Letztes “update” :
18/03/2026
Antibiotikum   Gentamicin sulfate  
Augentropfen
Injektion
Stabilität von pharmazeutischen Präparaten Gemengestabilität Stabilitätbeeinflussende Faktoren Kompatibilitäten Literaturverzeichnis pdf
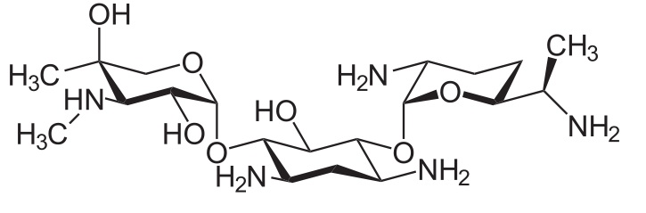
   Chemische Struktur  

Augentropfen

Stabilitätbeeinflussende Faktoren   Augentropfen   Stabilitätbeeinflussende Faktoren : Gentamicin sulfate        
Literaturverzeichnis
Temperatur 25°C Führt zu Stabilitätsverringerung 2547

  Mentions Légales