Última actualização :
18/03/2026
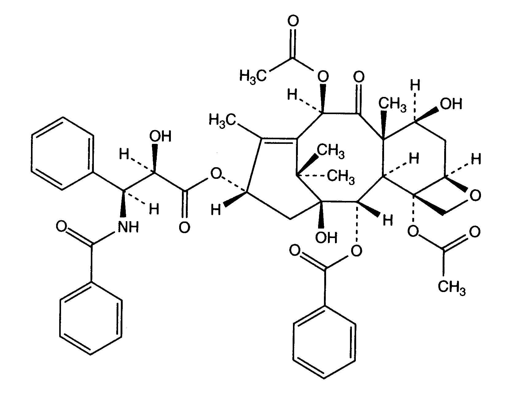
droga contra o câncer   Paclitaxel  
injetável
Estabilidade em soluções simples Estabilidade em misturas Factores que afectam a sua estabilidade Compatibilidade Método de administração Bibliografía pdf
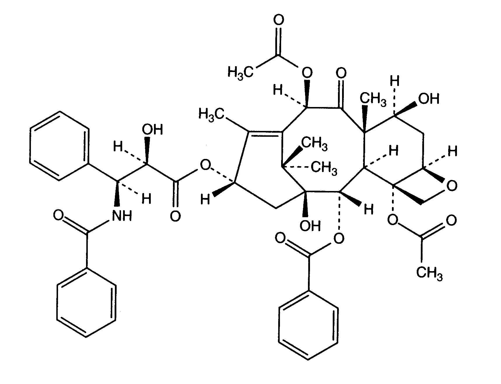
   estrutura química  

Nomes comerciais nos diversos países   Nomes comerciais nos diversos países     

OS NOMES COMERCIAIS SÃO INDICATIVOS E OS EXCIPIENTES DA FORMULAÇÃO PODEM SER DIFERENTES CONFORME O PAÍS E FABRICANTE.

Aclipak Malásia
Acoexcel México
Acupaxil Marrocos
Anzatax Arábia Saudita, Egipto, Emirados Árabes Unidos, Irã, Malásia, Marrocos, nova Zelândia, Peru, Tunísia, Turquia
Aritaxel Alemanha
Cantaxel Índia
Clitaxel Argentina, Venezuela
Dalys Argentina
Ebetaxel Arábia Saudita, Austria, Irã, Marrocos, Tunísia, Turquia
Genexol Egipto, Índia, Irã
Onxol Estados Unidos de América
Paclinova Argentina
Paclitaxin Brasil, Eslovenia, Luxemburgo, Malásia
Parexel Brasil, Colômbia, Equator, Venezuela
Paxene Dinamarca, Espanha, Grècia, Irlanda, Países Baixos, Polonia
Poltaxel Polonia
Ribotax Alemanha
Taxol Austria, Brasil, Colômbia, Dinamarca, Egipto, Emirados Árabes Unidos, Eslovenia, Grècia, Irã, Itália, Japón, Malásia, Marrocos, nova Zelândia, Países Baixos, Peru, Polonia, Portugal, Suècia, Suicia, Turquia, Venezuela
Taxomedac Alemanha
Vitax Brasil, Peru, Turquia
Compatibilidade   injetável   Compatibilidade : Paclitaxel              
Este ecrã indica as compatibilidades ou incompatibilidades com, neste caso, o tipo de incompatibilidade (precipitação, mudança de cor, modificação de uma emulsão, etc.). As compatibilidades mostradas aqui são principalmente físicas, com a estabilidade química de cada molécula raramente sendo avaliada. A avaliação dessas misturas foi estudada para considerar a possibilidade de administração do local Y ao paciente. Estes dados não podem ser usados para fazer misturas antecipadamente em sacos ou seringas. Este tipo de informação está disponível na tela “Estabilidade na mistura».
