Ostatnia aktualizacja :
18/03/2026
Lek cytostatyk   Paclitaxel  
Injekcje
Trwałość roztworów Trwałość w mieszaninie Czynnik wpływający na trwałość Zgodność Sposób podania Bibliografia pdf
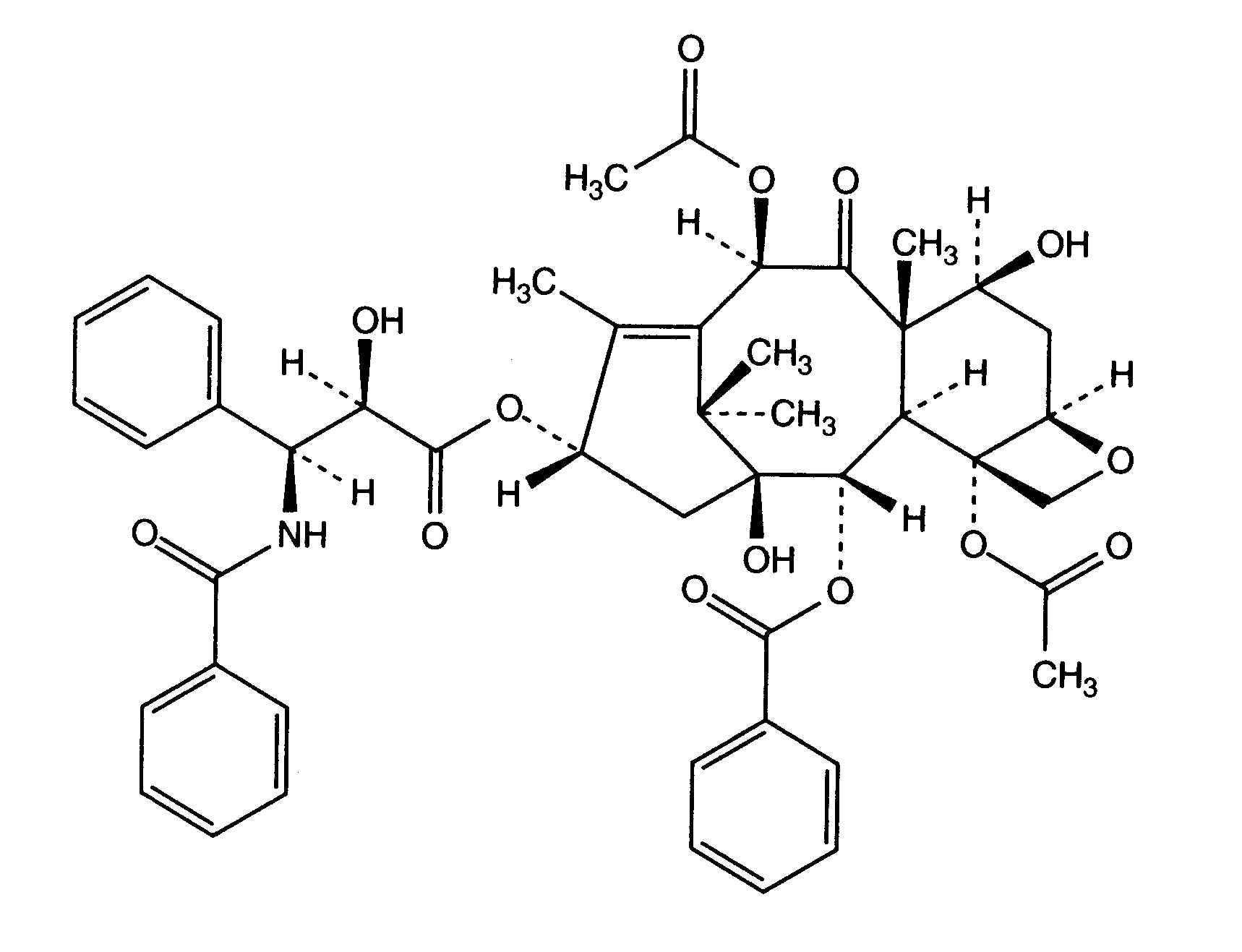
   Struktura chemiczna  

Nazwa handlowa   Nazwa handlowa     

Trade names are indicative and excipients composition can be different depending on the country and manufacturers

Aclipak Malezja
Acoexcel Meksyk
Acupaxil Maroko
Anzatax Arabia Saudyjska, Egipt, Iran, Malezja, Maroko, nowa Zelandia, Peru, Tunisie, Turcja, Zjednoczone Emiraty Arabskie
Aritaxel Niemcy
Cantaxel Indie
Clitaxel Argentyna, Wenezuela
Dalys Argentyna
Ebetaxel Arabia Saudyjska, Austria, Iran, Maroko, Tunisie, Turcja
Genexol Egipt, Indie, Iran
Onxol Stany Zjednoczone Ameryki
Paclinova Argentyna
Paclitaxin Brazylia, Luksemburg, Malezja, Słowenia
Parexel Brazylia, Ekwador, KolumbiaKolumbia, Wenezuela
Paxene Dania, Grecja, Hiszpania, Holandia, Irlandia, Polska
Poltaxel Polska
Ribotax Niemcy
Taxol Austria, Brazylia, Dania, Egipt, Grecja, Holandia, Iran, Japonia, KolumbiaKolumbia, Malezja, Maroko, nowa Zelandia, Peru, Polska, Portugalia, Szwajcaria, Szwecja, Słowenia, Turcja, Wenezuela, Włochy, Zjednoczone Emiraty Arabskie
Taxomedac Niemcy
Vitax Brazylia, Peru, Turcja
Zgodność   Injekcje   Zgodność : Paclitaxel              
Ekran ten wskazuje na kompatybilności lub niezgodności z, w tym przypadku, rodzajem niezgodności (strącanie, zmiana koloru, modyfikacja emulsji, itp.). Przedstawione tutaj kompatybilności są głównie fizyczne, a stabilność chemiczna każdej cząsteczki jest rzadko oceniana. Ocenę tych mieszanin badano w celu rozważenia możliwości podania pacjentowi w miejscu Y. Dane te nie mogą być wykorzystywane do sporządzania mieszanin z wyprzedzeniem w workach lub strzykawkach. Tego typu informacje są dostępne na ekranie „Stabilność w mieszaninie”.
Związek Rozpuszczalnik Bibliografia
Zgodny
Injekcje Paclitaxel 1.2 mg/ml
Injekcje Aciclovir sodium 7 mg/ml
Glukoza 5% 248
Zgodny
Injekcje Paclitaxel 1.2 mg/ml
