Viimeisin päivitys :
18/03/2026
syöpälääke   Paclitaxel  
Injektioneste
Stabilius liuoksessa Stabilius seoksissa Tekijät, jotka vaikuttavat stabiliuteen Yhteensopivuus Antotapa Viitteet pdf
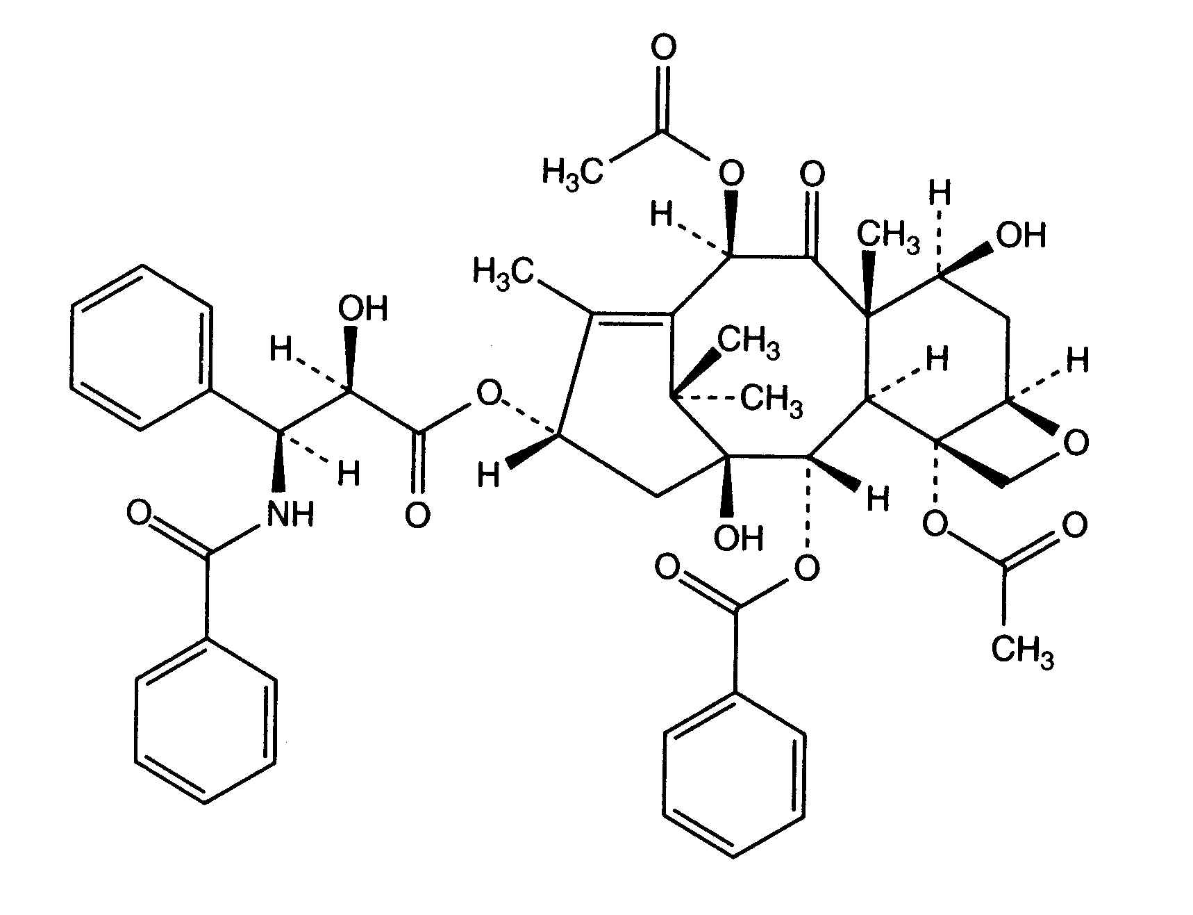
   Kemiallinen rakenne  

Kauppanimi   Kauppanimi     

Trade names are indicative and excipients composition can be different depending on the country and manufacturers

Aclipak Malesia
Acoexcel Meksiko
Acupaxil Marokko
Anzatax Egypti, Iran, Malesia, Marokko, Marokko, New Zealand, Saudi-Arabia, Tunisia, Turkki, Yhdistyneet arabiemiirikunnat
Aritaxel Saksa
Cantaxel Intia
Clitaxel Argentiina, Venezuela
Dalys Argentiina
Ebetaxel Iran, Itävalta, Marokko, Saudi-Arabia, Tunisia, Turkki
Genexol Egypti, Intia, Iran
Onxol Yhdysvallat
Paclinova Argentiina
Paclitaxin Brasilia, Luxemburg, Malesia, Slovenia
Parexel Brasilia, Ecuador, Kolumbia, Venezuela
Paxene Espanja, Hollanti, Irlanti, Kreikka, Puola, Tanska
Poltaxel Puola
Ribotax Saksa
Taxol Brasilia, Egypti, Hollanti, Iran, Italia, Itävalta, Japani, Kolumbia, Kreikka, Malesia, Marokko, Marokko, New Zealand, Portugali, Puola, Ruotsi, Slovenia, Sveitsi, Tanska, Turkki, Venezuela, Yhdistyneet arabiemiirikunnat
Taxomedac Saksa
Vitax Brasilia, Marokko, Turkki
Yhteensopivuus   Injektioneste   Yhteensopivuus : Paclitaxel              
Tämä näyttö osoittaa yhteensopivuuden tai yhteensopimattomuuden yhteensopimattomuuden tyypin kanssa (saostuminen, värinmuutos, emulsiomuutos jne.). Tässä esitetty yhteensopivuus on useimmissa tapauksissa vain fysikaalinen, ja kunkin molekyylin kemiallista stabiilisuutta arvioidaan harvoin. Näiden seosten arviointia tutkittiin mahdollisuuden antaa Y-kohta potilaalle. Näitä tietoja ei voida käyttää seosten valmistamiseen etukäteen pusseissa tai ruiskuissa. Tämäntyyppiset tiedot ovat saatavilla "Stabiilisuus seoksessa" -näytössä.
Yhdiste Liuotin Viitteet
Yhteensopiva
Injektioneste Paclitaxel 1.2 mg/ml
Injektioneste Aciclovir sodium 7 mg/ml
Glukoosi 5% 248
Yhteensopiva
Injektioneste Paclitaxel 1.2 mg/ml
Injektioneste Amikacin sulfate 5 mg/ml
Glukoosi 5% 248
Yhteensopiva
Injektioneste Paclitaxel 1.2 mg/ml
Injektioneste Aminophylline 2.5 mg/ml
Glukoosi 5% 248
Välitön sameus yhteensopimaton
Injektioneste Paclitaxel 1.2 mg/ml
Injektioneste Amphotericin B 0.6 mg/ml
Glukoosi 5% 248
