Siste oppdatering :
18/03/2026
Antibiotika   Colistin mesilate sodium  
Injeksjon
Aerosol
Oppløsningsstabilitet Stabilitet i blandinger Faktorer som påvirker stabiliteten Kompatibilitet Administrasjonsmåte Referanser pdf
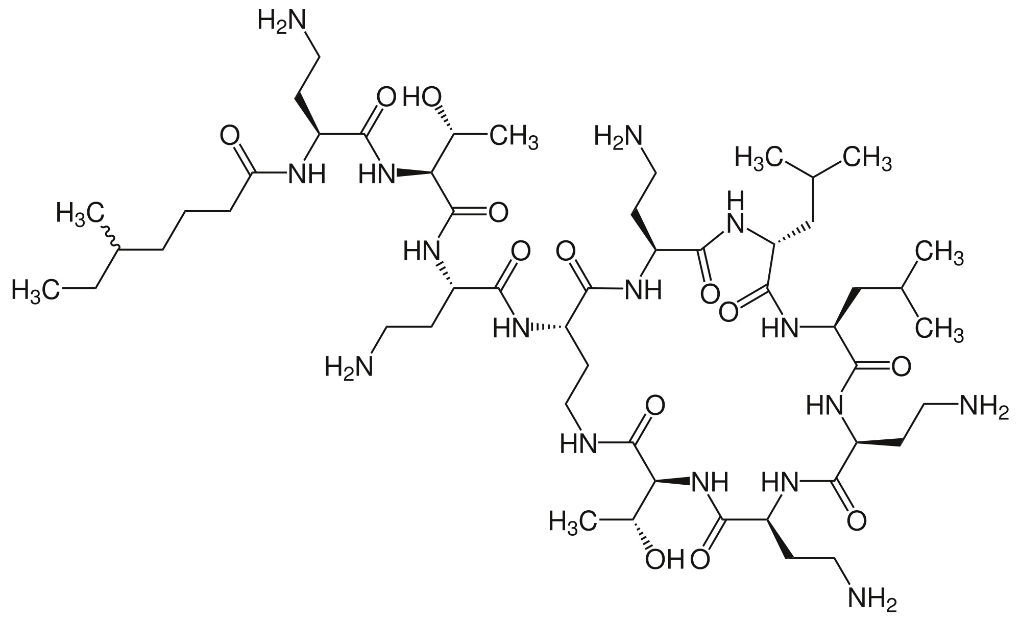
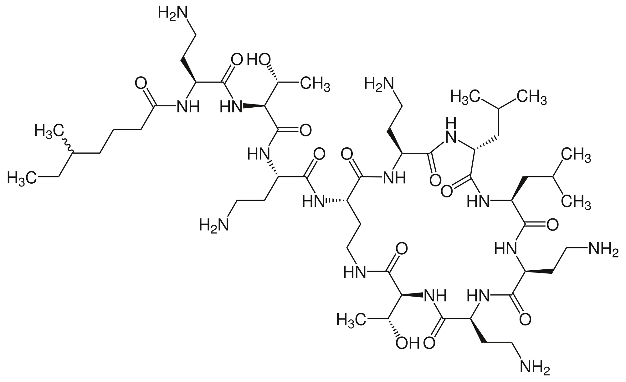
   Kjemisk struktur  

Handelsnavn   Handelsnavn     

Handelsnavn er veiledende og sammensetning av hjelpestoffer kan være forskjellig avhengig av land og produsent

Alficetin Argentina
Colimicina Italia
Colimycin Danmark, Norge, Tyrkia
Colimycine Frankrike, Luxembourg, Marokko, Nederland, Tunisia
Colismet Peru
Colistimethate Canada, Frankrike, Storbritannia, USA
Colistin Hellas, New Zealand, Polen, Tyskland, Østerrike
Colistina Argentina, Chile, Portugal
Colistineb Belgia
Colistyn Argentina
Colixin Slovenia
Colomycin Canada, Irland, Malaysia, Storbritannia, USA
Dicupal Chile
Elistin Peru
Kolisod Tyrkia
Nolisin
Promixin Irland, Norge, Storbritannia, Tyskland
Toliscrin Argentina
Kompatibilitet   Injeksjon   Kompatibilitet : Colistin mesilate sodium              
Dette skjermbildet viser kompatibilitet eller inkompatibilitet med, i dette tilfellet, typen inkompatibilitet (nedbør, fargeendring, modifisering av en emulsjon, etc.). Kompatibilitetene som er vist her, er for det meste bare fysiske, og den kjemiske stabiliteten til hvert molekyl blir sjelden vurdert. Evalueringen av disse blandingene ble studert for å vurdere muligheten for Y-stedadministrasjon til pasienten. Disse dataene kan ikke brukes til å lage blandinger på forhånd i poser eller sprøyter. Denne typen informasjon er tilgjengelig på skjermen "Stabilitet i blanding".
