Última actualização :
05/12/2025
antibiótico   Gentamicin sulfate  
solução oftálmica
injetável
Estabilidade de preparações farmacêuticas Estabilidade em misturas Factores que afectam a sua estabilidade Compatibilidade Bibliografía pdf
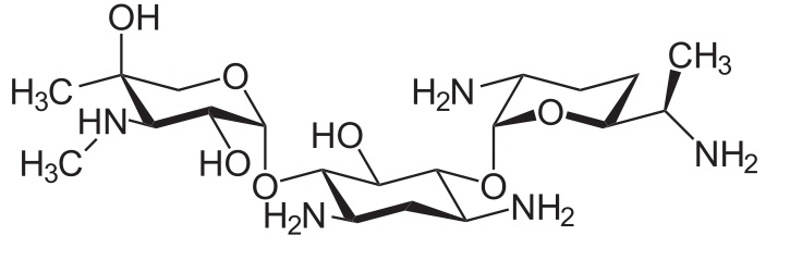
   estrutura química  

solução oftálmica

Factores que afectam a sua estabilidade   solução oftálmica   Factores que afectam a sua estabilidade : Gentamicin sulfate        
Bibliografia
temperatura 25°C Provoca Diminuição da estabilidade 2547

  Mentions Légales