Ultimele actualizari :
05/12/2025
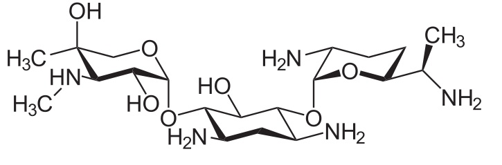
Antibiotic   Gentamicin sulfate  
colir
Injectabil
Stabilitatea preparatelor farmaceutice Stabilitatea in amestec Factorii care influenteaza stabilitatea Compatibilitate Bibliografie pdf
   Formula chimica  

colir

Factorii care influenteaza stabilitatea   colir   Factorii care influenteaza stabilitatea : Gentamicin sulfate        
Bibiografie
Temperatura 25°C Provoaca Diminuarea stabilitatii 2547

  Mentions Légales