Siste oppdatering :
05/12/2025
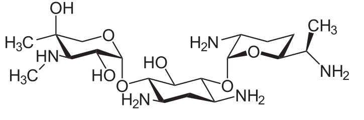
Antibiotika   Gentamicin sulfate  
Øyedråper
Injeksjon
Stabilitet av farmasøytiske preparater Stabilitet i blandinger Faktorer som påvirker stabiliteten Kompatibilitet Referanser pdf
   Kjemisk struktur  

Øyedråper

Faktorer som påvirker stabiliteten   Øyedråper   Faktorer som påvirker stabiliteten : Gentamicin sulfate        
Referanser
Temperatur 25°C Induserer Redusert stabilitet 2547

  Mentions Légales