Poslední aktualizace :
18/03/2026
vėžio narkotikų   Paclitaxel  
Įpurškimas
Tirpalų stabilumas Mišinių stabilumas Stabilumą lemiantys veiksniai Suderinamumas Leidimo būdai Bibliografija pdf
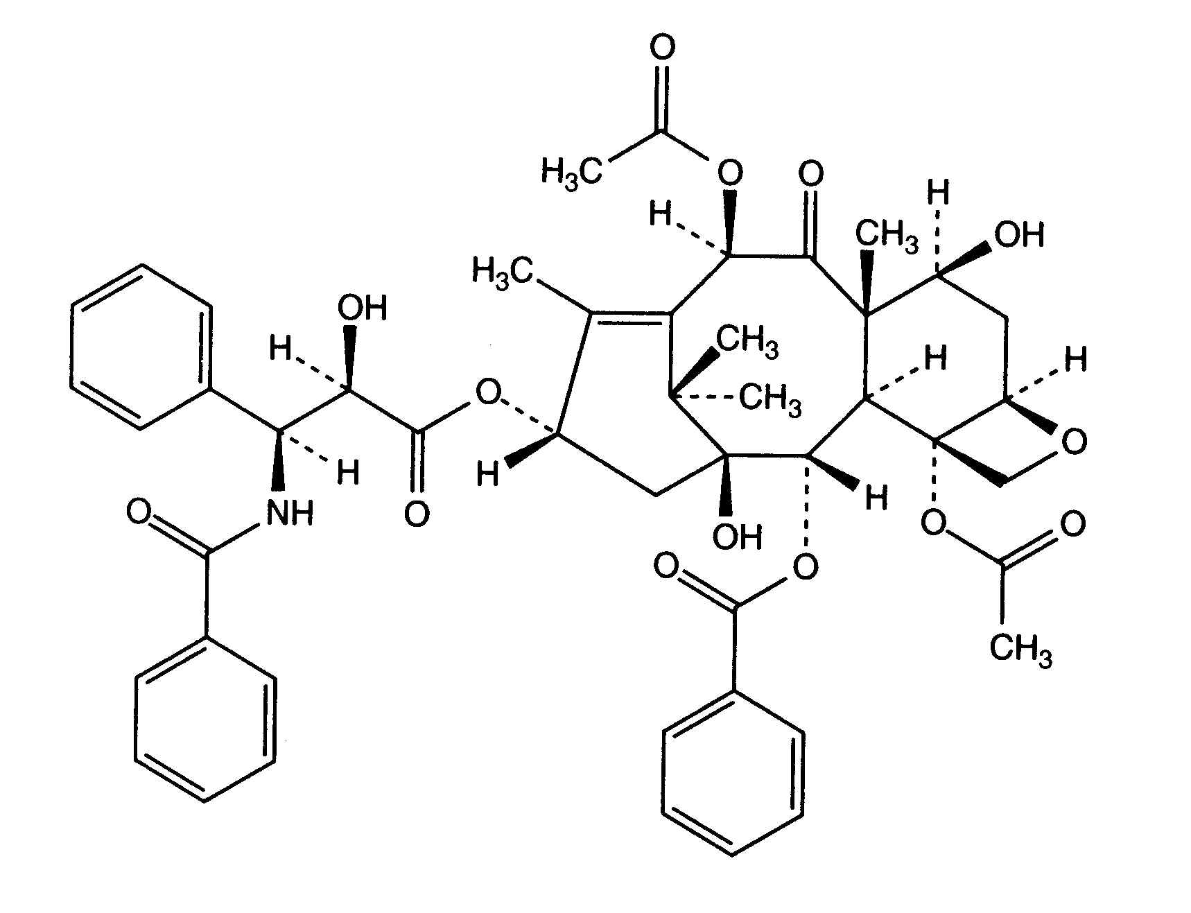
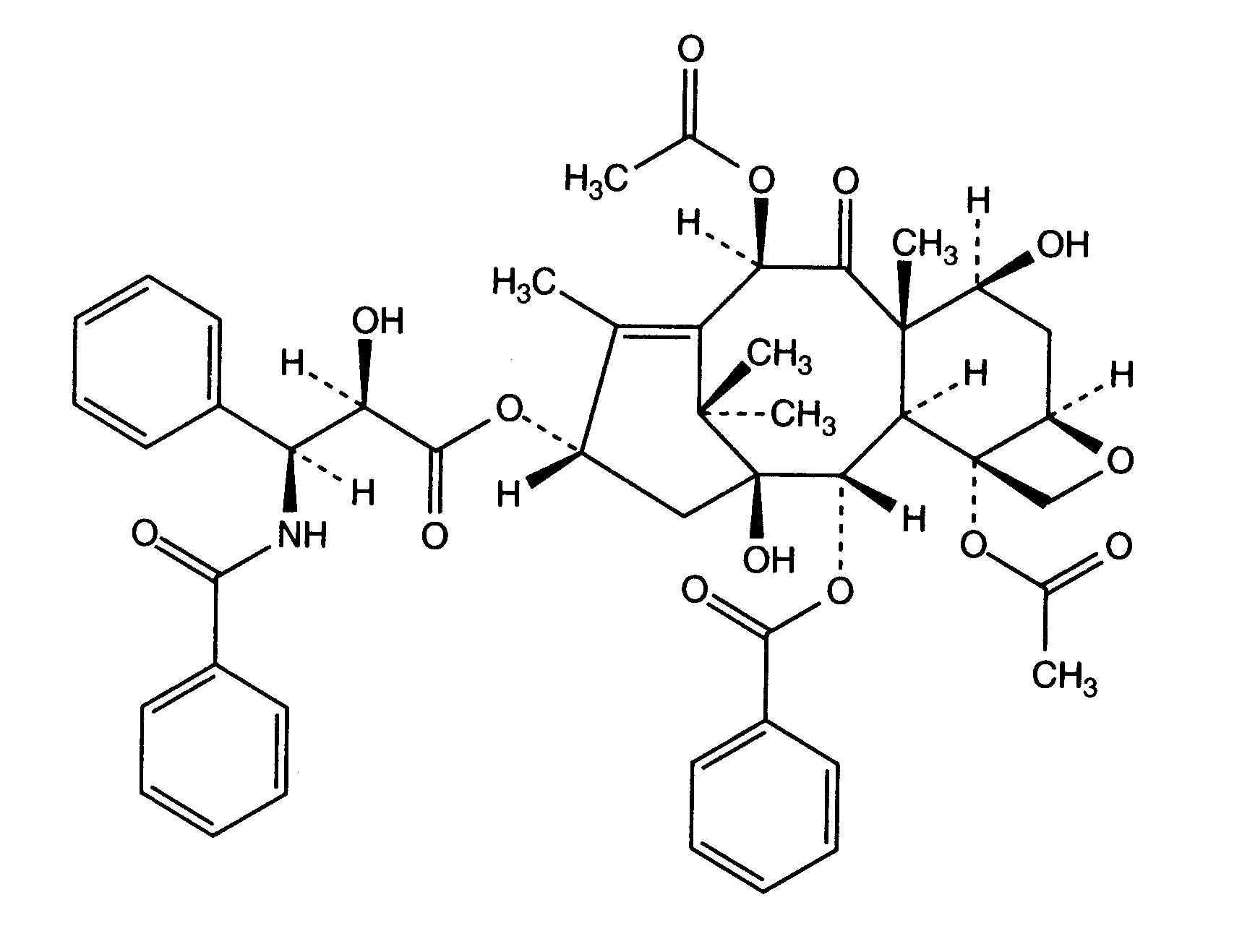
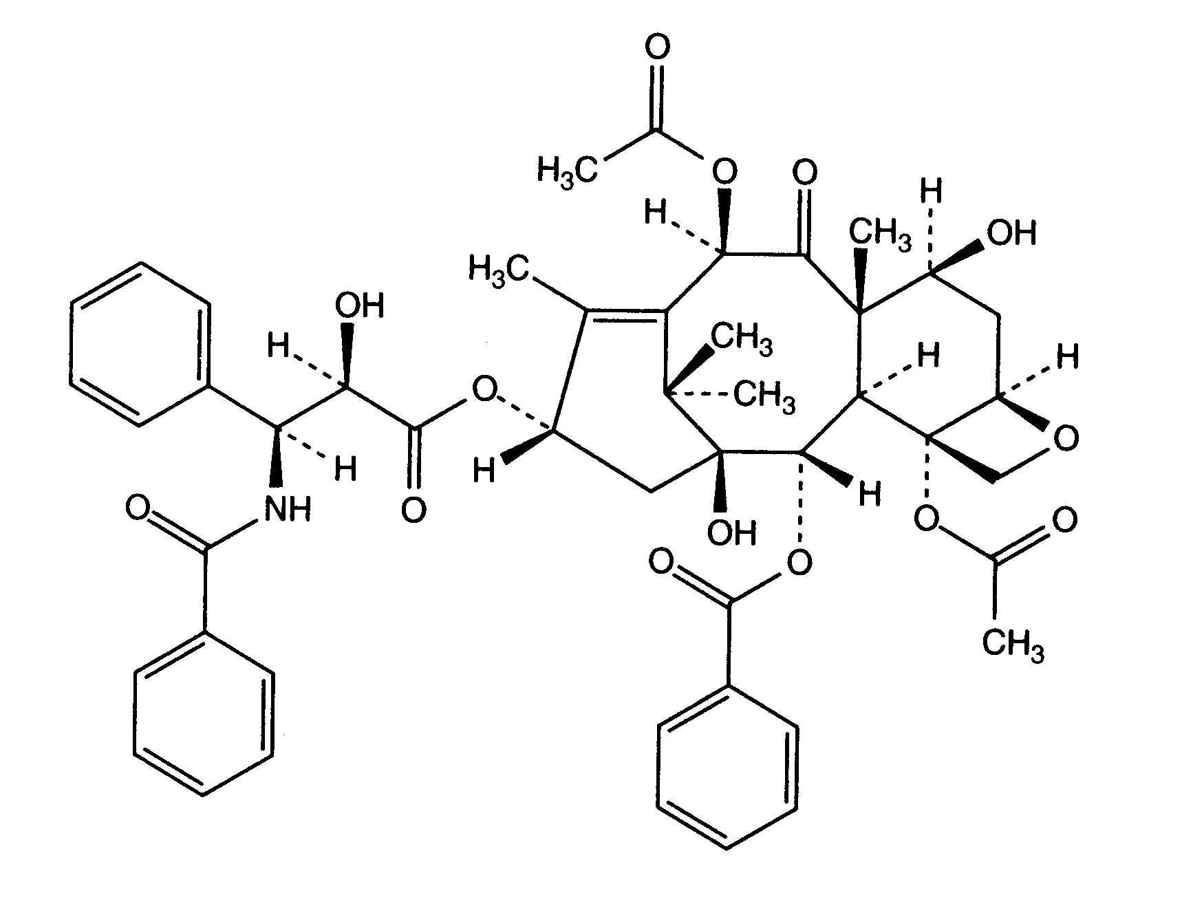
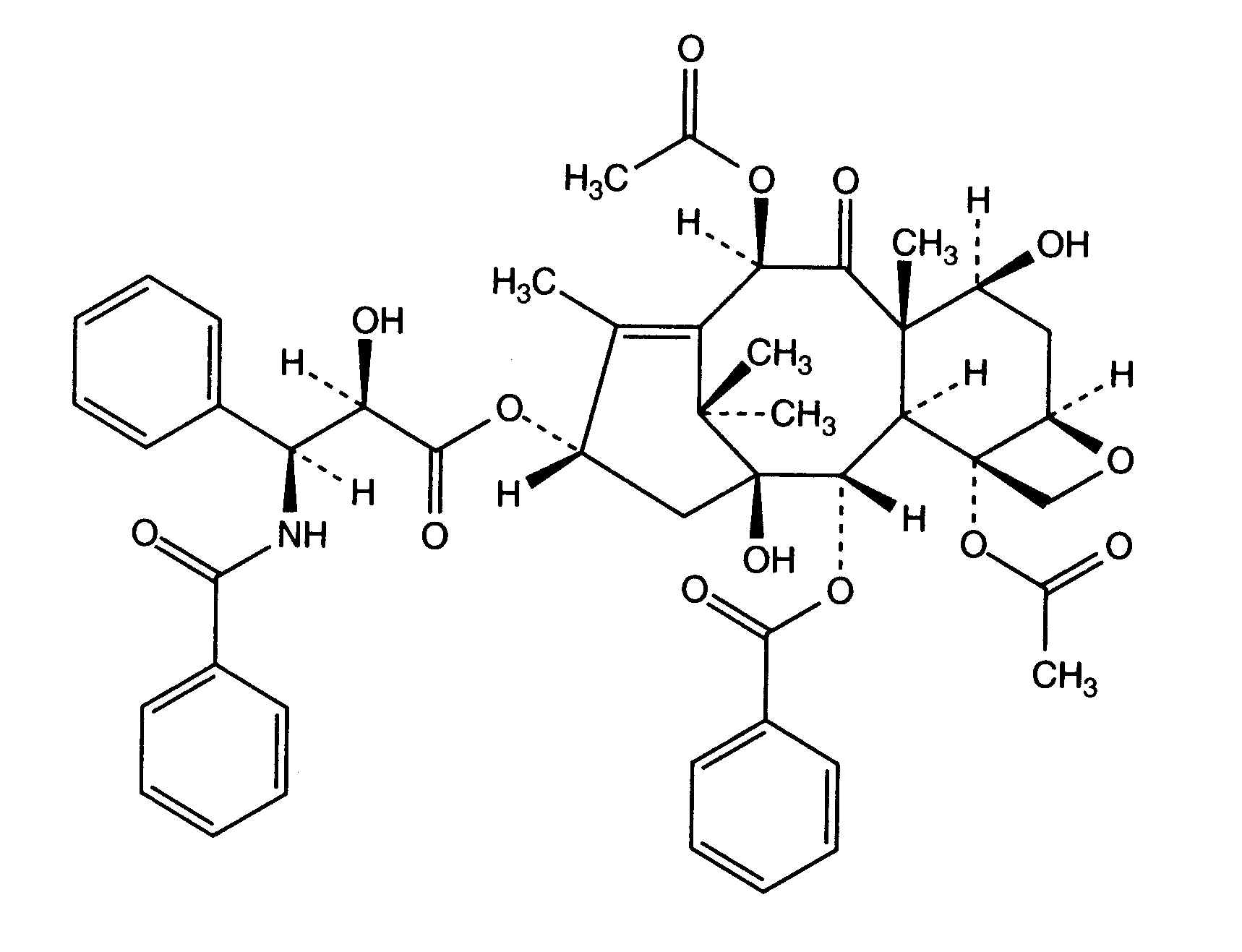
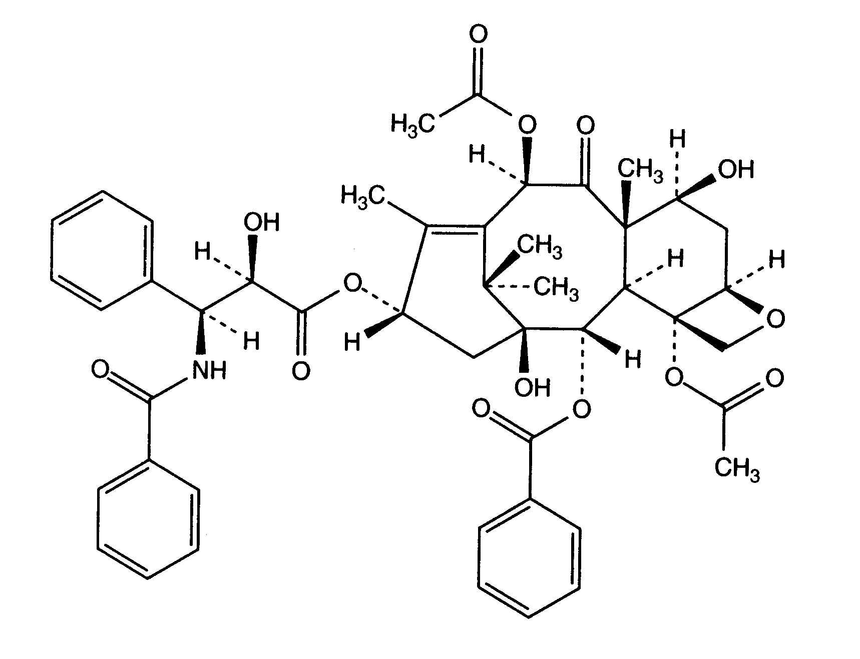
   Cheminė sandara  

Prekinis pavadinimas   Prekinis pavadinimas     

Trade names are indicative and excipients composition can be different depending on the country and manufacturers

Aclipak Malaizija
Acoexcel Meksikas
Acupaxil Marokas
Anzatax Egiptas, Iranas, Jungtiniai Arabų Emyratai, Malaizija, Marokas, Naujojoje Zelandijoje, Peru, Saudo Arabija, Tunisas, Turkija
Aritaxel Vokietija
Cantaxel Indija
Clitaxel Argentina, Venesuela
Dalys Argentina
Ebetaxel Austrija, Iranas, Marokas, Saudo Arabija, Tunisas, Turkija
Genexol Egiptas, Indija, Iranas
Onxol Jungtinės Amerikos Valstijos
Paclinova Argentina
Paclitaxin Brazilija, Liuksemburgas, Malaizija, Slovėnija
Parexel Brazilija, Ekvadoras, Kolumbija, Venesuela
Paxene Airija, Danija, Graikija, Ispanija, Lenkija, Olandija
Poltaxel Lenkija
Ribotax Vokietija
Taxol Austrija, Brazilija, Danija, Egiptas, Graikija, Iranas, Italija, Japonija, Jungtiniai Arabų Emyratai, Kolumbija, Lenkija, Malaizija, Marokas, Naujojoje Zelandijoje, Olandija, Peru, Portugalija, Slovėnija, Švedija, Šveicarija, Turkija, Venesuela
