Dernière mise à jour :
18/03/2026
Anticancéreux   Paclitaxel  
injectable
Stabilité des solutions Stabilité en mélange Facteur influençant la stabilité Compatibilités Voie d’administration Bibliographie pdf
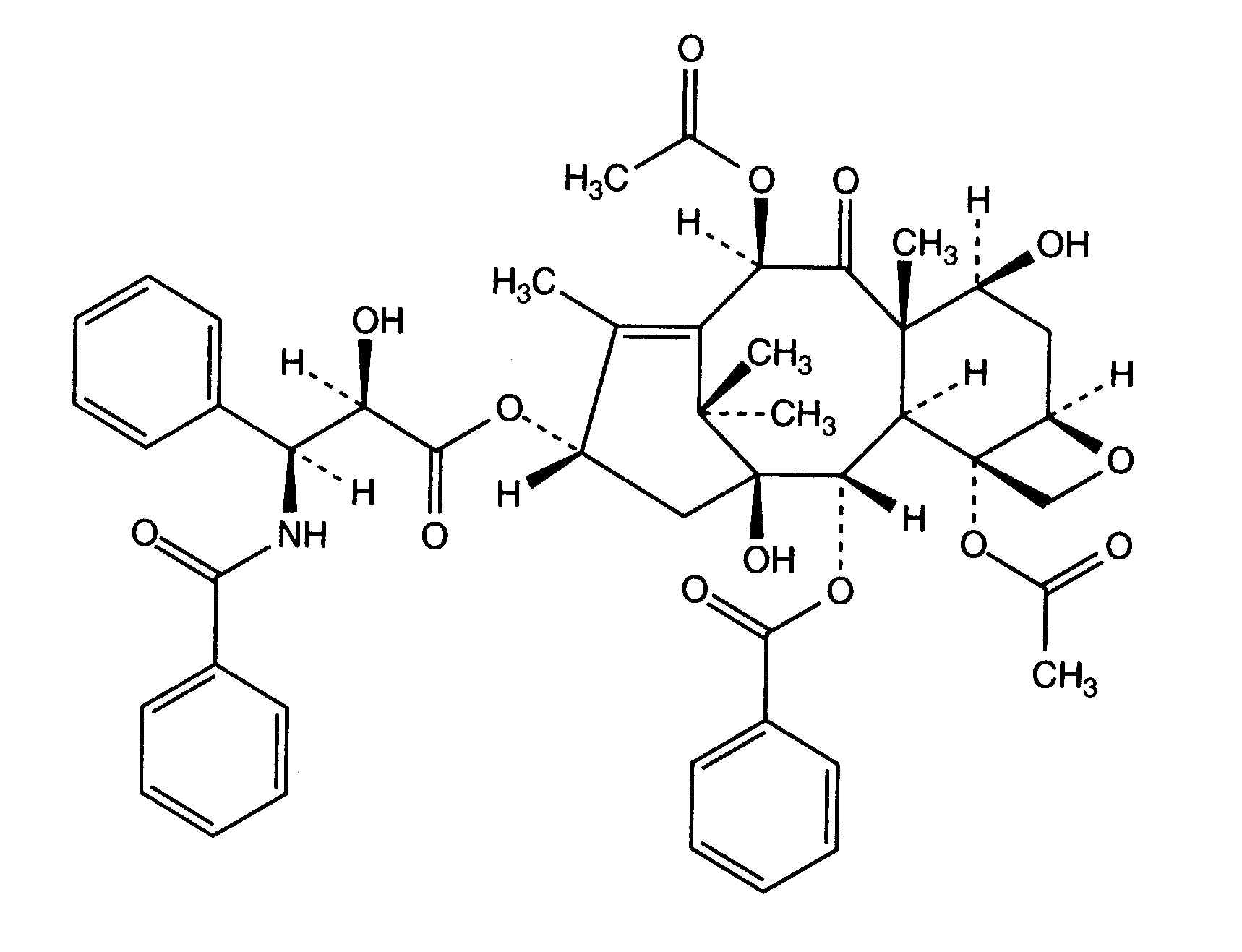
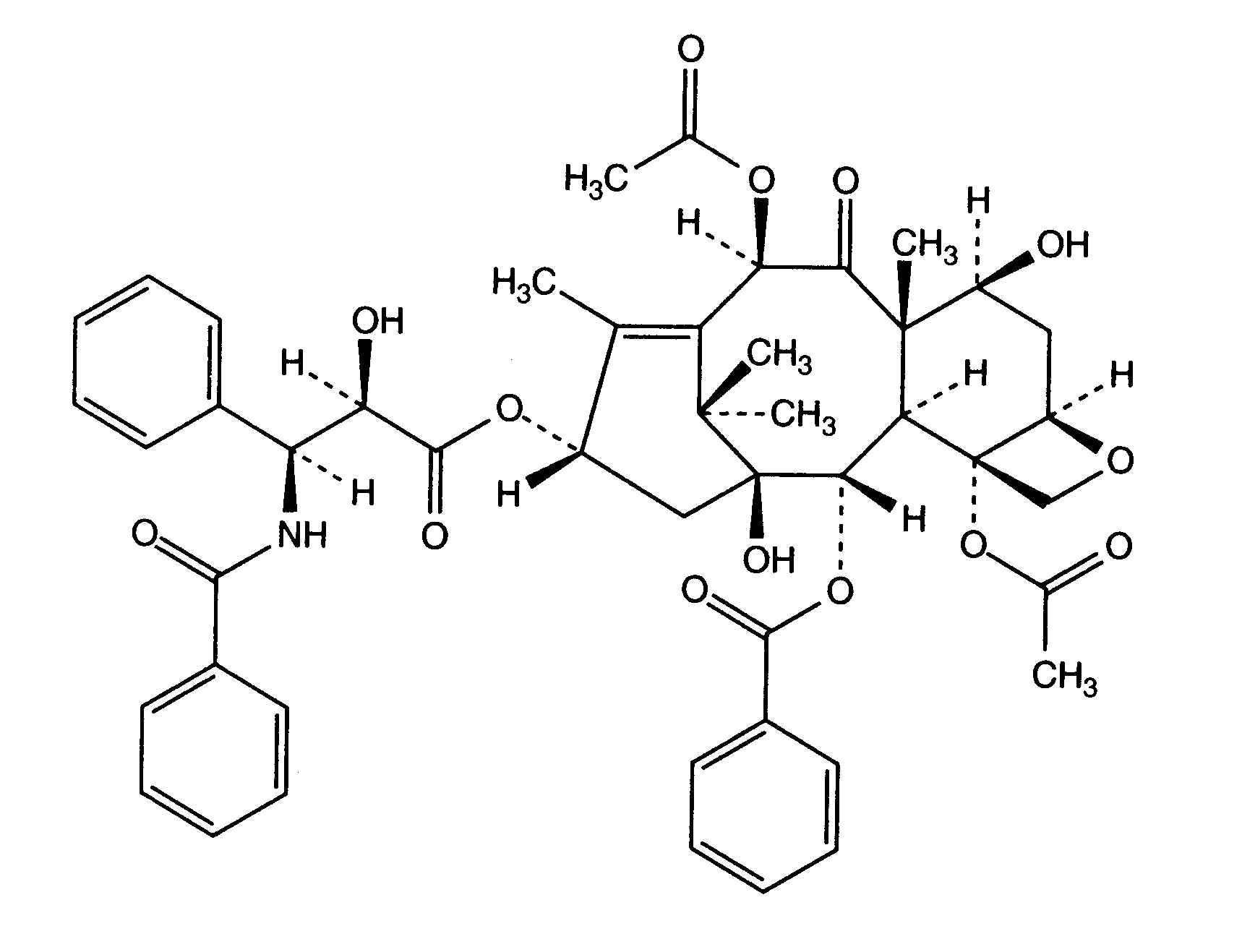
   Structure chimique  

Noms commerciaux   Noms commerciaux     

Les noms commerciaux sont donnés à titre indicatif et la composition en excipients peut être différente selon les pays et selon les laboratoires

Aclipak Malaisie
Acoexcel Mexique
Acupaxil Maroc
Anzatax Arabie Saoudite, Egypte, Emirats Arabes Unis , Iran, Malaisie, Maroc, Nouvelle Zélande, Pérou, Tunisie, Turquie
Aritaxel Allemagne
Cantaxel Inde
Clitaxel Argentine, Vénézuela
Dalys Argentine
Ebetaxel Arabie Saoudite, Autriche, Iran, Maroc, Tunisie, Turquie
Genexol Egypte, Inde, Iran
Onxol Etats Unis d’Amérique
Paclinova Argentine
Paclitaxin Brésil, Luxembourg, Malaisie, Slovénie
Parexel Brésil, Colombie, Equateur, Vénézuela
Paxene Danemark, Espagne, Grèce, Irlande, Pays bas, Pologne
Poltaxel Pologne
Ribotax Allemagne
Taxol Autriche, Brésil, Colombie, Danemark, Egypte, Emirats Arabes Unis , Grèce, Iran, Italie, Japon, Malaisie, Maroc, Nouvelle Zélande, Pays bas, Pérou, Pologne, Portugal, Slovénie, Suède, Suisse, Turquie, Vénézuela
Taxomedac Allemagne
Vitax Brésil, Pérou, Turquie
Compatibilités   injectable   Compatibilités : Paclitaxel              
Cet écran indique les compatibilités ou incompatibilités avec, dans ce cas, le type d'incompatibilité (précipitation, changement de couleur, modification d'une émulsion, etc.). Les compatibilités présentées ici sont pour la plupart uniquement physiques, la stabilité chimique de chaque molécule étant rarement évaluée. L'évaluation de ces mélanges a été étudiée pour envisager la possibilité d'une administration en site Y au patient. Ces données ne peuvent pas être utilisées pour préparer des mélanges à l'avance dans des poches de perfusion ou des seringues. Ce type d'informations est disponible dans l'écran « Stabilité en mélange ».
