Ostatnia aktualizacja :
18/03/2026
Antybiotyk   Colistin mesilate sodium  
Injekcje
Aerozol
Trwałość roztworów Trwałość w mieszaninie Czynnik wpływający na trwałość Zgodność Sposób podania Bibliografia pdf
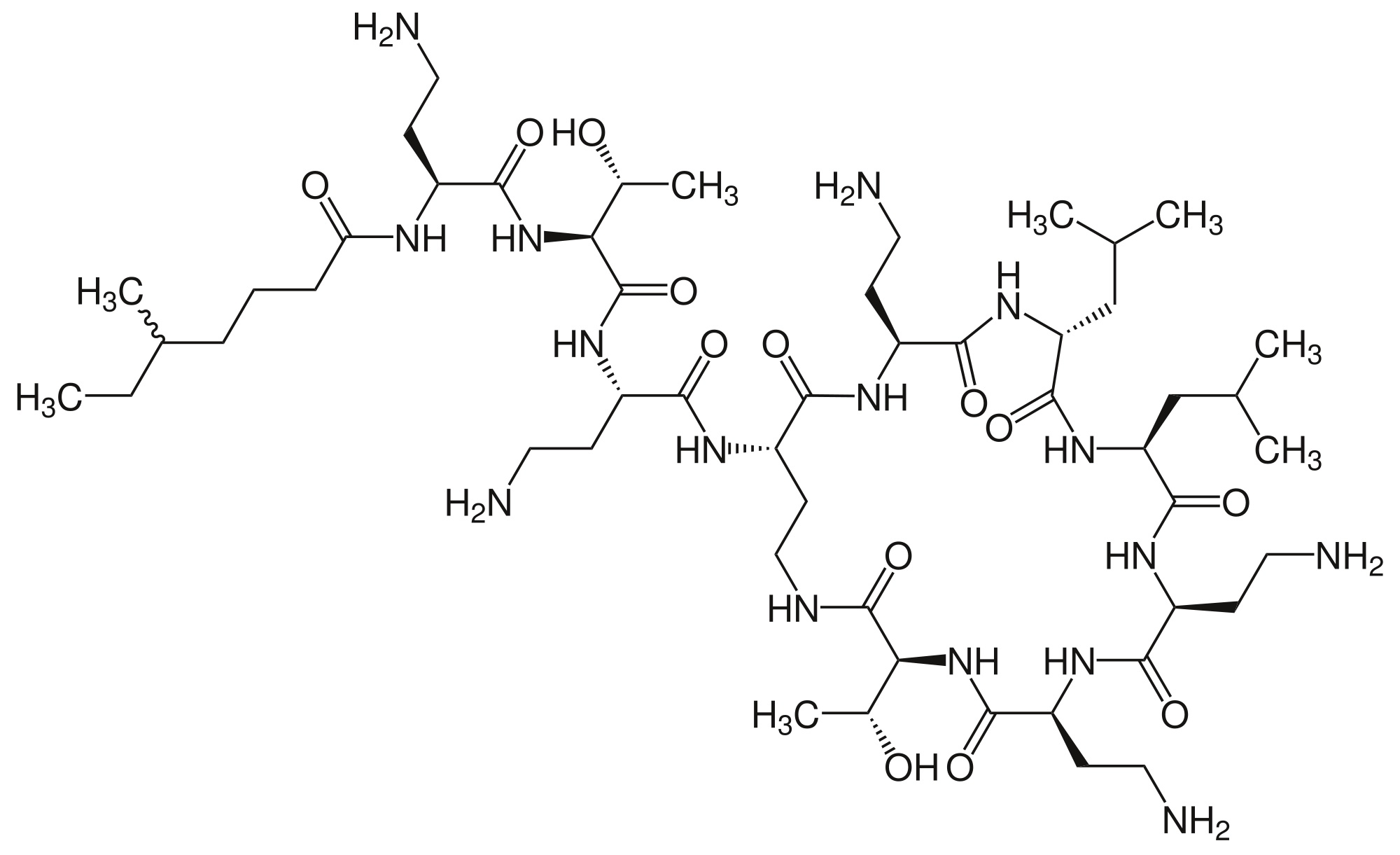
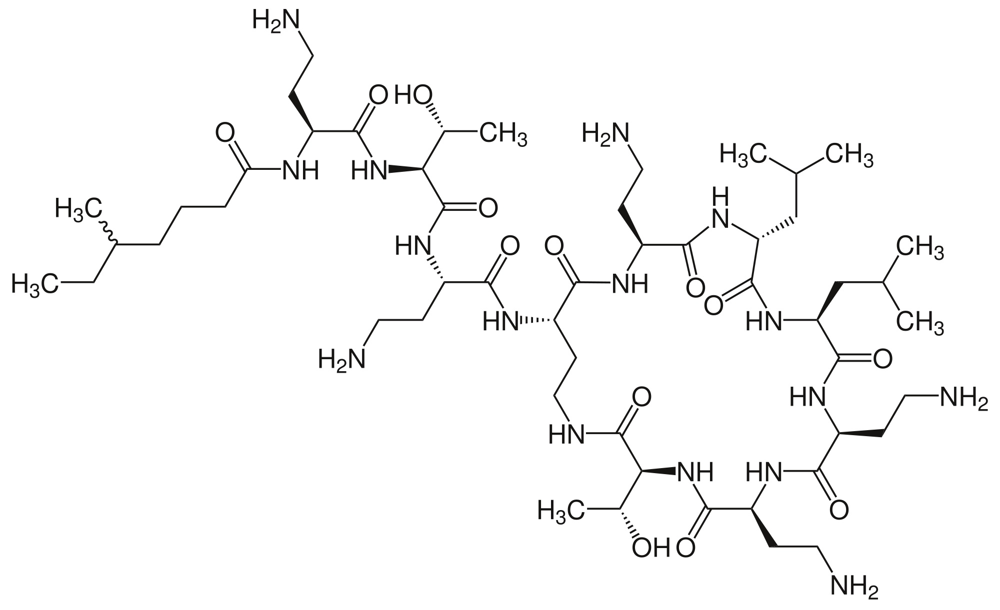
   Struktura chemiczna  

Nazwa handlowa   Nazwa handlowa     

Trade names are indicative and excipients composition can be different depending on the country and manufacturers

Alficetin Argentyna
Colimicina Włochy
Colimycin Dania, Norwegia, Turcja
Colimycine Francja , Holandia, Luksemburg, Maroko, Tunisie
Colismet Peru
Colistimethate Francja , Kanada, Stany Zjednoczone Ameryki, Wielka Brytania
Colistin Austria, Grecja, Niemcy, nowa Zelandia, Polska
Colistina Argentyna, Chile, Portugalia
Colistineb Belgia
Colistyn Argentyna
Colixin Słowenia
Colomycin Irlandia, Kanada, Malezja, Stany Zjednoczone Ameryki, Wielka Brytania
Dicupal Chile
Elistin Peru
Kolisod Turcja
Nolisin
Promixin Irlandia, Niemcy, Norwegia, Wielka Brytania
Toliscrin Argentyna
Zgodność   Injekcje   Zgodność : Colistin mesilate sodium              
Ekran ten wskazuje na kompatybilności lub niezgodności z, w tym przypadku, rodzajem niezgodności (strącanie, zmiana koloru, modyfikacja emulsji, itp.). Przedstawione tutaj kompatybilności są głównie fizyczne, a stabilność chemiczna każdej cząsteczki jest rzadko oceniana. Ocenę tych mieszanin badano w celu rozważenia możliwości podania pacjentowi w miejscu Y. Dane te nie mogą być wykorzystywane do sporządzania mieszanin z wyprzedzeniem w workach lub strzykawkach. Tego typu informacje są dostępne na ekranie „Stabilność w mieszaninie”.
Związek Rozpuszczalnik Bibliografia
Zgodny
Injekcje Colistin mesilate sodium 4.5 mg/ml
Injekcje Cefiderocol sulfate tosylate 20 mg/mL
Glukoza 5% 4528
Zgodny
Injekcje Colistin mesilate sodium 4.5 mg/ml
Injekcje Cefiderocol sulfate tosylate 20 mg/mL
Chlorek sodu 0,9% 4528
Zgodny