Taxomedac Vokietija
Vitax Brazilija, Peru, Turkija
Suderinamumas   Įpurškimas   Suderinamumas : Paclitaxel              
explication_incompatibilite_molecules
Molekulė Tirpiklis Nuorodos
Suderinamas
Įpurškimas Paclitaxel 1.2 mg/ml
Įpurškimas Aciclovir sodium 7 mg/ml
Gliukozė 5% 248
Suderinamas
Įpurškimas Paclitaxel 1.2 mg/ml
Įpurškimas Amikacin sulfate 5 mg/ml
Gliukozė 5% 248
Suderinamas
Įpurškimas Paclitaxel 1.2 mg/ml
Įpurškimas Aminophylline 2.5 mg/ml
Gliukozė 5% 248
Tiesioginis drumstumas Nesuderinamas
Įpurškimas Paclitaxel 1.2 mg/ml
Įpurškimas Amphotericin B 0.6 mg/ml
Gliukozė 5% 248
Drumstumo praradimas Nesuderinamas
Įpurškimas Paclitaxel 0.6 mg/ml
Įpurškimas Amphotericin B cholesteryl sulfate complex 0.83 mg/ml
Gliukozė 5% 921
Suderinamas
Įpurškimas Paclitaxel 1.2 mg/ml
Įpurškimas Ampicillin sodium - sulbactam sodium 20/10 mg/ml
Gliukozė 5% 248
Suderinamas
Įpurškimas Paclitaxel 0.6 mg/ml
Įpurškimas Anidulafungin 0.5 mg/ml
Gliukozė 5% 1982
Suderinamas
Įpurškimas Paclitaxel 1.2 mg/ml
Įpurškimas Bleomycin sulfate 1 mg/ml
Gliukozė 5% 248
Suderinamas
Įpurškimas Paclitaxel 1.2 mg/ml
Įpurškimas Butorphanol tartrate 0.04 mg/ml
Gliukozė 5% 248
Suderinamas
Įpurškimas Paclitaxel 1.2 mg/ml
Įpurškimas Calcium chloride 20 mg/ml
