Seneste opdatering :
18/03/2026
Antibiotisk   Colistin mesilate sodium  
Injektion
Aerosol
Stabilitet i (vandige) opløsninger Stabilitet i blandinger Faktorer der påvirker stabiliteten Kompatibilitet Administrationsvej Bibliografi pdf
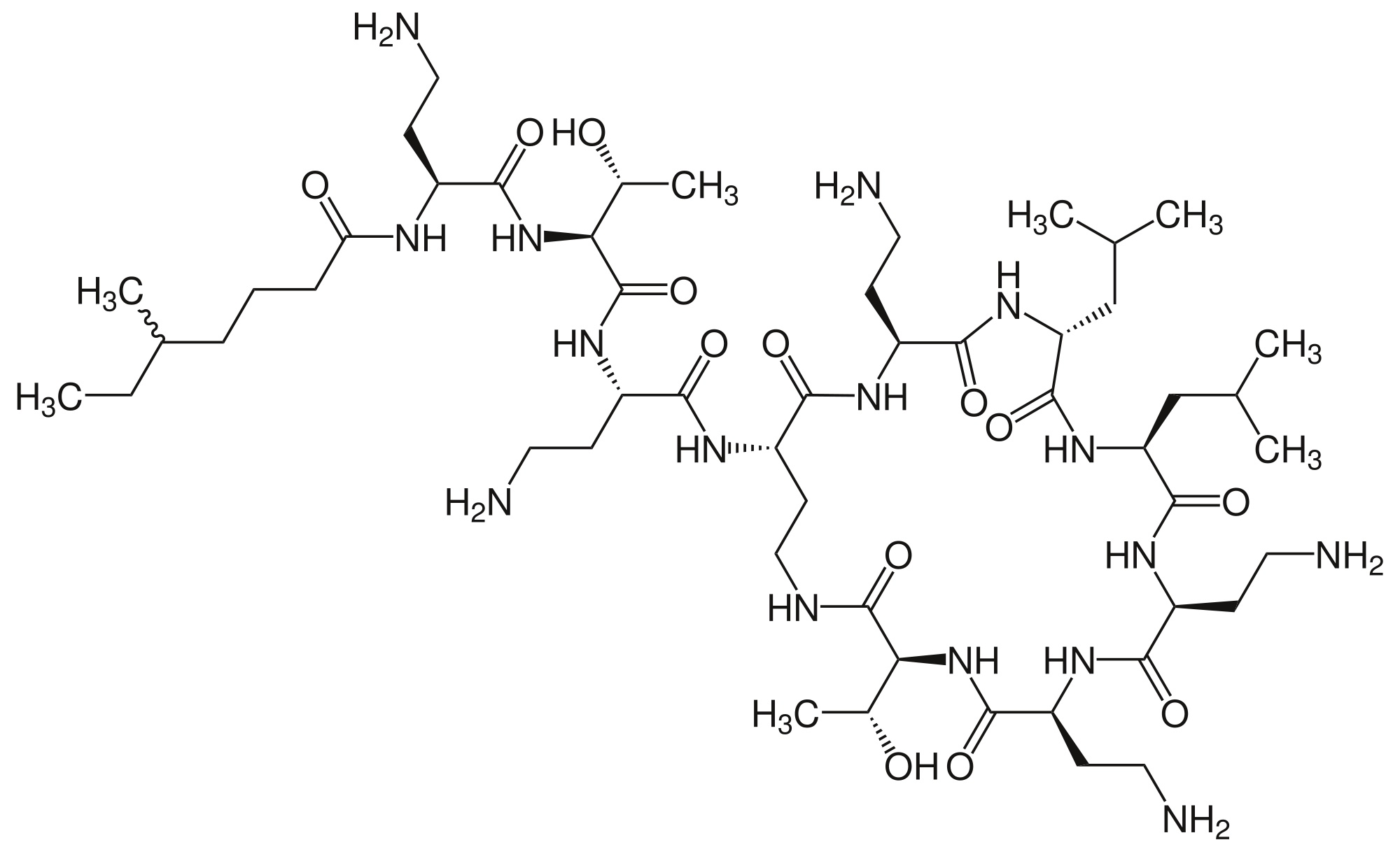
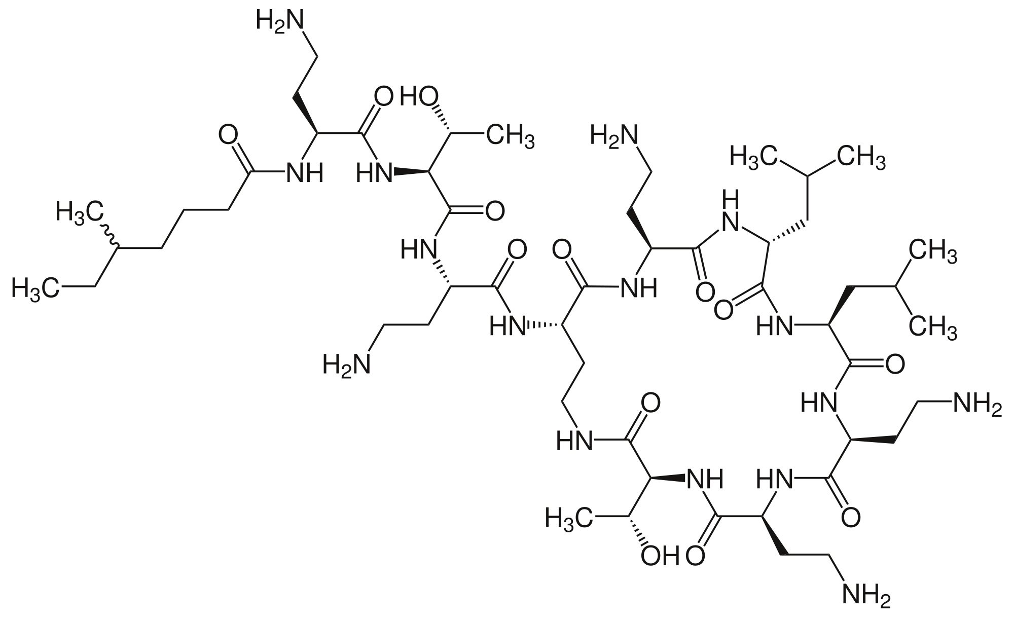
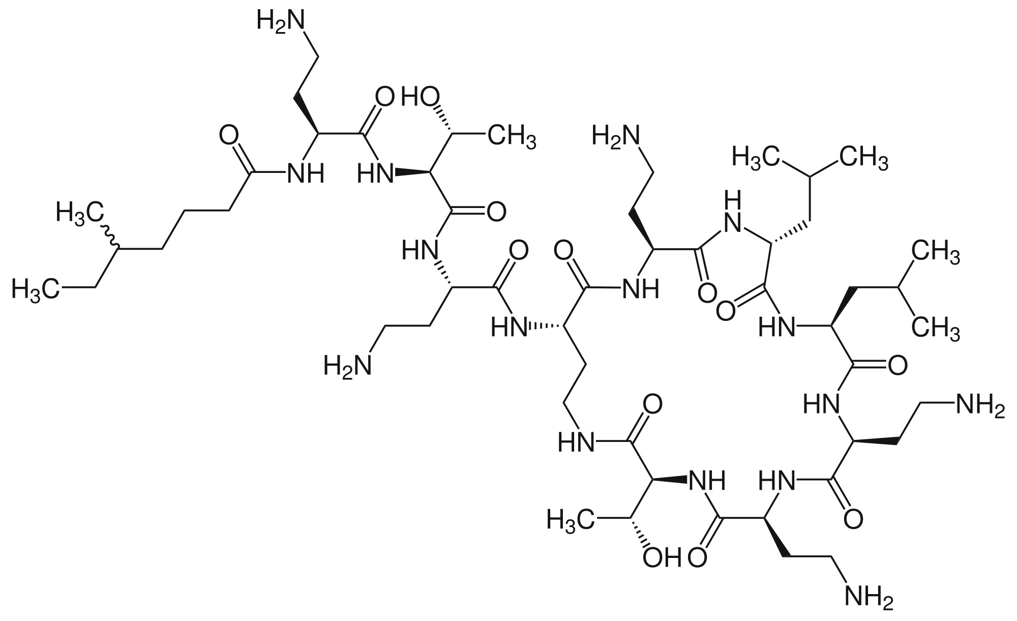
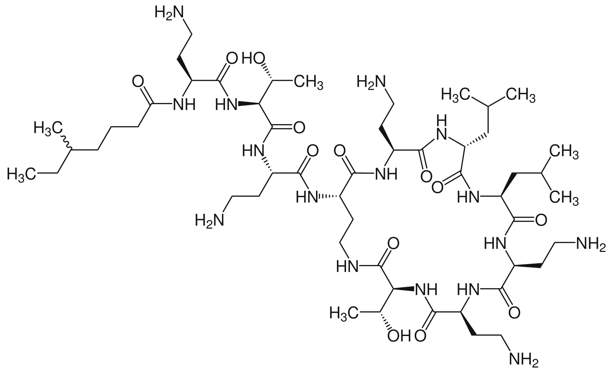
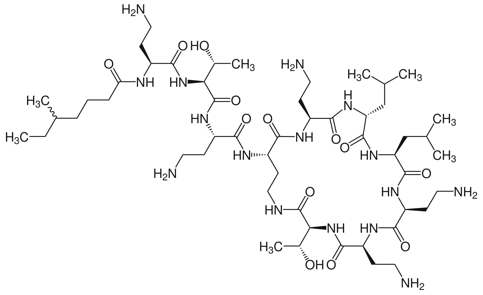
   Kemisk struktur  

Handelsnavn   Handelsnavn     

Handel navne er vejledende og hjælpestoffer sammensætning kan være forskellig afhængigt af landet og laboratorier

Alficetin Argentina
Colimicina Italien
Colimycin Danmark, Norge, Tyrkiet
Colimycine Frankrig, Holland, Luxemborg, Marokko, Tunesien
Colismet Marokko
Colistimethate Canada, Frankrig, Storbritanien, USA
Colistin Grækenland, New Zealand, Polen, Tyskland, Østrig
Colistina Argentina, Chile, Portugal
Colistineb Belgien
Colistyn Argentina
Colixin Slovenien
Colomycin Canada, Irland, Malaysia, Storbritanien, USA
Dicupal Chile
Elistin Marokko
Kolisod Tyrkiet
Nolisin
Promixin Irland, Norge, Storbritanien, Tyskland
Toliscrin Argentina
Kompatibilitet   Injektion   Kompatibilitet : Colistin mesilate sodium              
Denne skærm viser kompatibilitet eller uforenelighed med, i dette tilfælde typen af inkompatibilitet (udfældning, farveændring, ændring af en emulsion osv.). Kompatibiliteterne vist her er for det meste kun fysiske, idet den kemiske stabilitet af hvert molekyle sjældent vurderes. Evalueringen