Molécule Solvant Bibliographie
Compatible
injectable Paclitaxel 1.2 mg/ml
injectable Aciclovir sodium 7 mg/ml
Glucose 5% 248
Compatible
injectable Paclitaxel 1.2 mg/ml
injectable Amikacin sulfate 5 mg/ml
Glucose 5% 248
Compatible
injectable Paclitaxel 1.2 mg/ml
injectable Aminophylline 2.5 mg/ml
Glucose 5% 248
Turbidité immédiate Incompatible
injectable Paclitaxel 1.2 mg/ml
injectable Amphotericin B 0.6 mg/ml
Glucose 5% 248
Perte de turbidité Incompatible
injectable Paclitaxel 0.6 mg/ml
injectable Amphotericin B cholesteryl sulfate complex 0.83 mg/ml
Glucose 5% 921
Compatible
injectable Paclitaxel 1.2 mg/ml
injectable Ampicillin sodium - sulbactam sodium 20/10 mg/ml
Glucose 5% 248
Compatible
injectable Paclitaxel 0.6 mg/ml
injectable Anidulafungin 0.5 mg/ml
Glucose 5% 1982
Compatible
injectable Paclitaxel 1.2 mg/ml
injectable Bleomycin sulfate 1 mg/ml
Glucose 5% 248
Compatible
injectable Paclitaxel 1.2 mg/ml
injectable Butorphanol tartrate 0.04 mg/ml
Glucose 5% 248
Compatible
injectable Paclitaxel 1.2 mg/ml
injectable Calcium chloride 20 mg/ml
Glucose 5% 248
Compatible
injectable Paclitaxel 1.2 mg/ml
injectable Carboplatin 5 mg/ml
Glucose 5% 85
Compatible
injectable Paclitaxel 0,3 & 1,2 mg/ml
injectable Carboplatin 2 mg/ml
Chlorure de sodium 0,9% 872
Compatible
injectable Paclitaxel 0,3 & 1,2 mg/ml
injectable Carboplatin 2 mg/ml
Glucose 5% 872
Compatible
injectable Paclitaxel 1.2 mg/ml
injectable Ceforanide 20 mg/ml
Glucose 5% 248
Compatible
injectable Paclitaxel 1.2 mg/ml
injectable Ceftazidime 40 mg/ml
Glucose 5% 248
Compatible
injectable Paclitaxel 1.2 mg/ml
injectable Ceftriaxone disodium 20 mg/ml
