ml
Ενέσιμο Carboplatin 2 mg/ml
Γλυκόζη 5% 872
Σύμφωνος
Ενέσιμο Paclitaxel 1.2 mg/ml
Ενέσιμο Ceforanide 20 mg/ml
Γλυκόζη 5% 248
Σύμφωνος
Ενέσιμο Paclitaxel 1.2 mg/ml
Ενέσιμο Ceftazidime 40 mg/ml
Γλυκόζη 5% 248
Σύμφωνος
Ενέσιμο Paclitaxel 1.2 mg/ml
Ενέσιμο Ceftriaxone disodium 20 mg/ml
Γλυκόζη 5% 248
Απώλεια θολότητας Ασύμβατες
Ενέσιμο Paclitaxel 1.2 mg/ml
Ενέσιμο Chlorpromazine hydrochloride 2 mg/ml
Γλυκόζη 5% 248
Σύμφωνος
Ενέσιμο Paclitaxel
Γλυκόζη 5% 1956
Σύμφωνος
Ενέσιμο Paclitaxel 0,3 & 1,2 mg/ml
Ενέσιμο Cisplatin 0,2 mg/ml
Χλωριούχο νάτριο 0,9% 872
Σύμφωνος
Ενέσιμο Paclitaxel 1.2 mg/ml
Παρεντερική διατροφή (με λιπίδια) 1415
Σύμφωνος
Ενέσιμο Paclitaxel 1.2 mg/ml
Παρεντερική  θρέψη (ελεύθερο λιπιδίων) 301
Σύμφωνος
Ενέσιμο Paclitaxel 1.2 mg/ml
Ενέσιμο Cimetidine hydrochloride 12 mg/ml
Γλυκόζη 5% 85
Σύμφωνος
Ενέσιμο Paclitaxel 1.2 mg/ml
Ενέσιμο Cisplatin 1 mg/ml
Γλυκόζη 5% 85
Χημική αστάθεια Ασύμβατες
Ενέσιμο Paclitaxel
Ενέσιμο Cisplatin
3578
Σύμφωνος
Ενέσιμο Paclitaxel 0.6 mg/ml
Ενέσιμο Cladribine 0.5 mg/ml
NaCl 0,9% + αντιβακτηριακό 1496
Σύμφωνος
Ενέσιμο Paclitaxel 0.6 mg/ml
Ενέσιμο Cladribine 0.015 mg/ml
Χλωριούχο νάτριο 0,9% 1496
Σύμφωνος
Ενέσιμο Paclitaxel 1.2 mg/ml
Ενέσιμο Cyclophosphamide 10 mg/ml
Γλυκόζη 5% 85
Σύμφωνος
Ενέσιμο Paclitaxel 1.2 mg/ml
Ενέσιμο Cytarabine 50 mg/ml
Γλυκόζη 5% 85
Σύμφωνος
Ενέσιμο Paclitaxel 1.2 mg/ml
Ενέσιμο Dacarbazine 4 mg/ml
Γλυκόζη 5% 248
Σύμφωνος
Ενέσιμο Paclitaxel 1.2 mg/ml
Ενέσιμο Dexamethasone sodium phosphate 1 mg/ml
Γλυκόζη 5% 85
Σύμφωνος
Ενέσιμο Paclitaxel 1.2 mg/ml
Ενέσιμο Diphenhydramine hydrochloride 2 mg/ml
Γλυκόζη 5% 85
Σύμφωνος
Ενέσιμο Paclitaxel 0,6 mg/ml
Ενέσιμο Doripenem 5 mg/ml
Χλωριούχο νάτριο 0,9% 2262
Σύμφωνος
Ενέσιμο Paclitaxel 0,6 mg/ml
Ενέσιμο Doripenem 5 mg/ml
Γλυκόζη 5% 2262
Σύμφωνος
Ενέσιμο Paclitaxel 0,3 & 1,2 mg/ml
Ενέσιμο Doxorubicin hydrochloride 0,2 mg/ml
Γλυκόζη 5% 1286
Σύμφωνος
Ενέσιμο Paclitaxel 1.2 mg/ml
Ενέσιμο Doxorubicin hydrochloride 2 mg/ml
Γλυκόζη 5% 85
Σύμφωνος
Ενέσιμο Paclitaxel 0,3 & 1,2 mg/ml
Ενέσιμο Doxorubicin hydrochloride 0,2 mg/ml
Χλωριούχο νάτριο 0,9% 1286
Απώλεια θολότητας Ασύμβατες
Ενέσιμο Paclitaxel 0.6 mg/ml
Ενέσιμο Doxorubicin hydrochloride liposome peg 0.4 mg/ml
Γλυκόζη 5% 251
Σύμφωνος
Ενέσιμο Paclitaxel
Χλωριούχο νάτριο 0,9% 1956
Σύμφωνος
Ενέσιμο Paclitaxel 1.2 mg/ml
Ενέσιμο Droperidol 0.4 mg/ml
Γλυκόζη 5% 248