Gliukozė 5% 248
Suderinamas
Įpurškimas Paclitaxel 1.2 mg/ml
Įpurškimas Carboplatin 5 mg/ml
Gliukozė 5% 85
Suderinamas
Įpurškimas Paclitaxel 0,3 & 1,2 mg/ml
Įpurškimas Carboplatin 2 mg/ml
Natrio chloridas 0,9% 872
Suderinamas
Įpurškimas Paclitaxel 0,3 & 1,2 mg/ml
Įpurškimas Carboplatin 2 mg/ml
Gliukozė 5% 872
Suderinamas
Įpurškimas Paclitaxel 1.2 mg/ml
Įpurškimas Ceforanide 20 mg/ml
Gliukozė 5% 248
Suderinamas
Įpurškimas Paclitaxel 1.2 mg/ml
Įpurškimas Ceftazidime 40 mg/ml
Gliukozė 5% 248
Suderinamas
Įpurškimas Paclitaxel 1.2 mg/ml
Įpurškimas Ceftriaxone disodium 20 mg/ml
Gliukozė 5% 248
Drumstumo praradimas Nesuderinamas
Įpurškimas Paclitaxel 1.2 mg/ml
Įpurškimas Chlorpromazine hydrochloride 2 mg/ml
Gliukozė 5% 248
Suderinamas
Įpurškimas Paclitaxel
Gliukozė 5% 1956
Suderinamas
Įpurškimas Paclitaxel 0,3 & 1,2 mg/ml
Įpurškimas Cisplatin 0,2 mg/ml
Natrio chloridas 0,9% 872
Suderinamas
Įpurškimas Paclitaxel 1.2 mg/ml
Parenteriniu būdu (su lipidų) 1415
Suderinamas
Įpurškimas Paclitaxel 1.2 mg/ml
Parenterinis maitinimas (lipidų nemokamai) 301
Suderinamas
Įpurškimas Paclitaxel 1.2 mg/ml
Įpurškimas Cimetidine hydrochloride 12 mg/ml
Gliukozė 5% 85
Suderinamas
Įpurškimas Paclitaxel 1.2 mg/ml
Įpurškimas Cisplatin 1 mg/ml
Gliukozė 5% 85
Cheminis nestabilumas Nesuderinamas
Įpurškimas Paclitaxel
Įpurškimas Cisplatin
3578
