Cập nhật lần cuối :
18/03/2026
Kháng sinh   Colistin mesilate sodium  
Dạng tiêm
Khí dung
Tính ổn định của các dung dịch Độ ổn định khi trộn lẫn Những yếu tố ảnh hưởng đến độ ổn định Khả năng tương thích Đường dùng Tài liệu tham khảo Pdf
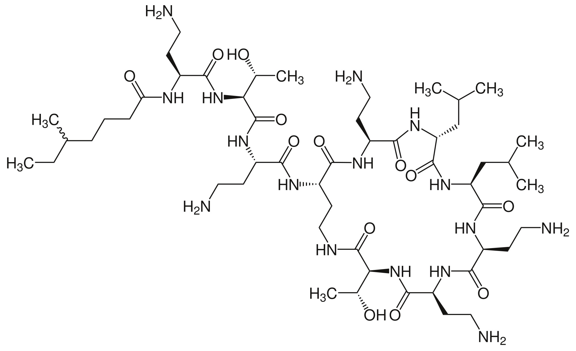
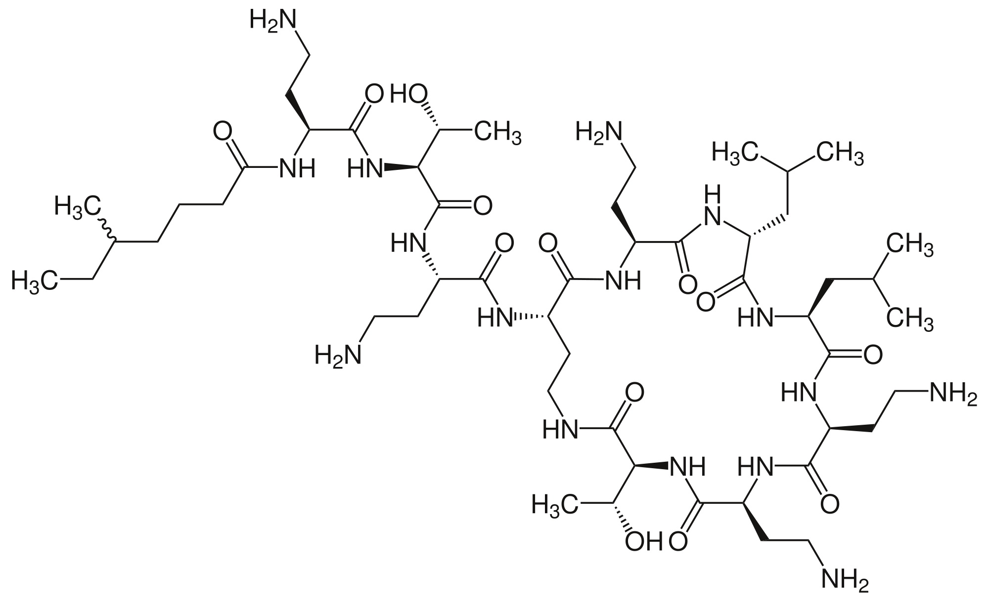
   Cấu trúc hóa học  

Tên thương mại   Tên thương mại     

Các tên thương mại được cung cấp và thành phần tá dược có thể khác nhau giữa các quốc gia và các hãng dược

Alficetin Argentina
Colimicina Ý
Colimycin Na Uy, Thổ Nhĩ Kỳ, Đan Mạch
Colimycine Hà Lan, Luxembourg, Morocco, Pháp, Tunisia
Colismet Peru
Colistimethate Anh, Canada, Hoa Kỳ, Pháp
Colistin Áo, Ba Lan, Hy Lạp, new zealand, Đức
Colistina Argentina, Bồ Đào Nha, Chile
Colistineb Bỉ
Colistyn Argentina
Colixin Slovenia
Colomycin Anh, Canada, Hoa Kỳ, Ireland, Malaysia
Dicupal Chile
Elistin Peru
Kolisod Thổ Nhĩ Kỳ
Nolisin
Promixin Anh, Ireland, Na Uy, Đức
Toliscrin Argentina
Khả năng tương thích   Dạng tiêm   Khả năng tương thích : Colistin mesilate sodium              
Màn hình này cho biết khả năng tương thích hoặc không tương thích, trong trường hợp này là loại không tương thích (kết tủa, thay đổi màu sắc, sửa đổi nhũ tương, v.v.). Sự tương hợp được chỉ ra ở đây chủ yếu chỉ là vật lý, với độ ổn định hóa học của mỗi phân tử hiếm khi được đánh giá. Việc đánh giá các hỗn hợp này được nghiên cứu để xem xét khả năng sử dụng vị trí Y cho bệnh nhân. Những dữ liệu này không thể được sử dụng để tạo hỗn hợp trước trong túi hoặc ống tiêm. Loại thông tin này có sẵn trong màn hình "Độ ổn định trong hỗn hợp».