Σύμφωνος
Ενέσιμο Paclitaxel 1.2 mg/ml
Ενέσιμο Etoposide 0.4 mg/ml
Γλυκόζη 5% 85
Σύμφωνος
Ενέσιμο Paclitaxel 1.2 mg/ml
Ενέσιμο Etoposide phosphate 5 mg/ml
Γλυκόζη 5% 1410
Σύμφωνος
Ενέσιμο Paclitaxel 1.2 mg/ml
Ενέσιμο Famotidine 2 mg/ml
Γλυκόζη 5% 248
Σύμφωνος
Ενέσιμο Paclitaxel 1.2 mg/ml
Ενέσιμο Floxuridine 3 mg/ml
Γλυκόζη 5% 248
Σύμφωνος
Ενέσιμο Paclitaxel 0,3 & 1,2 mg/ml
Ενέσιμο Fluconazole 2 mg/ml
Γλυκόζη 5% 151
Σύμφωνος
Ενέσιμο Paclitaxel 1.2 mg/ml
Ενέσιμο Fluconazole 2 mg/ml
Γλυκόζη 5% 248
Σύμφωνος
Ενέσιμο Paclitaxel 1.2 mg/ml
Ενέσιμο Fluorouracil 16 mg/ml
Γλυκόζη 5% 85
Σύμφωνος
Ενέσιμο Paclitaxel 1.2 mg/ml
Ενέσιμο Furosemide 3 mg/ml
Γλυκόζη 5% 248
Σύμφωνος
Ενέσιμο Paclitaxel 1.2 mg/ml
Ενέσιμο Ganciclovir sodium 20 mg/ml
Γλυκόζη 5% 248
Σύμφωνος
Ενέσιμο Paclitaxel 1.2 mg/ml
Ενέσιμο Gemcitabine hydrochloride 10 mg/ml
Χλωριούχο νάτριο 0,9% 1423
Σύμφωνος
Ενέσιμο Paclitaxel 1.2 mg/ml
Ενέσιμο Gentamicin sulfate 5 mg/ml
Γλυκόζη 5% 248
Σύμφωνος
Ενέσιμο Paclitaxel 1.2 mg/ml
Ενέσιμο Granisetron hydrochloride 0.05 mg/ml
Γλυκόζη 5% 182
Σύμφωνος
Ενέσιμο Paclitaxel 0.29 mg/ml
Ενέσιμο Granisetron hydrochloride 1 mg/ml
Χλωριούχο νάτριο 0,9% 57
Σύμφωνος
Ενέσιμο Paclitaxel 1.2 mg/ml
Ενέσιμο Haloperidol lactate 0.2 mg/ml
Γλυκόζη 5% 85
Σύμφωνος
Ενέσιμο Paclitaxel 1.2 mg/ml
Ενέσιμο Heparin sodium 100 UI/ml
Γλυκόζη 5% 248
Σύμφωνος
Ενέσιμο Paclitaxel 1.2 mg/ml
Ενέσιμο Hydrocortisone sodium succinate 1 mg/ml
Γλυκόζη 5% 248
Σύμφωνος
Ενέσιμο Paclitaxel 1.2 mg/ml
Ενέσιμο Hydromorphone hydrochloride 0.5 mg/ml
Γλυκόζη 5% 248
Απώλεια θολότητας Ασύμβατες
Ενέσιμο Paclitaxel 1.2 mg/ml
Ενέσιμο Hydroxyzine dihydrochloride 4 mg/ml
Γλυκόζη 5% 248
Σύμφωνος
Ενέσιμο Paclitaxel 1.2 mg/ml
Ενέσιμο Ifosfamide 25 mg/ml
Γλυκόζη 5% 248
Σύμφωνος
Ενέσιμο Paclitaxel 0.6 mg/ml
Ενέσιμο Lansoprazole 0.55 mg/ml
Χλωριούχο νάτριο 0,9% 1625
Σύμφωνος
Ενέσιμο Paclitaxel 0.6 mg/ml
Ενέσιμο Linezolid 2 mg/ml
Ουδέν 1925
Σύμφωνος
Ενέσιμο Paclitaxel 1.2 mg/ml
Ενέσιμο Lorazepam 0.1 mg/ml
Γλυκόζη 5% 85
Σύμφωνος
Ενέσιμο Paclitaxel 1.2 mg/ml
Ενέσιμο Magnesium sulfate 100 mg/ml
Γλυκόζη 5% 248
Σύμφωνος
Ενέσιμο Paclitaxel 1.2 mg/ml
Ενέσιμο Mannitol 150 mg/ml
Γλυκόζη 5% 248
Σύμφωνος
Ενέσιμο Paclitaxel 1.2 mg/ml
Ενέσιμο Mesna 10 mg/ml
Γλυκόζη 5% 248
Σύμφωνος
Ενέσιμο Paclitaxel 1.2 mg/ml
Ενέσιμο Methotrexate sodium 15 mg/ml
Γλυκόζη 5% 85
Απώλεια θολότητας Ασύμβατες