Glucose 5% 248
Perte de turbidité Incompatible
injectable Paclitaxel 1.2 mg/ml
injectable Chlorpromazine hydrochloride 2 mg/ml
Glucose 5% 248
Compatible
injectable Paclitaxel
Glucose 5% 1956
Compatible
injectable Paclitaxel 0,3 & 1,2 mg/ml
injectable Cisplatin 0,2 mg/ml
Chlorure de sodium 0,9% 872
Compatible
injectable Paclitaxel 1.2 mg/ml
Nutrition parentérale (mélange ternaire) 1415
Compatible
injectable Paclitaxel 1.2 mg/ml
Nutrition parentérale (mélange binaire) 301
Compatible
injectable Paclitaxel 1.2 mg/ml
injectable Cimetidine hydrochloride 12 mg/ml
Glucose 5% 85
Compatible
injectable Paclitaxel 1.2 mg/ml
injectable Cisplatin 1 mg/ml
Glucose 5% 85
Instabilité chimique Incompatible
injectable Paclitaxel
injectable Cisplatin
3578
Compatible
injectable Paclitaxel 0.6 mg/ml
injectable Cladribine 0.5 mg/ml
NaCl 0,9% + bactériosatique 1496
Compatible
injectable Paclitaxel 0.6 mg/ml
injectable Cladribine 0.015 mg/ml
Chlorure de sodium 0,9% 1496
Compatible
injectable Paclitaxel 1.2 mg/ml
injectable Cyclophosphamide 10 mg/ml
Glucose 5% 85
Compatible
injectable Paclitaxel 1.2 mg/ml
injectable Cytarabine 50 mg/ml
Glucose 5% 85
Compatible
injectable Paclitaxel 1.2 mg/ml
injectable Dacarbazine 4 mg/ml
Glucose 5% 248
Compatible
injectable Paclitaxel 1.2 mg/ml
injectable Dexamethasone sodium phosphate 1 mg/ml
Glucose 5% 85
Compatible
injectable Paclitaxel 1.2 mg/ml
injectable Diphenhydramine hydrochloride 2 mg/ml
Glucose 5% 85
Compatible
injectable Paclitaxel 0,6 mg/ml
injectable Doripenem 5 mg/ml
Chlorure de sodium 0,9% 2262
Compatible
injectable Paclitaxel 0,6 mg/ml
injectable Doripenem 5 mg/ml
Glucose 5% 2262
Compatible
injectable Paclitaxel 0,3 & 1,2 mg/ml
injectable Doxorubicin hydrochloride 0,2 mg/ml
Glucose 5% 1286
Compatible
injectable Paclitaxel 1.2 mg/ml
injectable Doxorubicin hydrochloride 2 mg/ml