Injekcje Amikacin sulfate 5 mg/ml
Glukoza 5% 248
Zgodny
Injekcje Paclitaxel 1.2 mg/ml
Injekcje Aminophylline 2.5 mg/ml
Glukoza 5% 248
Natychmiastowe zmętnienie Niekompatybilny
Injekcje Paclitaxel 1.2 mg/ml
Injekcje Amphotericin B 0.6 mg/ml
Glukoza 5% 248
Utrata zmętnienia Niekompatybilny
Injekcje Paclitaxel 0.6 mg/ml
Injekcje Amphotericin B cholesteryl sulfate complex 0.83 mg/ml
Glukoza 5% 921
Zgodny
Injekcje Paclitaxel 1.2 mg/ml
Injekcje Ampicillin sodium - sulbactam sodium 20/10 mg/ml
Glukoza 5% 248
Zgodny
Injekcje Paclitaxel 0.6 mg/ml
Injekcje Anidulafungin 0.5 mg/ml
Glukoza 5% 1982
Zgodny
Injekcje Paclitaxel 1.2 mg/ml
Injekcje Bleomycin sulfate 1 mg/ml
Glukoza 5% 248
Zgodny
Injekcje Paclitaxel 1.2 mg/ml
Injekcje Butorphanol tartrate 0.04 mg/ml
Glukoza 5% 248
Zgodny
Injekcje Paclitaxel 1.2 mg/ml
Injekcje Calcium chloride 20 mg/ml
Glukoza 5% 248
Zgodny
Injekcje Paclitaxel 1.2 mg/ml
Injekcje Carboplatin 5 mg/ml
Glukoza 5% 85
Zgodny
Injekcje Paclitaxel 0,3 & 1,2 mg/ml
Injekcje Carboplatin 2 mg/ml
Chlorek sodu 0,9% 872
Zgodny
Injekcje Paclitaxel 0,3 & 1,2 mg/ml
Injekcje Carboplatin 2 mg/ml
Glukoza 5% 872
Zgodny
Injekcje Paclitaxel 1.2 mg/ml
Injekcje Ceforanide 20 mg/ml
Glukoza 5% 248
Zgodny
Injekcje Paclitaxel 1.2 mg/ml
Injekcje Ceftazidime 40 mg/ml
Glukoza 5% 248
Zgodny
Injekcje Paclitaxel 1.2 mg/ml
Injekcje Ceftriaxone disodium 20 mg/ml
Glukoza 5% 248
Utrata zmętnienia Niekompatybilny
Injekcje Paclitaxel 1.2 mg/ml
Injekcje Chlorpromazine hydrochloride 2 mg/ml
Glukoza 5% 248
Zgodny
Injekcje Paclitaxel
Glukoza 5% 1956
Zgodny
Injekcje Paclitaxel 0,3 & 1,2 mg/ml
Injekcje Cisplatin 0,2 mg/ml
Chlorek sodu 0,9% 872
Zgodny
Injekcje Paclitaxel 1.2 mg/ml
Żywienie pozajelitowe (lipidami) 1415
Zgodny
Injekcje Paclitaxel 1.2 mg/ml
Odżywianie pozajelitowe (mieszanina binarny) 301
Zgodny
Injekcje Paclitaxel 1.2 mg/ml
Injekcje Cimetidine hydrochloride 12 mg/ml
Glukoza 5% 85
Zgodny
Injekcje Paclitaxel 1.2 mg/ml
Injekcje Cisplatin 1 mg/ml
Glukoza 5% 85
Niestabilność chemiczna Niekompatybilny
Injekcje Paclitaxel