Suderinamas
Įpurškimas Paclitaxel 0.6 mg/ml
Įpurškimas Cladribine 0.5 mg/ml
NaCl 0,9% + antibakterinis 1496
Suderinamas
Įpurškimas Paclitaxel 0.6 mg/ml
Įpurškimas Cladribine 0.015 mg/ml
Natrio chloridas 0,9% 1496
Suderinamas
Įpurškimas Paclitaxel 1.2 mg/ml
Įpurškimas Cyclophosphamide 10 mg/ml
Gliukozė 5% 85
Suderinamas
Įpurškimas Paclitaxel 1.2 mg/ml
Įpurškimas Cytarabine 50 mg/ml
Gliukozė 5% 85
Suderinamas
Įpurškimas Paclitaxel 1.2 mg/ml
Įpurškimas Dacarbazine 4 mg/ml
Gliukozė 5% 248
Suderinamas
Įpurškimas Paclitaxel 1.2 mg/ml
Įpurškimas Dexamethasone sodium phosphate 1 mg/ml
Gliukozė 5% 85
Suderinamas
Įpurškimas Paclitaxel 1.2 mg/ml
Įpurškimas Diphenhydramine hydrochloride 2 mg/ml
Gliukozė 5% 85
Suderinamas
Įpurškimas Paclitaxel 0,6 mg/ml
Įpurškimas Doripenem 5 mg/ml
Natrio chloridas 0,9% 2262
Suderinamas
Įpurškimas Paclitaxel 0,6 mg/ml
Įpurškimas Doripenem 5 mg/ml
Gliukozė 5% 2262
Suderinamas
Įpurškimas Paclitaxel 0,3 & 1,2 mg/ml
Įpurškimas Doxorubicin hydrochloride 0,2 mg/ml
Gliukozė 5% 1286
Suderinamas
Įpurškimas Paclitaxel 1.2 mg/ml
Įpurškimas Doxorubicin hydrochloride 2 mg/ml
Gliukozė 5% 85
Suderinamas
Įpurškimas Paclitaxel 0,3 & 1,2 mg/ml
Įpurškimas Doxorubicin hydrochloride 0,2 mg/ml
Natrio chloridas 0,9% 1286
Drumstumo praradimas Nesuderinamas
Įpurškimas Paclitaxel 0.6 mg/ml
Įpurškimas Doxorubicin hydrochloride liposome peg 0.4 mg/ml