Legemiddel Oppløsningsmiddel Referanser
Kompatibel
Injeksjon Colistin mesilate sodium 4.5 mg/ml
Injeksjon Cefiderocol sulfate tosylate 20 mg/mL
Glukose 5 % 4528
Kompatibel
Injeksjon Colistin mesilate sodium 4.5 mg/ml
Injeksjon Cefiderocol sulfate tosylate 20 mg/mL
Natriumklorid 0,9 % 4528
Kompatibel
Injeksjon Colistin mesilate sodium 1.5 mg/ml
Injeksjon Ceftazidime 5 mg/ml
Natriumklorid 0,9 % 3997
Kompatibel
Injeksjon Colistin mesilate sodium 4.5 mg/ml
Injeksjon Ceftolozane / tazobactam 10/5 mg/ml
Glukose 5 % 3828
Kompatibel
Injeksjon Colistin mesilate sodium 4.5 mg/ml
Injeksjon Ceftolozane / tazobactam 10/5 mg/ml
Natriumklorid 0,9 % 3828
Kompatibel
Injeksjon Colistin mesilate sodium 1.5 mg/ml
Injeksjon Cimetidine hydrochloride 3 mg/ml
Glukose 5 % 1201
Uforenlig
Injeksjon Colistin mesilate sodium
Aerosol Cromoglycate sodium
2550
Umiddelbar turbiditet Uforenlig
Injeksjon Colistin mesilate sodium 4,5 mg/ml
Injeksjon Eravacycline 0,6 mg/ml
Natriumklorid 0,9 % 4434
Kompatibel
Injeksjon Colistin mesilate sodium 1.5 mg/ml
Injeksjon Ertapenem 5 mg/ml
Natriumklorid 0,9 % 3997
Uspesifisert inkompatibilitet Uforenlig
Injeksjon Colistin mesilate sodium
Injeksjon Erythromycin lactobionate
3674
Kompatibel
Injeksjon Colistin mesilate sodium 1.5 mg/ml
Injeksjon Fosfomycin 20 mg/ml
Natriumklorid 0,9 % 3997
Kompatibel
Injeksjon Colistin mesilate sodium 4.5 mg/ml
Injeksjon Fosfomycin 30 mg/ml
Glukose 5 % 4055
Kompatibel
Injeksjon Colistin mesilate sodium 4.5 mg/ml
Injeksjon Fosfomycin 30 mg/ml
Natriumklorid 0,9 % 4055
Umiddelbar turbiditet Uforenlig
Injeksjon Colistin mesilate sodium 0,67 & 1,5 mg/ml
Injeksjon Ibuprofen arginine 4 & 6 mg/ml
Natriumklorid 0,9 % 4855
Kompatibel
Injeksjon Colistin mesilate sodium 1.5 mg/ml
Injeksjon Imipenem - cilastatin sodium 5/5 mg/ml
Natriumklorid 0,9 % 3997
Umiddelbar turbiditet Uforenlig
Injeksjon Colistin mesilate sodium 4.5 mg/ml
Injeksjon Isavuconazonium sulfate 1.5 mg/ml
Glukose 5 % 3829
Umiddelbar turbiditet Uforenlig
Injeksjon Colistin mesilate sodium 4.5 mg/ml
Injeksjon Isavuconazonium sulfate 1.5 mg/ml
Natriumklorid 0,9 % 3829
Kompatibel
Injeksjon Colistin mesilate sodium 0,67 & 1,5 mg/ml