molécula Solvente Bibliografia
Compatível
injetável Paclitaxel 1.2 mg/ml
injetável Aciclovir sodium 7 mg/ml
Glucose 5% 248
Compatível
injetável Paclitaxel 1.2 mg/ml
injetável Amikacin sulfate 5 mg/ml
Glucose 5% 248
Compatível
injetável Paclitaxel 1.2 mg/ml
injetável Aminophylline 2.5 mg/ml
Glucose 5% 248
Turvação imediata Incompatível
injetável Paclitaxel 1.2 mg/ml
injetável Amphotericin B 0.6 mg/ml
Glucose 5% 248
Perda de turbidez Incompatível
injetável Paclitaxel 0.6 mg/ml
injetável Amphotericin B cholesteryl sulfate complex 0.83 mg/ml
Glucose 5% 921
Compatível
injetável Paclitaxel 1.2 mg/ml
injetável Ampicillin sodium - sulbactam sodium 20/10 mg/ml
Glucose 5% 248
Compatível
injetável Paclitaxel 0.6 mg/ml
injetável Anidulafungin 0.5 mg/ml
Glucose 5% 1982
Compatível
injetável Paclitaxel 1.2 mg/ml
injetável Bleomycin sulfate 1 mg/ml
Glucose 5% 248
Compatível
injetável Paclitaxel 1.2 mg/ml
injetável Butorphanol tartrate 0.04 mg/ml
Glucose 5% 248
Compatível
injetável Paclitaxel 1.2 mg/ml
injetável Calcium chloride 20 mg/ml
Glucose 5% 248
Compatível
injetável Paclitaxel 1.2 mg/ml
injetável Carboplatin 5 mg/ml
Glucose 5% 85
Compatível
injetável Paclitaxel 0,3 & 1,2 mg/ml
injetável Carboplatin 2 mg/ml
cloreto de sódio 0,9% 872
Compatível
injetável Paclitaxel 0,3 & 1,2 mg/ml
injetável Carboplatin 2 mg/ml
Glucose 5% 872
Compatível
injetável Paclitaxel 1.2 mg/ml
injetável Ceforanide 20 mg/ml
Glucose 5% 248
Compatível
injetável Paclitaxel 1.2 mg/ml
injetável Ceftazidime 40 mg/ml
Glucose 5% 248
Compatível
injetável Paclitaxel 1.2 mg/ml
injetável Ceftriaxone disodium 20 mg/ml
Glucose 5% 248
Perda de turbidez Incompatível
injetável Paclitaxel 1.2 mg/ml
injetável Chlorpromazine hydrochloride 2 mg/ml
Glucose 5% 248
Compatível
injetável Paclitaxel
Glucose 5% 1956
Compatível
injetável Paclitaxel 0,3 & 1,2 mg/ml
injetável Cisplatin 0,2 mg/ml
cloreto de sódio 0,9% 872
Compatível
injetável Paclitaxel 1.2 mg/ml
Nutrição parenteral (com lípidos) 1415
Compatível
injetável Paclitaxel 1.2 mg/ml
Nutrição parenterica (mistura binária) 301
Compatível
injetável Paclitaxel 1.2 mg/ml
injetável Cimetidine hydrochloride 12 mg/ml
Glucose 5% 85
Compatível
injetável Paclitaxel 1.2 mg/ml
injetável Cisplatin 1 mg/ml
Glucose 5% 85
Instabilidade química Incompatível
injetável Paclitaxel
injetável Cisplatin
3578
Compatível
injetável Paclitaxel 0.6 mg/ml
injetável Cladribine 0.5 mg/ml
NaCl 0,9% + bacteriostático 1496
Compatível
injetável Paclitaxel 0.6 mg/ml
injetável Cladribine 0.015 mg/ml
cloreto de sódio 0,9% 1496
Compatível
injetável Paclitaxel 1.2 mg/ml
injetável Cyclophosphamide 10 mg/ml
Glucose 5% 85
Compatível
injetável Paclitaxel 1.2 mg/ml
injetável Cytarabine 50 mg/ml
Glucose 5% 85
Compatível
injetável Paclitaxel 1.2 mg/ml
injetável Dacarbazine 4 mg/ml
Glucose 5% 248
Compatível
injetável Paclitaxel 1.2 mg/ml
injetável Dexamethasone sodium phosphate 1 mg/ml
Glucose 5% 85
Compatível
injetável Paclitaxel 1.2 mg/ml