Glucose 5% 85
Compatible
injectable Paclitaxel 0,3 & 1,2 mg/ml
injectable Doxorubicin hydrochloride 0,2 mg/ml
Chlorure de sodium 0,9% 1286
Perte de turbidité Incompatible
injectable Paclitaxel 0.6 mg/ml
injectable Doxorubicin hydrochloride liposome peg 0.4 mg/ml
Glucose 5% 251
Compatible
injectable Paclitaxel
Chlorure de sodium 0,9% 1956
Compatible
injectable Paclitaxel 1.2 mg/ml
injectable Droperidol 0.4 mg/ml
Glucose 5% 248
Compatible
injectable Paclitaxel 1.2 mg/ml
injectable Etoposide 0.4 mg/ml
Glucose 5% 85
Compatible
injectable Paclitaxel 1.2 mg/ml
injectable Etoposide phosphate 5 mg/ml
Glucose 5% 1410
Compatible
injectable Paclitaxel 1.2 mg/ml
injectable Famotidine 2 mg/ml
Glucose 5% 248
Compatible
injectable Paclitaxel 1.2 mg/ml
injectable Floxuridine 3 mg/ml
Glucose 5% 248
Compatible
injectable Paclitaxel 0,3 & 1,2 mg/ml
injectable Fluconazole 2 mg/ml
Glucose 5% 151
Compatible
injectable Paclitaxel 1.2 mg/ml
injectable Fluconazole 2 mg/ml
Glucose 5% 248
Compatible
injectable Paclitaxel 1.2 mg/ml
injectable Fluorouracil 16 mg/ml
Glucose 5% 85
Compatible
injectable Paclitaxel 1.2 mg/ml
injectable Furosemide 3 mg/ml
Glucose 5% 248
Compatible
injectable Paclitaxel 1.2 mg/ml
injectable Ganciclovir sodium 20 mg/ml
Glucose 5% 248
Compatible
injectable Paclitaxel 1.2 mg/ml
injectable Gemcitabine hydrochloride 10 mg/ml
Chlorure de sodium 0,9% 1423
Compatible
injectable Paclitaxel 1.2 mg/ml
injectable Gentamicin sulfate 5 mg/ml
Glucose 5% 248
Compatible
injectable Paclitaxel 1.2 mg/ml
injectable Granisetron hydrochloride 0.05 mg/ml
Glucose 5% 182
Compatible
injectable Paclitaxel 0.29 mg/ml
injectable Granisetron hydrochloride 1 mg/ml
Chlorure de sodium 0,9% 57
Compatible
injectable Paclitaxel 1.2 mg/ml
injectable Haloperidol lactate 0.2 mg/ml
Glucose 5% 85
Compatible
injectable Paclitaxel 1.2 mg/ml
injectable Heparin sodium 100 UI/ml