Gliukozė 5% 251
Suderinamas
Įpurškimas Paclitaxel
Natrio chloridas 0,9% 1956
Suderinamas
Įpurškimas Paclitaxel 1.2 mg/ml
Įpurškimas Droperidol 0.4 mg/ml
Gliukozė 5% 248
Suderinamas
Įpurškimas Paclitaxel 1.2 mg/ml
Įpurškimas Etoposide 0.4 mg/ml
Gliukozė 5% 85
Suderinamas
Įpurškimas Paclitaxel 1.2 mg/ml
Įpurškimas Etoposide phosphate 5 mg/ml
Gliukozė 5% 1410
Suderinamas
Įpurškimas Paclitaxel 1.2 mg/ml
Įpurškimas Famotidine 2 mg/ml
Gliukozė 5% 248
Suderinamas
Įpurškimas Paclitaxel 1.2 mg/ml
Įpurškimas Floxuridine 3 mg/ml
Gliukozė 5% 248
Suderinamas
Įpurškimas Paclitaxel 0,3 & 1,2 mg/ml
Įpurškimas Fluconazole 2 mg/ml
Gliukozė 5% 151
Suderinamas
Įpurškimas Paclitaxel 1.2 mg/ml
Įpurškimas Fluconazole 2 mg/ml
Gliukozė 5% 248
Suderinamas
Įpurškimas Paclitaxel 1.2 mg/ml
Įpurškimas Fluorouracil 16 mg/ml
Gliukozė 5% 85
Suderinamas
Įpurškimas Paclitaxel 1.2 mg/ml
Įpurškimas Furosemide 3 mg/ml
Gliukozė 5% 248
Suderinamas
Įpurškimas Paclitaxel 1.2 mg/ml
Įpurškimas Ganciclovir sodium 20 mg/ml
Gliukozė 5% 248
Suderinamas
Įpurškimas Paclitaxel 1.2 mg/ml
Įpurškimas Gemcitabine hydrochloride 10 mg/ml
Natrio chloridas 0,9% 1423
Suderinamas
Įpurškimas Paclitaxel 1.2 mg/ml
Įpurškimas Gentamicin sulfate 5 mg/ml
Gliukozė 5% 248
Suderinamas
Įpurškimas Paclitaxel 1.2 mg/ml
Įpurškimas Granisetron hydrochloride 0.05 mg/ml
Gliukozė 5% 182
