Ostatnia aktualizacja :
18/03/2026
Antybiotyk   Gentamicin sulfate  
Krople oczne
Injekcje
Stabilność preparatów farmaceutycznych Trwałość w mieszaninie Czynnik wpływający na trwałość Zgodność Bibliografia pdf
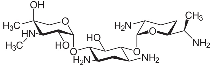
   Struktura chemiczna  

Krople oczne

Czynnik wpływający na trwałość   Krople oczne   Czynnik wpływający na trwałość : Gentamicin sulfate        
Bibliografia
Temperatura 25°C Wywołuje Obniżona trwałość 2547

  Mentions Légales