Glucose 5% 248
Compatible
injectable Paclitaxel 1.2 mg/ml
injectable Hydrocortisone sodium succinate 1 mg/ml
Glucose 5% 248
Compatible
injectable Paclitaxel 1.2 mg/ml
injectable Hydromorphone hydrochloride 0.5 mg/ml
Glucose 5% 248
Perte de turbidité Incompatible
injectable Paclitaxel 1.2 mg/ml
injectable Hydroxyzine dihydrochloride 4 mg/ml
Glucose 5% 248
Compatible
injectable Paclitaxel 1.2 mg/ml
injectable Ifosfamide 25 mg/ml
Glucose 5% 248
Compatible
injectable Paclitaxel 0.6 mg/ml
injectable Lansoprazole 0.55 mg/ml
Chlorure de sodium 0,9% 1625
Compatible
injectable Paclitaxel 0.6 mg/ml
injectable Linezolid 2 mg/ml
Aucun 1925
Compatible
injectable Paclitaxel 1.2 mg/ml
injectable Lorazepam 0.1 mg/ml
Glucose 5% 85
Compatible
injectable Paclitaxel 1.2 mg/ml
injectable Magnesium sulfate 100 mg/ml
Glucose 5% 248
Compatible
injectable Paclitaxel 1.2 mg/ml
injectable Mannitol 150 mg/ml
Glucose 5% 248
Compatible
injectable Paclitaxel 1.2 mg/ml
injectable Mesna 10 mg/ml
Glucose 5% 248
Compatible
injectable Paclitaxel 1.2 mg/ml
injectable Methotrexate sodium 15 mg/ml
Glucose 5% 85
Perte de turbidité Incompatible
injectable Paclitaxel 1.2 mg/ml
injectable Methylprednisolone sodium succinate 5 mg/ml
Glucose 5% 248
Compatible
injectable Paclitaxel 1.2 mg/ml
injectable Metoclopramide hydrochloride 5 mg/ml
Glucose 5% 85
Perte de turbidité Incompatible
injectable Paclitaxel 1.2 mg/ml
injectable Mitoxantrone dihydrochloride 0.5 mg/ml
Glucose 5% 248
Compatible
injectable Paclitaxel 1.2 mg/ml
injectable Morphine sulfate 1 mg/ml
Glucose 5% 248
Compatible
injectable Paclitaxel 1.2 mg/ml
injectable Nalbuphine hydrochloride 10 mg/ml
Glucose 5% 248
Compatible
injectable Paclitaxel 0.3 & 1.2 mg/ml
injectable Ondansetron hydrochloride 0.03 & 0.3 mg/ml
Glucose 5% 47
Compatible
injectable Paclitaxel 1.2 mg/ml