Phân tử Dung môi Mục lục
Tương thích
Dạng tiêm Colistin mesilate sodium 4.5 mg/ml
Dạng tiêm Cefiderocol sulfate tosylate 20 mg/mL
Glucose 5% 4528
Tương thích
Dạng tiêm Colistin mesilate sodium 4.5 mg/ml
Dạng tiêm Cefiderocol sulfate tosylate 20 mg/mL
NaCl 0,9% 4528
Tương thích
Dạng tiêm Colistin mesilate sodium 1.5 mg/ml
Dạng tiêm Ceftazidime 5 mg/ml
NaCl 0,9% 3997
Tương thích
Dạng tiêm Colistin mesilate sodium 4.5 mg/ml
Dạng tiêm Ceftolozane / tazobactam 10/5 mg/ml
Glucose 5% 3828
Tương thích
Dạng tiêm Colistin mesilate sodium 4.5 mg/ml
Dạng tiêm Ceftolozane / tazobactam 10/5 mg/ml
NaCl 0,9% 3828
Tương thích
Dạng tiêm Colistin mesilate sodium 1.5 mg/ml
Dạng tiêm Cimetidine hydrochloride 3 mg/ml
Glucose 5% 1201
Không tương thích
Dạng tiêm Colistin mesilate sodium
Khí dung Cromoglycate sodium
2550
Độ đục ngay lập tức Không tương thích
Dạng tiêm Colistin mesilate sodium 4,5 mg/ml
Dạng tiêm Eravacycline 0,6 mg/ml
NaCl 0,9% 4434
Tương thích
Dạng tiêm Colistin mesilate sodium 1.5 mg/ml
Dạng tiêm Ertapenem 5 mg/ml
NaCl 0,9% 3997
Không tương thích không xác định Không tương thích
Dạng tiêm Colistin mesilate sodium
Dạng tiêm Erythromycin lactobionate
3674
Tương thích
Dạng tiêm Colistin mesilate sodium 1.5 mg/ml
Dạng tiêm Fosfomycin 20 mg/ml
NaCl 0,9% 3997
Tương thích
Dạng tiêm Colistin mesilate sodium 4.5 mg/ml
Dạng tiêm Fosfomycin 30 mg/ml
Glucose 5% 4055
Tương thích
Dạng tiêm Colistin mesilate sodium 4.5 mg/ml
Dạng tiêm Fosfomycin 30 mg/ml
NaCl 0,9% 4055
Độ đục ngay lập tức Không tương thích
Dạng tiêm Colistin mesilate sodium 0,67 & 1,5 mg/ml
Dạng tiêm Ibuprofen arginine 4 & 6 mg/ml
NaCl 0,9% 4855
Tương thích
Dạng tiêm Colistin mesilate sodium 1.5 mg/ml
Dạng tiêm Imipenem - cilastatin sodium 5/5 mg/ml
NaCl 0,9% 3997
Độ đục ngay lập tức Không tương thích
Dạng tiêm Colistin mesilate sodium 4.5 mg/ml
Dạng tiêm Isavuconazonium sulfate 1.5 mg/ml
Glucose 5% 3829
Độ đục ngay lập tức Không tương thích
Dạng tiêm Colistin mesilate sodium 4.5 mg/ml
Dạng tiêm Isavuconazonium sulfate 1.5 mg/ml
NaCl 0,9% 3829
Tương thích
Dạng tiêm Colistin mesilate sodium 0,67 & 1,5 mg/ml
