Poslední aktualizace :
05/12/2025
Antibiotikum   Gentamicin sulfate  
Humbuk
injekce
Stabilita farmaceutických přípravků Stabilita směsí Faktory ovlivňující stabilitu Kompatibilita Odkazy pdf
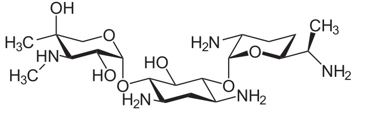
   Chemický vzorec  

Humbuk

Faktory ovlivňující stabilitu   Humbuk   Faktory ovlivňující stabilitu : Gentamicin sulfate        
Odkazy
Teplota 25°C Indukuje Snížená stabilita 2547

  Mentions Légales