Ενέσιμο Paclitaxel 1.2 mg/ml
Ενέσιμο Methylprednisolone sodium succinate 5 mg/ml
Γλυκόζη 5% 248
Σύμφωνος
Ενέσιμο Paclitaxel 1.2 mg/ml
Ενέσιμο Metoclopramide hydrochloride 5 mg/ml
Γλυκόζη 5% 85
Απώλεια θολότητας Ασύμβατες
Ενέσιμο Paclitaxel 1.2 mg/ml
Ενέσιμο Mitoxantrone dihydrochloride 0.5 mg/ml
Γλυκόζη 5% 248
Σύμφωνος
Ενέσιμο Paclitaxel 1.2 mg/ml
Ενέσιμο Morphine sulfate 1 mg/ml
Γλυκόζη 5% 248
Σύμφωνος
Ενέσιμο Paclitaxel 1.2 mg/ml
Ενέσιμο Nalbuphine hydrochloride 10 mg/ml
Γλυκόζη 5% 248
Σύμφωνος
Ενέσιμο Paclitaxel 0.3 & 1.2 mg/ml
Ενέσιμο Ondansetron hydrochloride 0.03 & 0.3 mg/ml
Γλυκόζη 5% 47
Σύμφωνος
Ενέσιμο Paclitaxel 1.2 mg/ml
Ενέσιμο Ondansetron hydrochloride 0.5 mg/ml
Γλυκόζη 5% 248
Σύμφωνος
Ενέσιμο Paclitaxel 0,6 mg/ml
Ενέσιμο Oxaliplatin 0,5 mg/ml
Γλυκόζη 5% 1662
Σύμφωνος
Ενέσιμο Paclitaxel 1,2 mg/ml
Ενέσιμο Palonosetron hydrochloride 50 µg/ml
Γλυκόζη 5% 1940
Σύμφωνος
Ενέσιμο Paclitaxel 0.6 mg/ml
Ενέσιμο Pemetrexed disodium 20 mg/ml
Χλωριούχο νάτριο 0,9% 1953
Σύμφωνος
Ενέσιμο Paclitaxel 1.2 mg/ml
Ενέσιμο Pentostatin 0.4 mg/ml
Γλυκόζη 5% 248
Σύμφωνος
Ενέσιμο Paclitaxel 1.2 mg/ml
Ενέσιμο Pethidine hydrochloride 4 mg/ml
Γλυκόζη 5% 248
Σύμφωνος
Ενέσιμο Paclitaxel 1.2 mg/ml
Ενέσιμο Potassium chloride 100 mEq/l
Γλυκόζη 5% 248
Σύμφωνος
Ενέσιμο Paclitaxel 1.2 mg/ml
Ενέσιμο Prochlorperazine edysilate 0.5 mg/ml
Γλυκόζη 5% 85
Σύμφωνος
Ενέσιμο Paclitaxel 1.2 mg/ml
Ενέσιμο Propofol 10 mg/ml
Ουδέν 300
Σύμφωνος
Ενέσιμο Paclitaxel 0.3 & 1.2 mg/ml
Ενέσιμο Ranitidine hydrochloride 0.5 & 2 mg/ml
Γλυκόζη 5% 47
Σύμφωνος
Ενέσιμο Paclitaxel 1.2 mg/ml
Ενέσιμο Ranitidine hydrochloride 2 mg/ml
Γλυκόζη 5% 85
Σύμφωνος
Ενέσιμο Paclitaxel 1.2 mg/ml
Ενέσιμο Sodium bicarbonate 84 mg/ml
Γλυκόζη 5% 248
Σύμφωνος
Ενέσιμο Paclitaxel 0.6 mg/ml
Ενέσιμο Thiotepa 1 mg/ml
Γλυκόζη 5% 249
Σύμφωνος
Ενέσιμο Paclitaxel 0.54 mg/ml
Ενέσιμο Topotecan 0.056 mg/ml
Χλωριούχο νάτριο 0,9% 1026
Σύμφωνος
Ενέσιμο Paclitaxel 0.54 mg/ml
Ενέσιμο Topotecan 0.056 mg/ml
Γλυκόζη 5% 1026
Σύμφωνος
Ενέσιμο Paclitaxel 1.2 mg/ml
Ενέσιμο Vancomycin hydrochloride 10 mg/ml
Γλυκόζη 5% 85
Σύμφωνος
Ενέσιμο Paclitaxel 1.2 mg/ml
Ενέσιμο Vinblastine sulfate 0.12 mg/ml
Γλυκόζη 5% 248
Σύμφωνος
Ενέσιμο Paclitaxel 1.2 mg/ml
Ενέσιμο Vincristine sulfate 0.05 mg/ml
Γλυκόζη 5% 248
Σύμφωνος
Ενέσιμο Paclitaxel 1.2 mg/ml
Ενέσιμο Zidovudine 4 mg/ml
Γλυκόζη 5% 248

  Mentions Légales