Последно актуализиране :
18/03/2026
Антибиотик   Gentamicin sulfate  
Капки за очи
Инжекция/Инжекционен
Стабилност на лекарствени препарати Стабилност на смеси Фактори, повлияващи стабилността Съвместимост Библиография Pdf
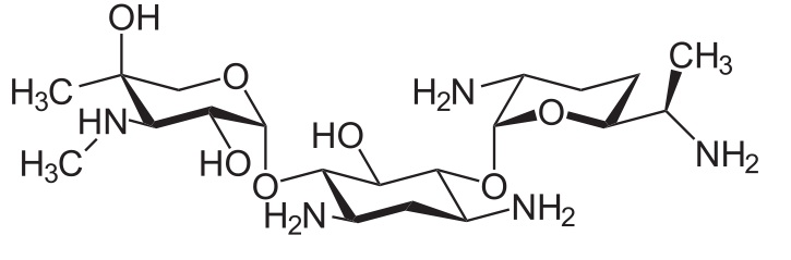
   Химична структура  

Капки за очи

Фактори, повлияващи стабилността   Капки за очи   Фактори, повлияващи стабилността : Gentamicin sulfate        
Библиография
Температура 25°C Предизвиква Намалена стабилност 2547

  Mentions Légales