Sameuden menetys yhteensopimaton
Injektioneste Paclitaxel 0.6 mg/ml
Injektioneste Amphotericin B cholesteryl sulfate complex 0.83 mg/ml
Glukoosi 5% 921
Yhteensopiva
Injektioneste Paclitaxel 1.2 mg/ml
Injektioneste Ampicillin sodium - sulbactam sodium 20/10 mg/ml
Glukoosi 5% 248
Yhteensopiva
Injektioneste Paclitaxel 0.6 mg/ml
Injektioneste Anidulafungin 0.5 mg/ml
Glukoosi 5% 1982
Yhteensopiva
Injektioneste Paclitaxel 1.2 mg/ml
Injektioneste Bleomycin sulfate 1 mg/ml
Glukoosi 5% 248
Yhteensopiva
Injektioneste Paclitaxel 1.2 mg/ml
Injektioneste Butorphanol tartrate 0.04 mg/ml
Glukoosi 5% 248
Yhteensopiva
Injektioneste Paclitaxel 1.2 mg/ml
Injektioneste Calcium chloride 20 mg/ml
Glukoosi 5% 248
Yhteensopiva
Injektioneste Paclitaxel 1.2 mg/ml
Injektioneste Carboplatin 5 mg/ml
Glukoosi 5% 85
Yhteensopiva
Injektioneste Paclitaxel 0,3 & 1,2 mg/ml
Injektioneste Carboplatin 2 mg/ml
Natriumkloridi 0,9% 872
Yhteensopiva
Injektioneste Paclitaxel 0,3 & 1,2 mg/ml
Injektioneste Carboplatin 2 mg/ml
Glukoosi 5% 872
Yhteensopiva
Injektioneste Paclitaxel 1.2 mg/ml
Injektioneste Ceforanide 20 mg/ml
Glukoosi 5% 248
Yhteensopiva
Injektioneste Paclitaxel 1.2 mg/ml
Injektioneste Ceftazidime 40 mg/ml
Glukoosi 5% 248
Yhteensopiva
Injektioneste Paclitaxel 1.2 mg/ml
Injektioneste Ceftriaxone disodium 20 mg/ml
Glukoosi 5% 248
Sameuden menetys yhteensopimaton
Injektioneste Paclitaxel 1.2 mg/ml
Injektioneste Chlorpromazine hydrochloride 2 mg/ml
Glukoosi 5% 248
Yhteensopiva
Injektioneste Paclitaxel
Glukoosi 5% 1956
Yhteensopiva
Injektioneste Paclitaxel 0,3 & 1,2 mg/ml
Injektioneste Cisplatin 0,2 mg/ml
Natriumkloridi 0,9% 872
Yhteensopiva
Injektioneste Paclitaxel 1.2 mg/ml
Parenteraalinen (lipidien) 1415
Yhteensopiva
Injektioneste Paclitaxel 1.2 mg/ml
Parenteraalisesti (rasva-free) 301
Yhteensopiva
Injektioneste Paclitaxel 1.2 mg/ml
Injektioneste Cimetidine hydrochloride 12 mg/ml
Glukoosi 5% 85
Yhteensopiva
Injektioneste Paclitaxel 1.2 mg/ml
Injektioneste Cisplatin 1 mg/ml
Glukoosi 5% 85
Kemiallinen epävakaus yhteensopimaton
Injektioneste Paclitaxel
Injektioneste Cisplatin
3578
Yhteensopiva
Injektioneste Paclitaxel 0.6 mg/ml
Injektioneste Cladribine 0.5 mg/ml
Natriumkloridi 0,9%, sisältää säilytysaineen 1496
Yhteensopiva
Injektioneste Paclitaxel 0.6 mg/ml
Injektioneste Cladribine 0.015 mg/ml
Natriumkloridi 0,9% 1496
