zadnja posodobitev :
18/03/2026
Antibiotik   Colistin mesilate sodium  
Brizgalka
Aerosol
Stabilnost raztopine Stabilnost mešanice Faktorji, ki vplivajo na stabilnost Kompatibilnost način aplikacije Viri pdf
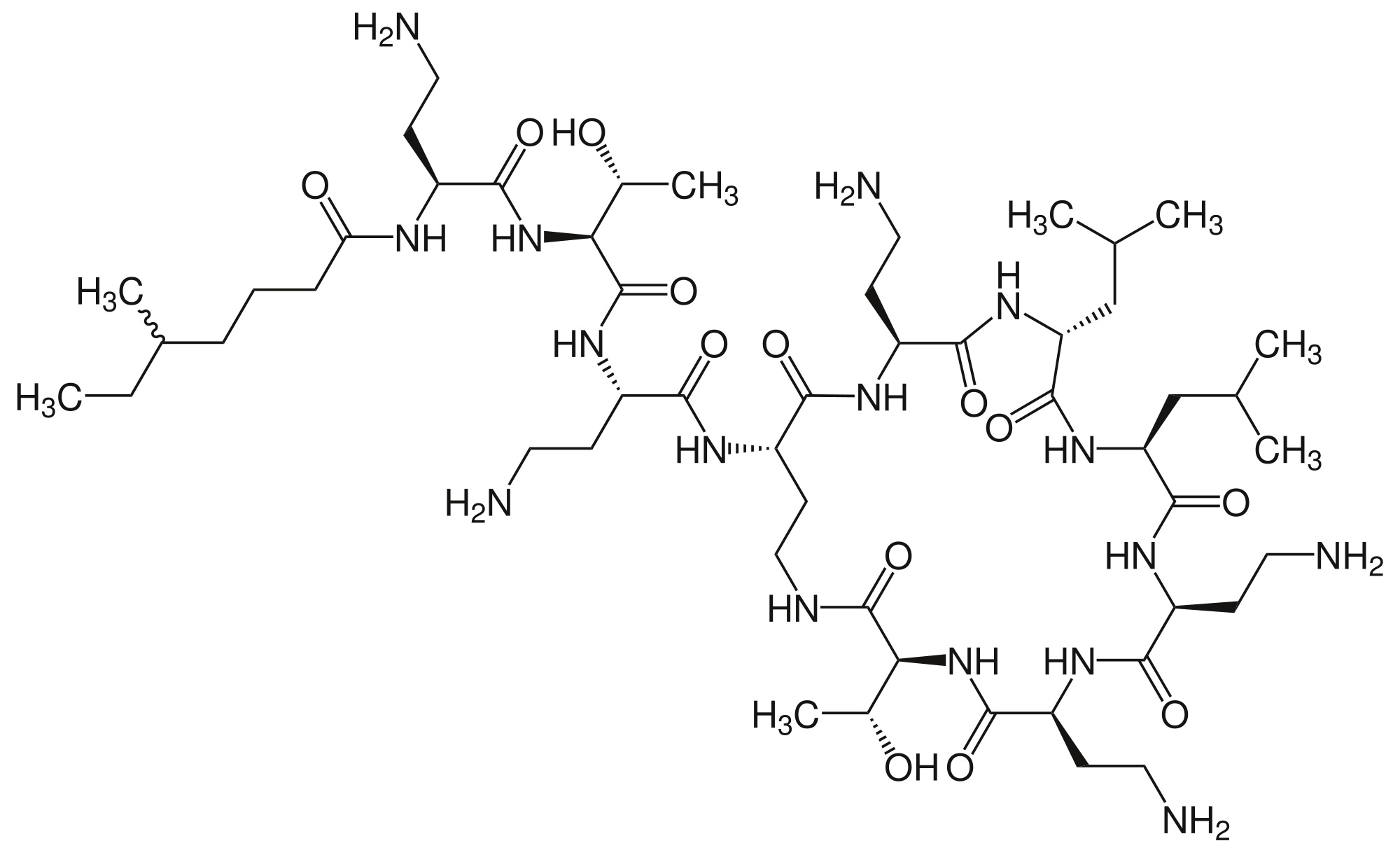
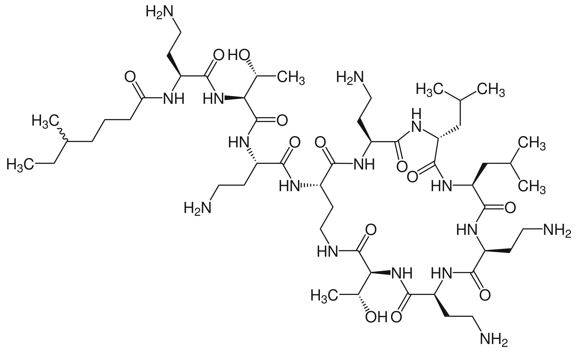
   Kemična formula  

Lastniško ime   Lastniško ime     

Sestava pomožnih snovi je med paralelami lahko različna

Alficetin Argentina
Colimicina Italija
Colimycin Danska, Norveška, Turčija
Colimycine Francija, Luksemburg, Maroko, Nizozemska, Tunizija
Colismet Peru
Colistimethate Francija, Kanada, Velika Britanija, Združene države Amerike
Colistin Avstrija, Grčija, Nemčija, nova Zelandija, Poljska
Colistina Argentina, Čile, Portugalska
Colistineb Belgija
Colistyn Argentina
Colixin Slovenija
Colomycin Irska, Kanada, Malezija, Velika Britanija, Združene države Amerike
Dicupal Čile
Elistin Peru
Kolisod Turčija
Nolisin
Promixin Irska, Nemčija, Norveška, Velika Britanija
Toliscrin Argentina
Kompatibilnost   Brizgalka   Kompatibilnost : Colistin mesilate sodium              
Ta zaslon prikazuje združljivost ali nezdružljivost s, v tem primeru, vrsto nezdružljivosti (padavine, sprememba barve, sprememba emulzije itd.). Tu prikazane združljivosti so večinoma samo fizične, pri čemer se kemijska stabilnost vsake molekule redko ocenjuje. Vrednotenje teh zmesi so preučevali, da bi preučili možnost pacientovega dajanja na mestu Y. Teh podatkov ni mogoče uporabiti za pripravo mešanic v vrečkah ali brizgah. Ta vrsta informacij je na voljo na zaslonu "Obstojnost v mešanici".
Sestava Topilo Viri
Združljivo
Brizgalka Colistin mesilate sodium 4.5 mg/ml
Brizgalka Cefiderocol sulfate tosylate 20 mg/mL
Glukoza 5% 4528
Združljivo
Brizgalka Colistin mesilate sodium 4.5 mg/ml
Brizgalka Cefiderocol sulfate tosylate 20 mg/mL
Natrijev klorid 0,9% 4528
Združljivo
Brizgalka Colistin mesilate sodium 1.5 mg/ml
Brizgalka Ceftazidime 5 mg/ml
