Última actualização :
05/12/2025
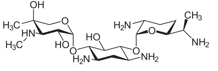
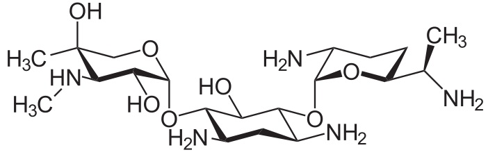
antibiótico   Gentamicin sulfate  
solução oftálmica
injetável
Estabilidade de preparações farmacêuticas Estabilidade em misturas Factores que afectam a sua estabilidade Compatibilidade Bibliografía pdf
   estrutura química  

solução oftálmica
Compatibilidade   solução oftálmica   Compatibilidade : Gentamicin sulfate              
Ausência de dados

  Mentions Légales