injectable Ondansetron hydrochloride 0.5 mg/ml
Glucose 5% 248
Compatible
injectable Paclitaxel 0,6 mg/ml
injectable Oxaliplatin 0,5 mg/ml
Glucose 5% 1662
Compatible
injectable Paclitaxel 1,2 mg/ml
injectable Palonosetron hydrochloride 50 µg/ml
Glucose 5% 1940
Compatible
injectable Paclitaxel 0.6 mg/ml
injectable Pemetrexed disodium 20 mg/ml
Chlorure de sodium 0,9% 1953
Compatible
injectable Paclitaxel 1.2 mg/ml
injectable Pentostatin 0.4 mg/ml
Glucose 5% 248
Compatible
injectable Paclitaxel 1.2 mg/ml
injectable Pethidine hydrochloride 4 mg/ml
Glucose 5% 248
Compatible
injectable Paclitaxel 1.2 mg/ml
injectable Potassium chloride 100 mEq/l
Glucose 5% 248
Compatible
injectable Paclitaxel 1.2 mg/ml
injectable Prochlorperazine edysilate 0.5 mg/ml
Glucose 5% 85
Compatible
injectable Paclitaxel 1.2 mg/ml
injectable Propofol 10 mg/ml
Aucun 300
Compatible
injectable Paclitaxel 0.3 & 1.2 mg/ml
injectable Ranitidine hydrochloride 0.5 & 2 mg/ml
Glucose 5% 47
Compatible
injectable Paclitaxel 1.2 mg/ml
injectable Ranitidine hydrochloride 2 mg/ml
Glucose 5% 85
Compatible
injectable Paclitaxel 1.2 mg/ml
injectable Sodium bicarbonate 84 mg/ml
Glucose 5% 248
Compatible
injectable Paclitaxel 0.6 mg/ml
injectable Thiotepa 1 mg/ml
Glucose 5% 249
Compatible
injectable Paclitaxel 0.54 mg/ml
injectable Topotecan 0.056 mg/ml
Chlorure de sodium 0,9% 1026
Compatible
injectable Paclitaxel 0.54 mg/ml
injectable Topotecan 0.056 mg/ml
Glucose 5% 1026
Compatible
injectable Paclitaxel 1.2 mg/ml
injectable Vancomycin hydrochloride 10 mg/ml
Glucose 5% 85
Compatible
injectable Paclitaxel 1.2 mg/ml
injectable Vinblastine sulfate 0.12 mg/ml
Glucose 5% 248
Compatible
injectable Paclitaxel 1.2 mg/ml
injectable Vincristine sulfate 0.05 mg/ml
Glucose 5% 248
Compatible
injectable Paclitaxel 1.2 mg/ml
injectable Zidovudine 4 mg/ml
Glucose 5% 248

  Mentions Légales