Injeksjon Ketoprofene 0,4 mg/ml
Natriumklorid 0,9 % 4855
Kompatibel
Injeksjon Colistin mesilate sodium 1.5 mg/ml
Injeksjon Linezolid 2 mg/ml
Natriumklorid 0,9 % 3997
Kompatibel
Injeksjon Colistin mesilate sodium 75 mg/ml
Injeksjon Meropenem 50 mg/ml
Vann til injeksjon 4319
Kompatibel
Injeksjon Colistin mesilate sodium 1.5 mg/ml
Injeksjon Meropenem 10 mg/ml
Natriumklorid 0,9 % 3997
Fargeendring Uforenlig
Injeksjon Colistin mesilate sodium 0,67 & 1,5 mg/ml
Injeksjon Metamizol sodium 50 mg/ml
Natriumklorid 0,9 % 4855
Modifisering av pH> 1 pH-enhet Uforenlig
Injeksjon Colistin mesilate sodium 0,67 & 1,5 mg/ml
Injeksjon Morphine sulfate 2 mg/ml
Natriumklorid 0,9 % 4855
Kompatibel
Injeksjon Colistin mesilate sodium 0,67 & 1,5 mg/ml
Injeksjon Paracetamol 10 mg/ml
Natriumklorid 0,9 % 4855
Kompatibel
Injeksjon Colistin mesilate sodium 1.5 mg/ml
Injeksjon Piperacillin sodium / tazobactam 40/0.5 mg/ml
Natriumklorid 0,9 % 3997
Kompatibel
Injeksjon Colistin mesilate sodium 4.5 mg/ml
Injeksjon Plazomicin sulfate 24 mg/ml
Natriumklorid 0,9 % 4145
Kompatibel
Injeksjon Colistin mesilate sodium 4,5 mg/ml
Injeksjon Sulbactam/durlobactam 15/15 mg/ml
Natriumklorid 0,9 % 4801
Kompatibel
Injeksjon Colistin mesilate sodium 4.5 mg/ml
Injeksjon Tedizolid phosphate 0.8 mg/ml
Natriumklorid 0,9 % 3827
Umiddelbar turbiditet Uforenlig
Injeksjon Colistin mesilate sodium 4,5 mg/ml
Injeksjon Telavancin hydrochloride 7,5 mg/ml
Glukose 5 % 3254
Umiddelbar turbiditet Uforenlig
Injeksjon Colistin mesilate sodium 4,5 mg/ml
Injeksjon Telavancin hydrochloride 7,5 mg/ml
Ringers laktatoppløsning 3254
Kompatibel
Injeksjon Colistin mesilate sodium 4,5 mg/ml
Injeksjon Telavancin hydrochloride 7,5 mg/ml
Natriumklorid 0,9 % 3254
Kompatibel
Injeksjon Colistin mesilate sodium 0,67 & 1,5 mg/ml
Injeksjon Tramadol hydrochloride 5 mg/ml
Natriumklorid 0,9 % 4855
Kompatibel
Injeksjon Colistin mesilate sodium
Natriumklorid 0,9 % 4975
Kompatibel
Injeksjon Colistin mesilate sodium 1.5 mg/ml
Injeksjon Vancomycin hydrochloride 10 mg/ml
Natriumklorid 0,9 % 3997
Kompatibel
Injeksjon Colistin mesilate sodium 0,8 mg/ml
Parenteral ernæring (med lipider) 4438

  Mentions Légales