Injekcje Colistin mesilate sodium 1.5 mg/ml
Injekcje Ceftazidime 5 mg/ml
Chlorek sodu 0,9% 3997
Zgodny
Injekcje Colistin mesilate sodium 4.5 mg/ml
Injekcje Ceftolozane / tazobactam 10/5 mg/ml
Glukoza 5% 3828
Zgodny
Injekcje Colistin mesilate sodium 4.5 mg/ml
Injekcje Ceftolozane / tazobactam 10/5 mg/ml
Chlorek sodu 0,9% 3828
Zgodny
Injekcje Colistin mesilate sodium 1.5 mg/ml
Injekcje Cimetidine hydrochloride 3 mg/ml
Glukoza 5% 1201
Niekompatybilny
Injekcje Colistin mesilate sodium
Aerozol Cromoglycate sodium
2550
Natychmiastowe zmętnienie Niekompatybilny
Injekcje Colistin mesilate sodium 4,5 mg/ml
Injekcje Eravacycline 0,6 mg/ml
Chlorek sodu 0,9% 4434
Zgodny
Injekcje Colistin mesilate sodium 1.5 mg/ml
Injekcje Ertapenem 5 mg/ml
Chlorek sodu 0,9% 3997
Nieokreślona niezgodność Niekompatybilny
Injekcje Colistin mesilate sodium
Injekcje Erythromycin lactobionate
3674
Zgodny
Injekcje Colistin mesilate sodium 1.5 mg/ml
Injekcje Fosfomycin 20 mg/ml
Chlorek sodu 0,9% 3997
Zgodny
Injekcje Colistin mesilate sodium 4.5 mg/ml
Injekcje Fosfomycin 30 mg/ml
Glukoza 5% 4055
Zgodny
Injekcje Colistin mesilate sodium 4.5 mg/ml
Injekcje Fosfomycin 30 mg/ml
Chlorek sodu 0,9% 4055
Natychmiastowe zmętnienie Niekompatybilny
Injekcje Colistin mesilate sodium 0,67 & 1,5 mg/ml
Injekcje Ibuprofen arginine 4 & 6 mg/ml
Chlorek sodu 0,9% 4855
Zgodny
Injekcje Colistin mesilate sodium 1.5 mg/ml
Injekcje Imipenem - cilastatin sodium 5/5 mg/ml
Chlorek sodu 0,9% 3997
Natychmiastowe zmętnienie Niekompatybilny
Injekcje Colistin mesilate sodium 4.5 mg/ml
Injekcje Isavuconazonium sulfate 1.5 mg/ml
Glukoza 5% 3829
Natychmiastowe zmętnienie Niekompatybilny
Injekcje Colistin mesilate sodium 4.5 mg/ml
Injekcje Isavuconazonium sulfate 1.5 mg/ml
Chlorek sodu 0,9% 3829
Zgodny
Injekcje Colistin mesilate sodium 0,67 & 1,5 mg/ml
Injekcje Ketoprofene 0,4 mg/ml
Chlorek sodu 0,9% 4855
Zgodny
Injekcje Colistin mesilate sodium 1.5 mg/ml
Injekcje Linezolid 2 mg/ml