Dạng tiêm Ketoprofene 0,4 mg/ml
NaCl 0,9% 4855
Tương thích
Dạng tiêm Colistin mesilate sodium 1.5 mg/ml
Dạng tiêm Linezolid 2 mg/ml
NaCl 0,9% 3997
Tương thích
Dạng tiêm Colistin mesilate sodium 75 mg/ml
Dạng tiêm Meropenem 50 mg/ml
Nước cất pha tiêm 4319
Tương thích
Dạng tiêm Colistin mesilate sodium 1.5 mg/ml
Dạng tiêm Meropenem 10 mg/ml
NaCl 0,9% 3997
Thay đổi màu sắc Không tương thích
Dạng tiêm Colistin mesilate sodium 0,67 & 1,5 mg/ml
Dạng tiêm Metamizol sodium 50 mg/ml
NaCl 0,9% 4855
Thay đổi pH> 1 đơn vị pH Không tương thích
Dạng tiêm Colistin mesilate sodium 0,67 & 1,5 mg/ml
Dạng tiêm Morphine sulfate 2 mg/ml
NaCl 0,9% 4855
Tương thích
Dạng tiêm Colistin mesilate sodium 0,67 & 1,5 mg/ml
Dạng tiêm Paracetamol 10 mg/ml
NaCl 0,9% 4855
Tương thích
Dạng tiêm Colistin mesilate sodium 1.5 mg/ml
Dạng tiêm Piperacillin sodium / tazobactam 40/0.5 mg/ml
NaCl 0,9% 3997
Tương thích
Dạng tiêm Colistin mesilate sodium 4.5 mg/ml
Dạng tiêm Plazomicin sulfate 24 mg/ml
NaCl 0,9% 4145
Tương thích
Dạng tiêm Colistin mesilate sodium 4,5 mg/ml
Dạng tiêm Sulbactam/durlobactam 15/15 mg/ml
NaCl 0,9% 4801
Tương thích
Dạng tiêm Colistin mesilate sodium 4.5 mg/ml
Dạng tiêm Tedizolid phosphate 0.8 mg/ml
NaCl 0,9% 3827
Độ đục ngay lập tức Không tương thích
Dạng tiêm Colistin mesilate sodium 4,5 mg/ml
Dạng tiêm Telavancin hydrochloride 7,5 mg/ml
Glucose 5% 3254
Độ đục ngay lập tức Không tương thích
Dạng tiêm Colistin mesilate sodium 4,5 mg/ml
Dạng tiêm Telavancin hydrochloride 7,5 mg/ml
Dung dịch Ringer’s lactate 3254
Tương thích
Dạng tiêm Colistin mesilate sodium 4,5 mg/ml
Dạng tiêm Telavancin hydrochloride 7,5 mg/ml
NaCl 0,9% 3254
Tương thích
Dạng tiêm Colistin mesilate sodium 0,67 & 1,5 mg/ml
Dạng tiêm Tramadol hydrochloride 5 mg/ml
NaCl 0,9% 4855
Tương thích
Dạng tiêm Colistin mesilate sodium
NaCl 0,9% 4975
Tương thích
Dạng tiêm Colistin mesilate sodium 1.5 mg/ml
Dạng tiêm Vancomycin hydrochloride 10 mg/ml
NaCl 0,9% 3997
Tương thích
Dạng tiêm Colistin mesilate sodium 0,8 mg/ml
Dinh dưỡng đường tĩnh mạch (có lipids) 4438

  Mentions Légales