Yhteensopiva
Injektioneste Paclitaxel 1.2 mg/ml
Injektioneste Cyclophosphamide 10 mg/ml
Glukoosi 5% 85
Yhteensopiva
Injektioneste Paclitaxel 1.2 mg/ml
Injektioneste Cytarabine 50 mg/ml
Glukoosi 5% 85
Yhteensopiva
Injektioneste Paclitaxel 1.2 mg/ml
Injektioneste Dacarbazine 4 mg/ml
Glukoosi 5% 248
Yhteensopiva
Injektioneste Paclitaxel 1.2 mg/ml
Injektioneste Dexamethasone sodium phosphate 1 mg/ml
Glukoosi 5% 85
Yhteensopiva
Injektioneste Paclitaxel 1.2 mg/ml
Injektioneste Diphenhydramine hydrochloride 2 mg/ml
Glukoosi 5% 85
Yhteensopiva
Injektioneste Paclitaxel 0,6 mg/ml
Injektioneste Doripenem 5 mg/ml
Natriumkloridi 0,9% 2262
Yhteensopiva
Injektioneste Paclitaxel 0,6 mg/ml
Injektioneste Doripenem 5 mg/ml
Glukoosi 5% 2262
Yhteensopiva
Injektioneste Paclitaxel 0,3 & 1,2 mg/ml
Injektioneste Doxorubicin hydrochloride 0,2 mg/ml
Glukoosi 5% 1286
Yhteensopiva
Injektioneste Paclitaxel 1.2 mg/ml
Injektioneste Doxorubicin hydrochloride 2 mg/ml
Glukoosi 5% 85
Yhteensopiva
Injektioneste Paclitaxel 0,3 & 1,2 mg/ml
Injektioneste Doxorubicin hydrochloride 0,2 mg/ml
Natriumkloridi 0,9% 1286
Sameuden menetys yhteensopimaton
Injektioneste Paclitaxel 0.6 mg/ml
Injektioneste Doxorubicin hydrochloride liposome peg 0.4 mg/ml
Glukoosi 5% 251
Yhteensopiva
Injektioneste Paclitaxel
Natriumkloridi 0,9% 1956
Yhteensopiva
Injektioneste Paclitaxel 1.2 mg/ml
Injektioneste Droperidol 0.4 mg/ml
Glukoosi 5% 248
Yhteensopiva
Injektioneste Paclitaxel 1.2 mg/ml
Injektioneste Etoposide 0.4 mg/ml
Glukoosi 5% 85
Yhteensopiva
Injektioneste Paclitaxel 1.2 mg/ml
Injektioneste Etoposide phosphate 5 mg/ml
Glukoosi 5% 1410
Yhteensopiva
Injektioneste Paclitaxel 1.2 mg/ml
Injektioneste Famotidine 2 mg/ml
Glukoosi 5% 248
Yhteensopiva
Injektioneste Paclitaxel 1.2 mg/ml
Injektioneste Floxuridine 3 mg/ml
Glukoosi 5% 248
Yhteensopiva
Injektioneste Paclitaxel 0,3 & 1,2 mg/ml
Injektioneste Fluconazole 2 mg/ml
Glukoosi 5% 151
Yhteensopiva
Injektioneste Paclitaxel 1.2 mg/ml
Injektioneste Fluconazole 2 mg/ml
Glukoosi 5% 248
Yhteensopiva
Injektioneste Paclitaxel 1.2 mg/ml
Injektioneste Fluorouracil 16 mg/ml
Glukoosi 5% 85
Yhteensopiva
Injektioneste Paclitaxel 1.2 mg/ml
Injektioneste Furosemide 3 mg/ml
Glukoosi 5% 248
Yhteensopiva
Injektioneste Paclitaxel 1.2 mg/ml
Injektioneste Ganciclovir sodium 20 mg/ml
Glukoosi 5% 248
Yhteensopiva