Injekcje Cisplatin
3578
Zgodny
Injekcje Paclitaxel 0.6 mg/ml
Injekcje Cladribine 0.5 mg/ml
NaCl 0,9% + bakteriostatyk 1496
Zgodny
Injekcje Paclitaxel 0.6 mg/ml
Injekcje Cladribine 0.015 mg/ml
Chlorek sodu 0,9% 1496
Zgodny
Injekcje Paclitaxel 1.2 mg/ml
Injekcje Cyclophosphamide 10 mg/ml
Glukoza 5% 85
Zgodny
Injekcje Paclitaxel 1.2 mg/ml
Injekcje Cytarabine 50 mg/ml
Glukoza 5% 85
Zgodny
Injekcje Paclitaxel 1.2 mg/ml
Injekcje Dacarbazine 4 mg/ml
Glukoza 5% 248
Zgodny
Injekcje Paclitaxel 1.2 mg/ml
Injekcje Dexamethasone sodium phosphate 1 mg/ml
Glukoza 5% 85
Zgodny
Injekcje Paclitaxel 1.2 mg/ml
Injekcje Diphenhydramine hydrochloride 2 mg/ml
Glukoza 5% 85
Zgodny
Injekcje Paclitaxel 0,6 mg/ml
Injekcje Doripenem 5 mg/ml
Chlorek sodu 0,9% 2262
Zgodny
Injekcje Paclitaxel 0,6 mg/ml
Injekcje Doripenem 5 mg/ml
Glukoza 5% 2262
Zgodny
Injekcje Paclitaxel 0,3 & 1,2 mg/ml
Injekcje Doxorubicin hydrochloride 0,2 mg/ml
Glukoza 5% 1286
Zgodny
Injekcje Paclitaxel 1.2 mg/ml
Injekcje Doxorubicin hydrochloride 2 mg/ml
Glukoza 5% 85
Zgodny
Injekcje Paclitaxel 0,3 & 1,2 mg/ml
Injekcje Doxorubicin hydrochloride 0,2 mg/ml
Chlorek sodu 0,9% 1286
Utrata zmętnienia Niekompatybilny
Injekcje Paclitaxel 0.6 mg/ml
Injekcje Doxorubicin hydrochloride liposome peg 0.4 mg/ml
Glukoza 5% 251
Zgodny
Injekcje Paclitaxel
Chlorek sodu 0,9% 1956
Zgodny
Injekcje Paclitaxel 1.2 mg/ml
Injekcje Droperidol 0.4 mg/ml
Glukoza 5% 248
Zgodny
Injekcje Paclitaxel 1.2 mg/ml
Injekcje Etoposide 0.4 mg/ml
Glukoza 5% 85
Zgodny
Injekcje Paclitaxel 1.2 mg/ml
Injekcje Etoposide phosphate 5 mg/ml
Glukoza 5% 1410
Zgodny
Injekcje Paclitaxel 1.2 mg/ml
Injekcje Famotidine 2 mg/ml
Glukoza 5% 248
Zgodny
Injekcje Paclitaxel 1.2 mg/ml
Injekcje Floxuridine 3 mg/ml
Glukoza 5% 248
Zgodny
Injekcje Paclitaxel 0,3 & 1,2 mg/ml
Injekcje Fluconazole 2 mg/ml
Glukoza 5% 151
Zgodny
Injekcje Paclitaxel 1.2 mg/ml
Injekcje Fluconazole 2 mg/ml
Glukoza 5% 248
Zgodny
Injekcje Paclitaxel 1.2 mg/ml
Injekcje Fluorouracil 16 mg/ml
Glukoza 5% 85
Zgodny
Injekcje Paclitaxel 1.2 mg/ml
