Posledná aktualizácia :
18/03/2026
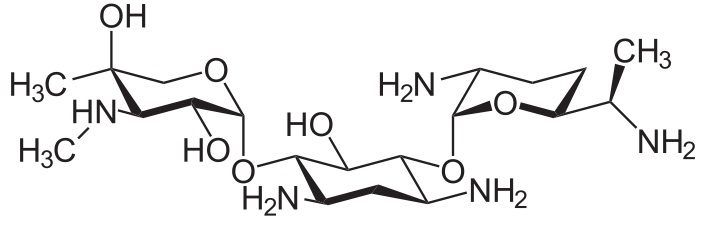
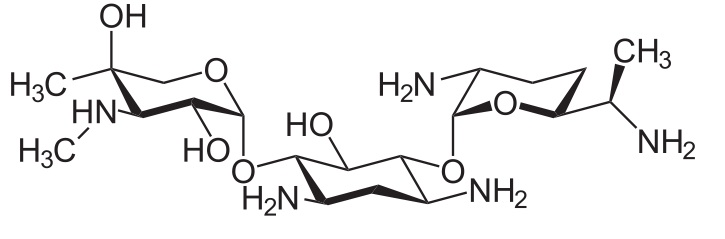
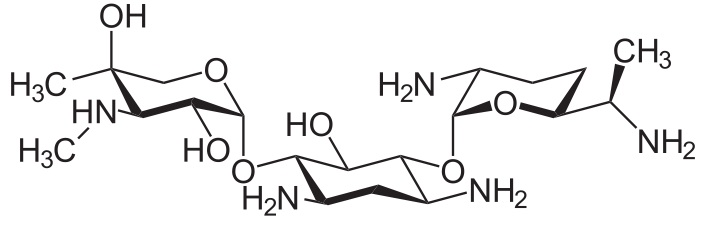
antibiotikum   Gentamicin sulfate  
Očná instilácia
Injekcia
Stabilita farmaceutických prípravkov Stabilita v zmesiach Faktory ovplyvňujúce stabilitu Kompatibility Odkazy na literatúru PDF
   Chemický vzorec  

Očná instilácia

Faktory ovplyvňujúce stabilitu   Očná instilácia   Faktory ovplyvňujúce stabilitu : Gentamicin sulfate        
odkazy na lieteratúru
teplota 25°C indukuje znížená stabilita 2547

  Mentions Légales