Suderinamas
Įpurškimas Paclitaxel 0.29 mg/ml
Įpurškimas Granisetron hydrochloride 1 mg/ml
Natrio chloridas 0,9% 57
Suderinamas
Įpurškimas Paclitaxel 1.2 mg/ml
Įpurškimas Haloperidol lactate 0.2 mg/ml
Gliukozė 5% 85
Suderinamas
Įpurškimas Paclitaxel 1.2 mg/ml
Įpurškimas Heparin sodium 100 UI/ml
Gliukozė 5% 248
Suderinamas
Įpurškimas Paclitaxel 1.2 mg/ml
Įpurškimas Hydrocortisone sodium succinate 1 mg/ml
Gliukozė 5% 248
Suderinamas
Įpurškimas Paclitaxel 1.2 mg/ml
Įpurškimas Hydromorphone hydrochloride 0.5 mg/ml
Gliukozė 5% 248
Drumstumo praradimas Nesuderinamas
Įpurškimas Paclitaxel 1.2 mg/ml
Įpurškimas Hydroxyzine dihydrochloride 4 mg/ml
Gliukozė 5% 248
Suderinamas
Įpurškimas Paclitaxel 1.2 mg/ml
Įpurškimas Ifosfamide 25 mg/ml
Gliukozė 5% 248
Suderinamas
Įpurškimas Paclitaxel 0.6 mg/ml
Įpurškimas Lansoprazole 0.55 mg/ml
Natrio chloridas 0,9% 1625
Suderinamas
Įpurškimas Paclitaxel 0.6 mg/ml
Įpurškimas Linezolid 2 mg/ml
Nėra 1925
Suderinamas
Įpurškimas Paclitaxel 1.2 mg/ml
Įpurškimas Lorazepam 0.1 mg/ml
Gliukozė 5% 85
Suderinamas
Įpurškimas Paclitaxel 1.2 mg/ml
Įpurškimas Magnesium sulfate 100 mg/ml
Gliukozė 5% 248
Suderinamas
Įpurškimas Paclitaxel 1.2 mg/ml
Įpurškimas Mannitol 150 mg/ml
Gliukozė 5% 248
Suderinamas
Įpurškimas Paclitaxel 1.2 mg/ml
Įpurškimas Mesna 10 mg/ml
Gliukozė 5% 248
Suderinamas
Įpurškimas Paclitaxel 1.2 mg/ml