Injektioneste Paclitaxel 1.2 mg/ml
Injektioneste Gemcitabine hydrochloride 10 mg/ml
Natriumkloridi 0,9% 1423
Yhteensopiva
Injektioneste Paclitaxel 1.2 mg/ml
Injektioneste Gentamicin sulfate 5 mg/ml
Glukoosi 5% 248
Yhteensopiva
Injektioneste Paclitaxel 1.2 mg/ml
Injektioneste Granisetron hydrochloride 0.05 mg/ml
Glukoosi 5% 182
Yhteensopiva
Injektioneste Paclitaxel 0.29 mg/ml
Injektioneste Granisetron hydrochloride 1 mg/ml
Natriumkloridi 0,9% 57
Yhteensopiva
Injektioneste Paclitaxel 1.2 mg/ml
Injektioneste Haloperidol lactate 0.2 mg/ml
Glukoosi 5% 85
Yhteensopiva
Injektioneste Paclitaxel 1.2 mg/ml
Injektioneste Heparin sodium 100 UI/ml
Glukoosi 5% 248
Yhteensopiva
Injektioneste Paclitaxel 1.2 mg/ml
Injektioneste Hydrocortisone sodium succinate 1 mg/ml
Glukoosi 5% 248
Yhteensopiva
Injektioneste Paclitaxel 1.2 mg/ml
Injektioneste Hydromorphone hydrochloride 0.5 mg/ml
Glukoosi 5% 248
Sameuden menetys yhteensopimaton
Injektioneste Paclitaxel 1.2 mg/ml
Injektioneste Hydroxyzine dihydrochloride 4 mg/ml
Glukoosi 5% 248
Yhteensopiva
Injektioneste Paclitaxel 1.2 mg/ml
Injektioneste Ifosfamide 25 mg/ml
Glukoosi 5% 248
Yhteensopiva
Injektioneste Paclitaxel 0.6 mg/ml
Injektioneste Lansoprazole 0.55 mg/ml
Natriumkloridi 0,9% 1625
Yhteensopiva
Injektioneste Paclitaxel 0.6 mg/ml
Injektioneste Linezolid 2 mg/ml
Ei mikään 1925
Yhteensopiva
Injektioneste Paclitaxel 1.2 mg/ml
Injektioneste Lorazepam 0.1 mg/ml
Glukoosi 5% 85
Yhteensopiva
Injektioneste Paclitaxel 1.2 mg/ml
Injektioneste Magnesium sulfate 100 mg/ml
Glukoosi 5% 248
Yhteensopiva
Injektioneste Paclitaxel 1.2 mg/ml
Injektioneste Mannitol 150 mg/ml
Glukoosi 5% 248
Yhteensopiva
Injektioneste Paclitaxel 1.2 mg/ml
Injektioneste Mesna 10 mg/ml
Glukoosi 5% 248
Yhteensopiva
Injektioneste Paclitaxel 1.2 mg/ml
Injektioneste Methotrexate sodium 15 mg/ml
Glukoosi 5% 85
Sameuden menetys yhteensopimaton
Injektioneste Paclitaxel 1.2 mg/ml
Injektioneste Methylprednisolone sodium succinate 5 mg/ml
Glukoosi 5% 248
Yhteensopiva
Injektioneste Paclitaxel 1.2 mg/ml
Injektioneste Metoclopramide hydrochloride 5 mg/ml
Glukoosi 5% 85
Sameuden menetys yhteensopimaton
Injektioneste Paclitaxel 1.2 mg/ml
Injektioneste Mitoxantrone dihydrochloride 0.5 mg/ml
Glukoosi 5% 248
Yhteensopiva
Injektioneste Paclitaxel 1.2 mg/ml
Injektioneste Morphine sulfate 1 mg/ml