af disse blandinger blev undersøgt for at overveje muligheden for Y-sted-administration til patienten. Disse data kan ikke bruges til at fremstille blandinger på forhånd i poser eller sprøjter. Denne type information findes på skærmen "Stabilitet i blanding".
Molekyle Opløsningsmiddel Bibliografi
Kompatibel
Injektion Colistin mesilate sodium 4.5 mg/ml
Injektion Cefiderocol sulfate tosylate 20 mg/mL
5 % Glukose 4528
Kompatibel
Injektion Colistin mesilate sodium 4.5 mg/ml
Injektion Cefiderocol sulfate tosylate 20 mg/mL
0,9 % Natriumklorid 4528
Kompatibel
Injektion Colistin mesilate sodium 1.5 mg/ml
Injektion Ceftazidime 5 mg/ml
0,9 % Natriumklorid 3997
Kompatibel
Injektion Colistin mesilate sodium 4.5 mg/ml
Injektion Ceftolozane / tazobactam 10/5 mg/ml
5 % Glukose 3828
Kompatibel
Injektion Colistin mesilate sodium 4.5 mg/ml
Injektion Ceftolozane / tazobactam 10/5 mg/ml
0,9 % Natriumklorid 3828
Kompatibel
Injektion Colistin mesilate sodium 1.5 mg/ml
Injektion Cimetidine hydrochloride 3 mg/ml
5 % Glukose 1201
Uforenelig
Injektion Colistin mesilate sodium
Aerosol Cromoglycate sodium
2550
Umiddelbar turbiditet Uforenelig
Injektion Colistin mesilate sodium 4,5 mg/ml
Injektion Eravacycline 0,6 mg/ml
0,9 % Natriumklorid 4434
Kompatibel
Injektion Colistin mesilate sodium 1.5 mg/ml
Injektion Ertapenem 5 mg/ml
0,9 % Natriumklorid 3997
Uspecificeret inkompatibilitet Uforenelig
Injektion Colistin mesilate sodium
Injektion Erythromycin lactobionate
3674
Kompatibel
Injektion Colistin mesilate sodium 1.5 mg/ml