injetável Diphenhydramine hydrochloride 2 mg/ml
Glucose 5% 85
Compatível
injetável Paclitaxel 0,6 mg/ml
injetável Doripenem 5 mg/ml
cloreto de sódio 0,9% 2262
Compatível
injetável Paclitaxel 0,6 mg/ml
injetável Doripenem 5 mg/ml
Glucose 5% 2262
Compatível
injetável Paclitaxel 0,3 & 1,2 mg/ml
injetável Doxorubicin hydrochloride 0,2 mg/ml
Glucose 5% 1286
Compatível
injetável Paclitaxel 1.2 mg/ml
injetável Doxorubicin hydrochloride 2 mg/ml
Glucose 5% 85
Compatível
injetável Paclitaxel 0,3 & 1,2 mg/ml
injetável Doxorubicin hydrochloride 0,2 mg/ml
cloreto de sódio 0,9% 1286
Perda de turbidez Incompatível
injetável Paclitaxel 0.6 mg/ml
injetável Doxorubicin hydrochloride liposome peg 0.4 mg/ml
Glucose 5% 251
Compatível
injetável Paclitaxel
cloreto de sódio 0,9% 1956
Compatível
injetável Paclitaxel 1.2 mg/ml
injetável Droperidol 0.4 mg/ml
Glucose 5% 248
Compatível
injetável Paclitaxel 1.2 mg/ml
injetável Etoposide 0.4 mg/ml
Glucose 5% 85
Compatível
injetável Paclitaxel 1.2 mg/ml
injetável Etoposide phosphate 5 mg/ml
Glucose 5% 1410
Compatível
injetável Paclitaxel 1.2 mg/ml
injetável Famotidine 2 mg/ml
Glucose 5% 248
Compatível
injetável Paclitaxel 1.2 mg/ml
injetável Floxuridine 3 mg/ml
Glucose 5% 248
Compatível
injetável Paclitaxel 0,3 & 1,2 mg/ml
injetável Fluconazole 2 mg/ml
Glucose 5% 151
Compatível
injetável Paclitaxel 1.2 mg/ml
injetável Fluconazole 2 mg/ml
Glucose 5% 248
Compatível
injetável Paclitaxel 1.2 mg/ml
injetável Fluorouracil 16 mg/ml
Glucose 5% 85
Compatível
injetável Paclitaxel 1.2 mg/ml
injetável Furosemide 3 mg/ml
Glucose 5% 248
Compatível
injetável Paclitaxel 1.2 mg/ml
injetável Ganciclovir sodium 20 mg/ml
Glucose 5% 248
Compatível
injetável Paclitaxel 1.2 mg/ml
injetável Gemcitabine hydrochloride 10 mg/ml
cloreto de sódio 0,9% 1423
Compatível
injetável Paclitaxel 1.2 mg/ml
injetável Gentamicin sulfate 5 mg/ml
Glucose 5% 248
Compatível
injetável Paclitaxel 1.2 mg/ml
injetável Granisetron hydrochloride 0.05 mg/ml
Glucose 5% 182
Compatível
injetável Paclitaxel 0.29 mg/ml
injetável Granisetron hydrochloride 1 mg/ml
cloreto de sódio 0,9% 57
Compatível
injetável Paclitaxel 1.2 mg/ml
injetável Haloperidol lactate 0.2 mg/ml
Glucose 5% 85
Compatível
injetável Paclitaxel 1.2 mg/ml
injetável Heparin sodium 100 UI/ml
Glucose 5% 248
Compatível
injetável Paclitaxel 1.2 mg/ml
injetável Hydrocortisone sodium succinate 1 mg/ml
Glucose 5% 248
Compatível
injetável Paclitaxel 1.2 mg/ml
injetável Hydromorphone hydrochloride 0.5 mg/ml
Glucose 5% 248
Perda de turbidez Incompatível
injetável Paclitaxel 1.2 mg/ml
injetável Hydroxyzine dihydrochloride 4 mg/ml
Glucose 5% 248
Compatível
injetável Paclitaxel 1.2 mg/ml
injetável Ifosfamide 25 mg/ml
Glucose 5% 248
Compatível
injetável Paclitaxel 0.6 mg/ml
injetável Lansoprazole 0.55 mg/ml
cloreto de sódio 0,9% 1625
Compatível
injetável Paclitaxel 0.6 mg/ml
injetável Linezolid 2 mg/ml
nenhum 1925
Compatível
injetável Paclitaxel 1.2 mg/ml
