Utolsó frissítés :
18/03/2026
Antibiotikum   Gentamicin sulfate  
Szemcsepp
Injekció
Stabilitása gyógyszerészeti készítmények A keverékek stabilitása Stabilitást befolyásoló tényezők Kompatibilitás Irodalom pdf
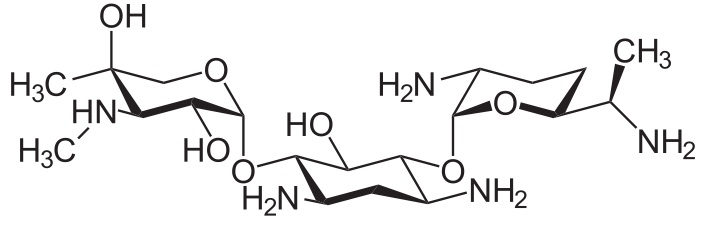
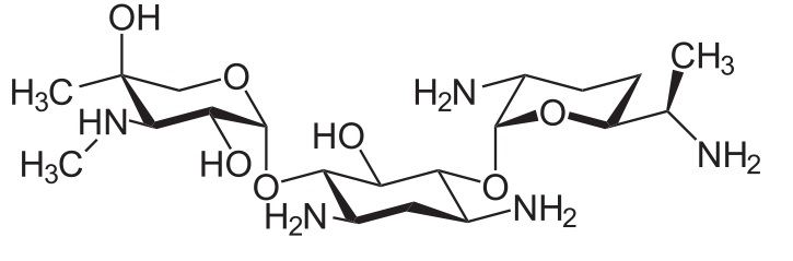
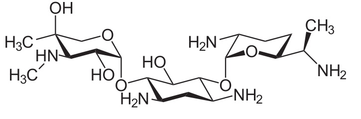
   Kémiai szerkezet   

Szemcsepp

Stabilitást befolyásoló tényezők   Szemcsepp   Stabilitást befolyásoló tényezők : Gentamicin sulfate        
Irodalom
Hőmérséklet 25°C Előidéz Stabilitás csökkenés 2547

  Mentions Légales