Chlorek sodu 0,9% 3997
Zgodny
Injekcje Colistin mesilate sodium 75 mg/ml
Injekcje Meropenem 50 mg/ml
Woda do wstrzyknięć 4319
Zgodny
Injekcje Colistin mesilate sodium 1.5 mg/ml
Injekcje Meropenem 10 mg/ml
Chlorek sodu 0,9% 3997
Zmiana koloru Niekompatybilny
Injekcje Colistin mesilate sodium 0,67 & 1,5 mg/ml
Injekcje Metamizol sodium 50 mg/ml
Chlorek sodu 0,9% 4855
Modyfikacja pH> 1 jednostka pH Niekompatybilny
Injekcje Colistin mesilate sodium 0,67 & 1,5 mg/ml
Injekcje Morphine sulfate 2 mg/ml
Chlorek sodu 0,9% 4855
Zgodny
Injekcje Colistin mesilate sodium 0,67 & 1,5 mg/ml
Injekcje Paracetamol 10 mg/ml
Chlorek sodu 0,9% 4855
Zgodny
Injekcje Colistin mesilate sodium 1.5 mg/ml
Injekcje Piperacillin sodium / tazobactam 40/0.5 mg/ml
Chlorek sodu 0,9% 3997
Zgodny
Injekcje Colistin mesilate sodium 4.5 mg/ml
Injekcje Plazomicin sulfate 24 mg/ml
Chlorek sodu 0,9% 4145
Zgodny
Injekcje Colistin mesilate sodium 4,5 mg/ml
Injekcje Sulbactam/durlobactam 15/15 mg/ml
Chlorek sodu 0,9% 4801
Zgodny
Injekcje Colistin mesilate sodium 4.5 mg/ml
Injekcje Tedizolid phosphate 0.8 mg/ml
Chlorek sodu 0,9% 3827
Natychmiastowe zmętnienie Niekompatybilny
Injekcje Colistin mesilate sodium 4,5 mg/ml
Injekcje Telavancin hydrochloride 7,5 mg/ml
Glukoza 5% 3254
Natychmiastowe zmętnienie Niekompatybilny
Injekcje Colistin mesilate sodium 4,5 mg/ml
Injekcje Telavancin hydrochloride 7,5 mg/ml
Roztwór Ringera z mleczanem sodowym 3254
Zgodny
Injekcje Colistin mesilate sodium 4,5 mg/ml
Injekcje Telavancin hydrochloride 7,5 mg/ml
Chlorek sodu 0,9% 3254
Zgodny
Injekcje Colistin mesilate sodium 0,67 & 1,5 mg/ml
Injekcje Tramadol hydrochloride 5 mg/ml
Chlorek sodu 0,9% 4855
Zgodny
Injekcje Colistin mesilate sodium
Chlorek sodu 0,9% 4975
Zgodny
Injekcje Colistin mesilate sodium 1.5 mg/ml
Injekcje Vancomycin hydrochloride 10 mg/ml
Chlorek sodu 0,9% 3997
Zgodny
Injekcje Colistin mesilate sodium 0,8 mg/ml
Żywienie pozajelitowe (lipidami) 4438

  Mentions Légales