آخر تحديث :
18/03/2026
مضاد حيوي   Gentamicin sulfate  
قطرات العين
حقن
استقرار المستحضرات الصيدلانية استقرار مخاليط العوامل التي تؤثر على الاستقرار التوافق مراجع pdf
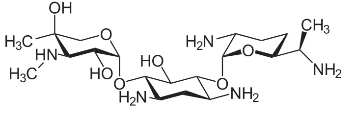
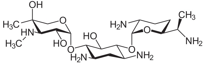
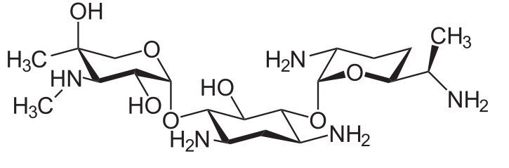
   التركيب الكيميائي  

قطرات العين

العوامل التي تؤثر على الاستقرار   قطرات العين   العوامل التي تؤثر على الاستقرار : Gentamicin sulfate        
مراجع
درجة الحرارة 25 ° C الحث تخفيض الاستقرار 2547

  Mentions Légales