Injekcje Furosemide 3 mg/ml
Glukoza 5% 248
Zgodny
Injekcje Paclitaxel 1.2 mg/ml
Injekcje Ganciclovir sodium 20 mg/ml
Glukoza 5% 248
Zgodny
Injekcje Paclitaxel 1.2 mg/ml
Injekcje Gemcitabine hydrochloride 10 mg/ml
Chlorek sodu 0,9% 1423
Zgodny
Injekcje Paclitaxel 1.2 mg/ml
Injekcje Gentamicin sulfate 5 mg/ml
Glukoza 5% 248
Zgodny
Injekcje Paclitaxel 1.2 mg/ml
Injekcje Granisetron hydrochloride 0.05 mg/ml
Glukoza 5% 182
Zgodny
Injekcje Paclitaxel 0.29 mg/ml
Injekcje Granisetron hydrochloride 1 mg/ml
Chlorek sodu 0,9% 57
Zgodny
Injekcje Paclitaxel 1.2 mg/ml
Injekcje Haloperidol lactate 0.2 mg/ml
Glukoza 5% 85
Zgodny
Injekcje Paclitaxel 1.2 mg/ml
Injekcje Heparin sodium 100 UI/ml
Glukoza 5% 248
Zgodny
Injekcje Paclitaxel 1.2 mg/ml
Injekcje Hydrocortisone sodium succinate 1 mg/ml
Glukoza 5% 248
Zgodny
Injekcje Paclitaxel 1.2 mg/ml
Injekcje Hydromorphone hydrochloride 0.5 mg/ml
Glukoza 5% 248
Utrata zmętnienia Niekompatybilny
Injekcje Paclitaxel 1.2 mg/ml
Injekcje Hydroxyzine dihydrochloride 4 mg/ml
Glukoza 5% 248
Zgodny
Injekcje Paclitaxel 1.2 mg/ml
Injekcje Ifosfamide 25 mg/ml
Glukoza 5% 248
Zgodny
Injekcje Paclitaxel 0.6 mg/ml
Injekcje Lansoprazole 0.55 mg/ml
Chlorek sodu 0,9% 1625
Zgodny
Injekcje Paclitaxel 0.6 mg/ml
Injekcje Linezolid 2 mg/ml
Żaden 1925
Zgodny
Injekcje Paclitaxel 1.2 mg/ml
Injekcje Lorazepam 0.1 mg/ml
Glukoza 5% 85
Zgodny
Injekcje Paclitaxel 1.2 mg/ml
Injekcje Magnesium sulfate 100 mg/ml
Glukoza 5% 248
Zgodny
Injekcje Paclitaxel 1.2 mg/ml
Injekcje Mannitol 150 mg/ml
Glukoza 5% 248
Zgodny
Injekcje Paclitaxel 1.2 mg/ml
Injekcje Mesna 10 mg/ml
Glukoza 5% 248
Zgodny
Injekcje Paclitaxel 1.2 mg/ml
Injekcje Methotrexate sodium 15 mg/ml
Glukoza 5% 85
Utrata zmętnienia Niekompatybilny
Injekcje Paclitaxel 1.2 mg/ml
Injekcje Methylprednisolone sodium succinate 5 mg/ml
Glukoza 5% 248
Zgodny
Injekcje Paclitaxel 1.2 mg/ml
Injekcje Metoclopramide hydrochloride 5 mg/ml
Glukoza 5% 85
Utrata zmętnienia Niekompatybilny
Injekcje Paclitaxel 1.2 mg/ml
Injekcje Mitoxantrone dihydrochloride 0.5 mg/ml
