Last update :
18/03/2026
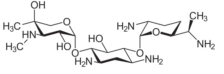
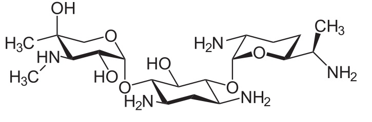
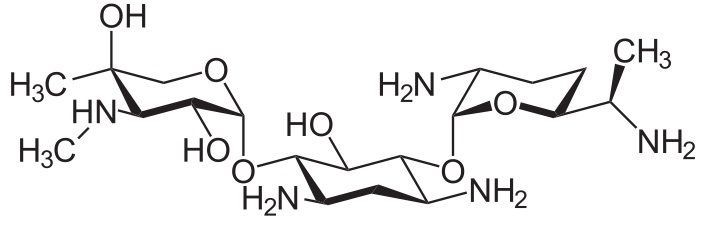
Antibiotic   Gentamicin sulfate  
Eye-drops
injection
Stability of pharmaceutical preparations Stability of mixtures Factors which affect stability Compatibility References pdf
   Chemical structure  

Eye-drops

Factors which affect stability   Eye-drops   Factors which affect stability : Gentamicin sulfate        
References
Temperature 25°C Induces Reduced stability 2547

  Mentions Légales