Glukoosi 5% 248
Yhteensopiva
Injektioneste Paclitaxel 1.2 mg/ml
Injektioneste Nalbuphine hydrochloride 10 mg/ml
Glukoosi 5% 248
Yhteensopiva
Injektioneste Paclitaxel 0.3 & 1.2 mg/ml
Injektioneste Ondansetron hydrochloride 0.03 & 0.3 mg/ml
Glukoosi 5% 47
Yhteensopiva
Injektioneste Paclitaxel 1.2 mg/ml
Injektioneste Ondansetron hydrochloride 0.5 mg/ml
Glukoosi 5% 248
Yhteensopiva
Injektioneste Paclitaxel 0,6 mg/ml
Injektioneste Oxaliplatin 0,5 mg/ml
Glukoosi 5% 1662
Yhteensopiva
Injektioneste Paclitaxel 1,2 mg/ml
Injektioneste Palonosetron hydrochloride 50 µg/ml
Glukoosi 5% 1940
Yhteensopiva
Injektioneste Paclitaxel 0.6 mg/ml
Injektioneste Pemetrexed disodium 20 mg/ml
Natriumkloridi 0,9% 1953
Yhteensopiva
Injektioneste Paclitaxel 1.2 mg/ml
Injektioneste Pentostatin 0.4 mg/ml
Glukoosi 5% 248
Yhteensopiva
Injektioneste Paclitaxel 1.2 mg/ml
Injektioneste Pethidine hydrochloride 4 mg/ml
Glukoosi 5% 248
Yhteensopiva
Injektioneste Paclitaxel 1.2 mg/ml
Injektioneste Potassium chloride 100 mEq/l
Glukoosi 5% 248
Yhteensopiva
Injektioneste Paclitaxel 1.2 mg/ml
Injektioneste Prochlorperazine edysilate 0.5 mg/ml
Glukoosi 5% 85
Yhteensopiva
Injektioneste Paclitaxel 1.2 mg/ml
Injektioneste Propofol 10 mg/ml
Ei mikään 300
Yhteensopiva
Injektioneste Paclitaxel 0.3 & 1.2 mg/ml
Injektioneste Ranitidine hydrochloride 0.5 & 2 mg/ml
Glukoosi 5% 47
Yhteensopiva
Injektioneste Paclitaxel 1.2 mg/ml
Injektioneste Ranitidine hydrochloride 2 mg/ml
Glukoosi 5% 85
Yhteensopiva
Injektioneste Paclitaxel 1.2 mg/ml
Injektioneste Sodium bicarbonate 84 mg/ml
Glukoosi 5% 248
Yhteensopiva
Injektioneste Paclitaxel 0.6 mg/ml
Injektioneste Thiotepa 1 mg/ml
Glukoosi 5% 249
Yhteensopiva
Injektioneste Paclitaxel 0.54 mg/ml
Injektioneste Topotecan 0.056 mg/ml
Natriumkloridi 0,9% 1026
Yhteensopiva
Injektioneste Paclitaxel 0.54 mg/ml
Injektioneste Topotecan 0.056 mg/ml
Glukoosi 5% 1026
Yhteensopiva
Injektioneste Paclitaxel 1.2 mg/ml
Injektioneste Vancomycin hydrochloride 10 mg/ml
Glukoosi 5% 85
Yhteensopiva
Injektioneste Paclitaxel 1.2 mg/ml
Injektioneste Vinblastine sulfate 0.12 mg/ml
Glukoosi 5% 248
Yhteensopiva
Injektioneste Paclitaxel 1.2 mg/ml
Injektioneste Vincristine sulfate 0.05 mg/ml
Glukoosi 5% 248
Yhteensopiva
Injektioneste Paclitaxel 1.2 mg/ml
Injektioneste Zidovudine 4 mg/ml
Glukoosi 5% 248

  Mentions Légales