Glukoza 5% 248
Zgodny
Injekcje Paclitaxel 1.2 mg/ml
Injekcje Morphine sulfate 1 mg/ml
Glukoza 5% 248
Zgodny
Injekcje Paclitaxel 1.2 mg/ml
Injekcje Nalbuphine hydrochloride 10 mg/ml
Glukoza 5% 248
Zgodny
Injekcje Paclitaxel 0.3 & 1.2 mg/ml
Injekcje Ondansetron hydrochloride 0.03 & 0.3 mg/ml
Glukoza 5% 47
Zgodny
Injekcje Paclitaxel 1.2 mg/ml
Injekcje Ondansetron hydrochloride 0.5 mg/ml
Glukoza 5% 248
Zgodny
Injekcje Paclitaxel 0,6 mg/ml
Injekcje Oxaliplatin 0,5 mg/ml
Glukoza 5% 1662
Zgodny
Injekcje Paclitaxel 1,2 mg/ml
Injekcje Palonosetron hydrochloride 50 µg/ml
Glukoza 5% 1940
Zgodny
Injekcje Paclitaxel 0.6 mg/ml
Injekcje Pemetrexed disodium 20 mg/ml
Chlorek sodu 0,9% 1953
Zgodny
Injekcje Paclitaxel 1.2 mg/ml
Injekcje Pentostatin 0.4 mg/ml
Glukoza 5% 248
Zgodny
Injekcje Paclitaxel 1.2 mg/ml
Injekcje Pethidine hydrochloride 4 mg/ml
Glukoza 5% 248
Zgodny
Injekcje Paclitaxel 1.2 mg/ml
Injekcje Potassium chloride 100 mEq/l
Glukoza 5% 248
Zgodny
Injekcje Paclitaxel 1.2 mg/ml
Injekcje Prochlorperazine edysilate 0.5 mg/ml
Glukoza 5% 85
Zgodny
Injekcje Paclitaxel 1.2 mg/ml
Injekcje Propofol 10 mg/ml
Żaden 300
Zgodny
Injekcje Paclitaxel 0.3 & 1.2 mg/ml
Injekcje Ranitidine hydrochloride 0.5 & 2 mg/ml
Glukoza 5% 47
Zgodny
Injekcje Paclitaxel 1.2 mg/ml
Injekcje Ranitidine hydrochloride 2 mg/ml
Glukoza 5% 85
Zgodny
Injekcje Paclitaxel 1.2 mg/ml
Injekcje Sodium bicarbonate 84 mg/ml
Glukoza 5% 248
Zgodny
Injekcje Paclitaxel 0.6 mg/ml
Injekcje Thiotepa 1 mg/ml
Glukoza 5% 249
Zgodny
Injekcje Paclitaxel 0.54 mg/ml
Injekcje Topotecan 0.056 mg/ml
Chlorek sodu 0,9% 1026
Zgodny
Injekcje Paclitaxel 0.54 mg/ml
Injekcje Topotecan 0.056 mg/ml
Glukoza 5% 1026
Zgodny
Injekcje Paclitaxel 1.2 mg/ml
Injekcje Vancomycin hydrochloride 10 mg/ml
Glukoza 5% 85
Zgodny
Injekcje Paclitaxel 1.2 mg/ml
Injekcje Vinblastine sulfate 0.12 mg/ml
Glukoza 5% 248
Zgodny
Injekcje Paclitaxel 1.2 mg/ml
Injekcje Vincristine sulfate 0.05 mg/ml
Glukoza 5% 248
Zgodny
Injekcje Paclitaxel 1.2 mg/ml
Injekcje Zidovudine 4 mg/ml
Glukoza 5% 248

  Mentions Légales