Injektion Fosfomycin 20 mg/ml
0,9 % Natriumklorid 3997
Kompatibel
Injektion Colistin mesilate sodium 4.5 mg/ml
Injektion Fosfomycin 30 mg/ml
5 % Glukose 4055
Kompatibel
Injektion Colistin mesilate sodium 4.5 mg/ml
Injektion Fosfomycin 30 mg/ml
0,9 % Natriumklorid 4055
Umiddelbar turbiditet Uforenelig
Injektion Colistin mesilate sodium 0,67 & 1,5 mg/ml
Injektion Ibuprofen arginine 4 & 6 mg/ml
0,9 % Natriumklorid 4855
Kompatibel
Injektion Colistin mesilate sodium 1.5 mg/ml
Injektion Imipenem - cilastatin sodium 5/5 mg/ml
0,9 % Natriumklorid 3997
Umiddelbar turbiditet Uforenelig
Injektion Colistin mesilate sodium 4.5 mg/ml
Injektion Isavuconazonium sulfate 1.5 mg/ml
5 % Glukose 3829
Umiddelbar turbiditet Uforenelig
Injektion Colistin mesilate sodium 4.5 mg/ml
Injektion Isavuconazonium sulfate 1.5 mg/ml
0,9 % Natriumklorid 3829
Kompatibel
Injektion Colistin mesilate sodium 0,67 & 1,5 mg/ml
Injektion Ketoprofene 0,4 mg/ml
0,9 % Natriumklorid 4855
Kompatibel
Injektion Colistin mesilate sodium 1.5 mg/ml
Injektion Linezolid 2 mg/ml
0,9 % Natriumklorid 3997
Kompatibel
Injektion Colistin mesilate sodium 75 mg/ml
Injektion Meropenem 50 mg/ml
Vand til injektion 4319
Kompatibel
Injektion Colistin mesilate sodium 1.5 mg/ml
Injektion Meropenem 10 mg/ml
0,9 % Natriumklorid 3997
Farveændring Uforenelig
Injektion Colistin mesilate sodium 0,67 & 1,5 mg/ml
Injektion Metamizol sodium 50 mg/ml
0,9 % Natriumklorid 4855
Ændring af pH> 1 pH-enhed Uforenelig
Injektion Colistin mesilate sodium 0,67 & 1,5 mg/ml