injetável Lorazepam 0.1 mg/ml
Glucose 5% 85
Compatível
injetável Paclitaxel 1.2 mg/ml
injetável Magnesium sulfate 100 mg/ml
Glucose 5% 248
Compatível
injetável Paclitaxel 1.2 mg/ml
injetável Mannitol 150 mg/ml
Glucose 5% 248
Compatível
injetável Paclitaxel 1.2 mg/ml
injetável Mesna 10 mg/ml
Glucose 5% 248
Compatível
injetável Paclitaxel 1.2 mg/ml
injetável Methotrexate sodium 15 mg/ml
Glucose 5% 85
Perda de turbidez Incompatível
injetável Paclitaxel 1.2 mg/ml
injetável Methylprednisolone sodium succinate 5 mg/ml
Glucose 5% 248
Compatível
injetável Paclitaxel 1.2 mg/ml
injetável Metoclopramide hydrochloride 5 mg/ml
Glucose 5% 85
Perda de turbidez Incompatível
injetável Paclitaxel 1.2 mg/ml
injetável Mitoxantrone dihydrochloride 0.5 mg/ml
Glucose 5% 248
Compatível
injetável Paclitaxel 1.2 mg/ml
injetável Morphine sulfate 1 mg/ml
Glucose 5% 248
Compatível
injetável Paclitaxel 1.2 mg/ml
injetável Nalbuphine hydrochloride 10 mg/ml
Glucose 5% 248
Compatível
injetável Paclitaxel 0.3 & 1.2 mg/ml
injetável Ondansetron hydrochloride 0.03 & 0.3 mg/ml
Glucose 5% 47
Compatível
injetável Paclitaxel 1.2 mg/ml
injetável Ondansetron hydrochloride 0.5 mg/ml
Glucose 5% 248
Compatível
injetável Paclitaxel 0,6 mg/ml
injetável Oxaliplatin 0,5 mg/ml
Glucose 5% 1662
Compatível
injetável Paclitaxel 1,2 mg/ml
injetável Palonosetron hydrochloride 50 µg/ml
Glucose 5% 1940
Compatível
injetável Paclitaxel 0.6 mg/ml
injetável Pemetrexed disodium 20 mg/ml
cloreto de sódio 0,9% 1953
Compatível
injetável Paclitaxel 1.2 mg/ml
injetável Pentostatin 0.4 mg/ml
Glucose 5% 248
Compatível
injetável Paclitaxel 1.2 mg/ml
injetável Pethidine hydrochloride 4 mg/ml
Glucose 5% 248
Compatível
injetável Paclitaxel 1.2 mg/ml
injetável Potassium chloride 100 mEq/l
Glucose 5% 248
Compatível
injetável Paclitaxel 1.2 mg/ml
injetável Prochlorperazine edysilate 0.5 mg/ml
Glucose 5% 85
Compatível
injetável Paclitaxel 1.2 mg/ml
injetável Propofol 10 mg/ml
nenhum 300
Compatível
injetável Paclitaxel 0.3 & 1.2 mg/ml
injetável Ranitidine hydrochloride 0.5 & 2 mg/ml
Glucose 5% 47
Compatível
injetável Paclitaxel 1.2 mg/ml
injetável Ranitidine hydrochloride 2 mg/ml
Glucose 5% 85
Compatível
injetável Paclitaxel 1.2 mg/ml
injetável Sodium bicarbonate 84 mg/ml
Glucose 5% 248
Compatível
injetável Paclitaxel 0.6 mg/ml
injetável Thiotepa 1 mg/ml
Glucose 5% 249
Compatível
injetável Paclitaxel 0.54 mg/ml
injetável Topotecan 0.056 mg/ml
cloreto de sódio 0,9% 1026
Compatível
injetável Paclitaxel 0.54 mg/ml
injetável Topotecan 0.056 mg/ml
Glucose 5% 1026
Compatível
injetável Paclitaxel 1.2 mg/ml
injetável Vancomycin hydrochloride 10 mg/ml
Glucose 5% 85
Compatível
injetável Paclitaxel 1.2 mg/ml
injetável Vinblastine sulfate 0.12 mg/ml
Glucose 5% 248
Compatível
injetável Paclitaxel 1.2 mg/ml
injetável Vincristine sulfate 0.05 mg/ml
Glucose 5% 248
Compatível
injetável Paclitaxel 1.2 mg/ml
injetável Zidovudine 4 mg/ml
Glucose 5% 248

  Mentions Légales