zadnja posodobitev :
05/12/2025
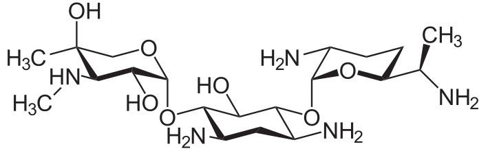
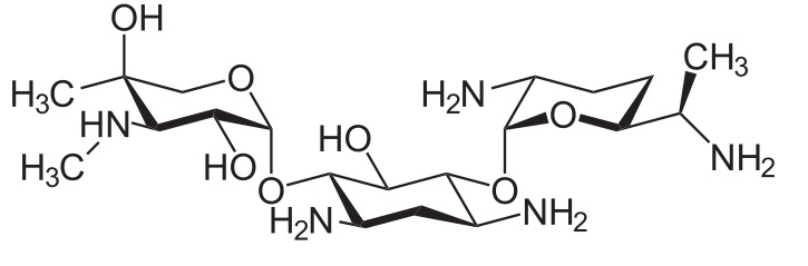
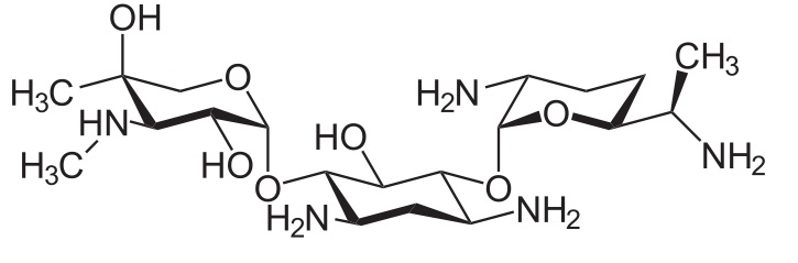
Antibiotik   Gentamicin sulfate  
Kapljice za oči
Brizgalka
Stabilnost farmacevtskih preparatov Stabilnost mešanice Faktorji, ki vplivajo na stabilnost Kompatibilnost Viri pdf
   Kemična formula  

Kapljice za oči

Faktorji, ki vplivajo na stabilnost   Kapljice za oči   Faktorji, ki vplivajo na stabilnost : Gentamicin sulfate        
Viri
Temperatura 25°C Inducirati Zmanjšana stabilnost 2547

  Mentions Légales