Įpurškimas Methotrexate sodium 15 mg/ml
Gliukozė 5% 85
Drumstumo praradimas Nesuderinamas
Įpurškimas Paclitaxel 1.2 mg/ml
Įpurškimas Methylprednisolone sodium succinate 5 mg/ml
Gliukozė 5% 248
Suderinamas
Įpurškimas Paclitaxel 1.2 mg/ml
Įpurškimas Metoclopramide hydrochloride 5 mg/ml
Gliukozė 5% 85
Drumstumo praradimas Nesuderinamas
Įpurškimas Paclitaxel 1.2 mg/ml
Įpurškimas Mitoxantrone dihydrochloride 0.5 mg/ml
Gliukozė 5% 248
Suderinamas
Įpurškimas Paclitaxel 1.2 mg/ml
Įpurškimas Morphine sulfate 1 mg/ml
Gliukozė 5% 248
Suderinamas
Įpurškimas Paclitaxel 1.2 mg/ml
Įpurškimas Nalbuphine hydrochloride 10 mg/ml
Gliukozė 5% 248
Suderinamas
Įpurškimas Paclitaxel 0.3 & 1.2 mg/ml
Įpurškimas Ondansetron hydrochloride 0.03 & 0.3 mg/ml
Gliukozė 5% 47
Suderinamas
Įpurškimas Paclitaxel 1.2 mg/ml
Įpurškimas Ondansetron hydrochloride 0.5 mg/ml
Gliukozė 5% 248
Suderinamas
Įpurškimas Paclitaxel 0,6 mg/ml
Įpurškimas Oxaliplatin 0,5 mg/ml
Gliukozė 5% 1662
Suderinamas
Įpurškimas Paclitaxel 1,2 mg/ml
Įpurškimas Palonosetron hydrochloride 50 µg/ml
Gliukozė 5% 1940
Suderinamas
Įpurškimas Paclitaxel 0.6 mg/ml
Įpurškimas Pemetrexed disodium 20 mg/ml
Natrio chloridas 0,9% 1953
Suderinamas
Įpurškimas Paclitaxel 1.2 mg/ml
Įpurškimas Pentostatin 0.4 mg/ml
Gliukozė 5% 248
Suderinamas
Įpurškimas Paclitaxel 1.2 mg/ml
Įpurškimas Pethidine hydrochloride 4 mg/ml
