Последнее обновление :
17/12/2025
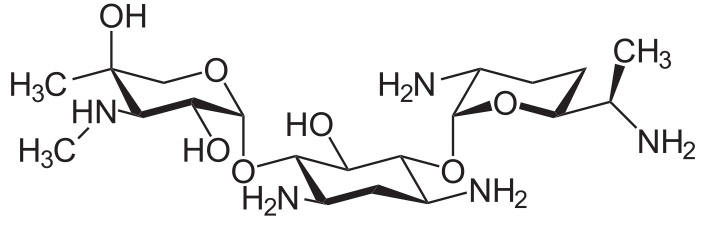
Антибиотик   Gentamicin sulfate  
Глазные капли
Инъекция
Стабильность фармацевтических препаратов Стабильность смесей Факторы, которые влияют на стабильность Совместимость Библиография pdf
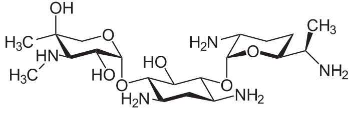
   Химическая структура  

Глазные капли

Факторы, которые влияют на стабильность   Глазные капли   Факторы, которые влияют на стабильность : Gentamicin sulfate        
Ссылки
Температура 25°C Стимулирует Пониженная стабильность 2547

  Mentions Légales