Son güncelleme :
18/03/2026
Antibiyotik   Gentamicin sulfate  
Göz damlası
Enjeksiyon
Farmasötik preparatlar Kararlılığı Karışımlardaki stabilitesi Stabiliteyi etkileyen faktörler Uyumluluk Kaynaklar pdf
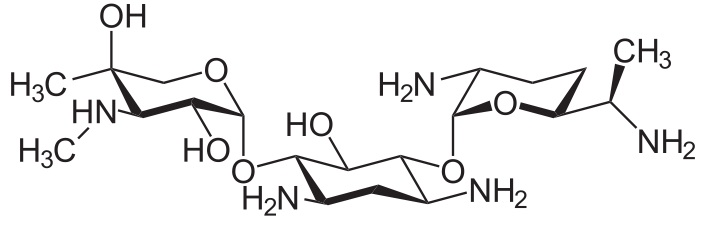
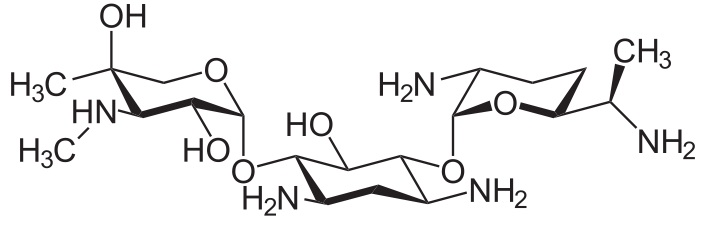
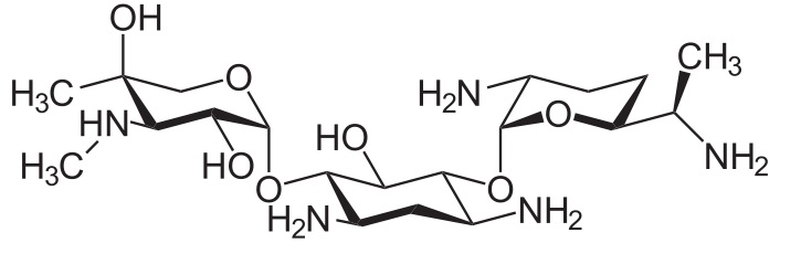
   Kimyasal yapı   

Göz damlası

Stabiliteyi etkileyen faktörler    Göz damlası   Stabiliteyi etkileyen faktörler : Gentamicin sulfate        
Kaynaklar
Isı 25°C İndükler Stabilitede azalma 2547

  Mentions Légales