Gliukozė 5% 248
Suderinamas
Įpurškimas Paclitaxel 1.2 mg/ml
Įpurškimas Potassium chloride 100 mEq/l
Gliukozė 5% 248
Suderinamas
Įpurškimas Paclitaxel 1.2 mg/ml
Įpurškimas Prochlorperazine edysilate 0.5 mg/ml
Gliukozė 5% 85
Suderinamas
Įpurškimas Paclitaxel 1.2 mg/ml
Įpurškimas Propofol 10 mg/ml
Nėra 300
Suderinamas
Įpurškimas Paclitaxel 0.3 & 1.2 mg/ml
Įpurškimas Ranitidine hydrochloride 0.5 & 2 mg/ml
Gliukozė 5% 47
Suderinamas
Įpurškimas Paclitaxel 1.2 mg/ml
Įpurškimas Ranitidine hydrochloride 2 mg/ml
Gliukozė 5% 85
Suderinamas
Įpurškimas Paclitaxel 1.2 mg/ml
Įpurškimas Sodium bicarbonate 84 mg/ml
Gliukozė 5% 248
Suderinamas
Įpurškimas Paclitaxel 0.6 mg/ml
Įpurškimas Thiotepa 1 mg/ml
Gliukozė 5% 249
Suderinamas
Įpurškimas Paclitaxel 0.54 mg/ml
Įpurškimas Topotecan 0.056 mg/ml
Natrio chloridas 0,9% 1026
Suderinamas
Įpurškimas Paclitaxel 0.54 mg/ml
Įpurškimas Topotecan 0.056 mg/ml
Gliukozė 5% 1026
Suderinamas
Įpurškimas Paclitaxel 1.2 mg/ml
Įpurškimas Vancomycin hydrochloride 10 mg/ml
Gliukozė 5% 85
Suderinamas
Įpurškimas Paclitaxel 1.2 mg/ml
Įpurškimas Vinblastine sulfate 0.12 mg/ml
Gliukozė 5% 248
Suderinamas
Įpurškimas Paclitaxel 1.2 mg/ml
Įpurškimas Vincristine sulfate 0.05 mg/ml
Gliukozė 5% 248
Suderinamas
Įpurškimas Paclitaxel 1.2 mg/ml
Įpurškimas Zidovudine 4 mg/ml
Gliukozė 5% 248

  Mentions Légales