Natrijev klorid 0,9% 3997
Združljivo
Brizgalka Colistin mesilate sodium 4.5 mg/ml
Brizgalka Ceftolozane / tazobactam 10/5 mg/ml
Glukoza 5% 3828
Združljivo
Brizgalka Colistin mesilate sodium 4.5 mg/ml
Brizgalka Ceftolozane / tazobactam 10/5 mg/ml
Natrijev klorid 0,9% 3828
Združljivo
Brizgalka Colistin mesilate sodium 1.5 mg/ml
Brizgalka Cimetidine hydrochloride 3 mg/ml
Glukoza 5% 1201
Nezdružljivo
Brizgalka Colistin mesilate sodium
Aerosol Cromoglycate sodium
2550
Takojšnja motnost Nezdružljivo
Brizgalka Colistin mesilate sodium 4,5 mg/ml
Brizgalka Eravacycline 0,6 mg/ml
Natrijev klorid 0,9% 4434
Združljivo
Brizgalka Colistin mesilate sodium 1.5 mg/ml
Brizgalka Ertapenem 5 mg/ml
Natrijev klorid 0,9% 3997
Nedoločena nezdružljivost Nezdružljivo
Brizgalka Colistin mesilate sodium
Brizgalka Erythromycin lactobionate
3674
Združljivo
Brizgalka Colistin mesilate sodium 1.5 mg/ml
Brizgalka Fosfomycin 20 mg/ml
Natrijev klorid 0,9% 3997
Združljivo
Brizgalka Colistin mesilate sodium 4.5 mg/ml
Brizgalka Fosfomycin 30 mg/ml
Glukoza 5% 4055
Združljivo
Brizgalka Colistin mesilate sodium 4.5 mg/ml
Brizgalka Fosfomycin 30 mg/ml
Natrijev klorid 0,9% 4055
Takojšnja motnost Nezdružljivo
Brizgalka Colistin mesilate sodium 0,67 & 1,5 mg/ml
Brizgalka Ibuprofen arginine 4 & 6 mg/ml
Natrijev klorid 0,9% 4855
Združljivo
Brizgalka Colistin mesilate sodium 1.5 mg/ml
Brizgalka Imipenem - cilastatin sodium 5/5 mg/ml
Natrijev klorid 0,9% 3997
Takojšnja motnost Nezdružljivo
Brizgalka Colistin mesilate sodium 4.5 mg/ml
Brizgalka Isavuconazonium sulfate 1.5 mg/ml
Glukoza 5% 3829
Takojšnja motnost Nezdružljivo
Brizgalka Colistin mesilate sodium 4.5 mg/ml
Brizgalka Isavuconazonium sulfate 1.5 mg/ml
Natrijev klorid 0,9% 3829
Združljivo
Brizgalka Colistin mesilate sodium 0,67 & 1,5 mg/ml
Brizgalka Ketoprofene 0,4 mg/ml
Natrijev klorid 0,9% 4855
Združljivo
Brizgalka Colistin mesilate sodium 1.5 mg/ml
Brizgalka Linezolid 2 mg/ml
