Pēdējā atjaunošana :
05/12/2025
Antibiotika   Gentamicin sulfate  
Acu pilieni
Injekcija
Stabilitāte farmaceitisko preparātu Maisījuma stabilitāte Stabilitāti ietekmējoši faktori Saderība Literatūras saraksts pdf
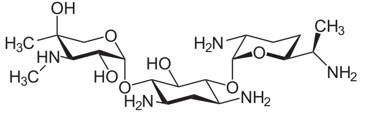
   Ķīmiskā uzbūve   

Acu pilieni

Stabilitāti ietekmējoši faktori   Acu pilieni   Stabilitāti ietekmējoši faktori : Gentamicin sulfate        
Literatūras saraksts
Temperatūra 25°C Izraisošs Stabilitātes samazināšana 2547

  Mentions Légales