Injektion Morphine sulfate 2 mg/ml
0,9 % Natriumklorid 4855
Kompatibel
Injektion Colistin mesilate sodium 0,67 & 1,5 mg/ml
Injektion Paracetamol 10 mg/ml
0,9 % Natriumklorid 4855
Kompatibel
Injektion Colistin mesilate sodium 1.5 mg/ml
Injektion Piperacillin sodium / tazobactam 40/0.5 mg/ml
0,9 % Natriumklorid 3997
Kompatibel
Injektion Colistin mesilate sodium 4.5 mg/ml
Injektion Plazomicin sulfate 24 mg/ml
0,9 % Natriumklorid 4145
Kompatibel
Injektion Colistin mesilate sodium 4,5 mg/ml
Injektion Sulbactam/durlobactam 15/15 mg/ml
0,9 % Natriumklorid 4801
Kompatibel
Injektion Colistin mesilate sodium 4.5 mg/ml
Injektion Tedizolid phosphate 0.8 mg/ml
0,9 % Natriumklorid 3827
Umiddelbar turbiditet Uforenelig
Injektion Colistin mesilate sodium 4,5 mg/ml
Injektion Telavancin hydrochloride 7,5 mg/ml
5 % Glukose 3254
Umiddelbar turbiditet Uforenelig
Injektion Colistin mesilate sodium 4,5 mg/ml
Injektion Telavancin hydrochloride 7,5 mg/ml
Ringer laktat 3254
Kompatibel
Injektion Colistin mesilate sodium 4,5 mg/ml
Injektion Telavancin hydrochloride 7,5 mg/ml
0,9 % Natriumklorid 3254
Kompatibel
Injektion Colistin mesilate sodium 0,67 & 1,5 mg/ml
Injektion Tramadol hydrochloride 5 mg/ml
0,9 % Natriumklorid 4855
Kompatibel
Injektion Colistin mesilate sodium
0,9 % Natriumklorid 4975
Kompatibel
Injektion Colistin mesilate sodium 1.5 mg/ml
Injektion Vancomycin hydrochloride 10 mg/ml
0,9 % Natriumklorid 3997
Kompatibel
Injektion Colistin mesilate sodium 0,8 mg/ml
Parenteral ernæring (lipider) 4438

  Mentions Légales