Natrijev klorid 0,9% 3997
Združljivo
Brizgalka Colistin mesilate sodium 75 mg/ml
Brizgalka Meropenem 50 mg/ml
Voda za injekcije 4319
Združljivo
Brizgalka Colistin mesilate sodium 1.5 mg/ml
Brizgalka Meropenem 10 mg/ml
Natrijev klorid 0,9% 3997
Sprememba barve Nezdružljivo
Brizgalka Colistin mesilate sodium 0,67 & 1,5 mg/ml
Brizgalka Metamizol sodium 50 mg/ml
Natrijev klorid 0,9% 4855
Sprememba pH> 1 pH enota Nezdružljivo
Brizgalka Colistin mesilate sodium 0,67 & 1,5 mg/ml
Brizgalka Morphine sulfate 2 mg/ml
Natrijev klorid 0,9% 4855
Združljivo
Brizgalka Colistin mesilate sodium 0,67 & 1,5 mg/ml
Brizgalka Paracetamol 10 mg/ml
Natrijev klorid 0,9% 4855
Združljivo
Brizgalka Colistin mesilate sodium 1.5 mg/ml
Brizgalka Piperacillin sodium / tazobactam 40/0.5 mg/ml
Natrijev klorid 0,9% 3997
Združljivo
Brizgalka Colistin mesilate sodium 4.5 mg/ml
Brizgalka Plazomicin sulfate 24 mg/ml
Natrijev klorid 0,9% 4145
Združljivo
Brizgalka Colistin mesilate sodium 4,5 mg/ml
Brizgalka Sulbactam/durlobactam 15/15 mg/ml
Natrijev klorid 0,9% 4801
Združljivo
Brizgalka Colistin mesilate sodium 4.5 mg/ml
Brizgalka Tedizolid phosphate 0.8 mg/ml
Natrijev klorid 0,9% 3827
Takojšnja motnost Nezdružljivo
Brizgalka Colistin mesilate sodium 4,5 mg/ml
Brizgalka Telavancin hydrochloride 7,5 mg/ml
Glukoza 5% 3254
Takojšnja motnost Nezdružljivo
Brizgalka Colistin mesilate sodium 4,5 mg/ml
Brizgalka Telavancin hydrochloride 7,5 mg/ml
Ringerjev laktat 3254
Združljivo
Brizgalka Colistin mesilate sodium 4,5 mg/ml
Brizgalka Telavancin hydrochloride 7,5 mg/ml
Natrijev klorid 0,9% 3254
Združljivo
Brizgalka Colistin mesilate sodium 0,67 & 1,5 mg/ml
Brizgalka Tramadol hydrochloride 5 mg/ml
Natrijev klorid 0,9% 4855
Združljivo
Brizgalka Colistin mesilate sodium
Natrijev klorid 0,9% 4975
Združljivo
Brizgalka Colistin mesilate sodium 1.5 mg/ml
Brizgalka Vancomycin hydrochloride 10 mg/ml
Natrijev klorid 0,9% 3997
Združljivo
Brizgalka Colistin mesilate sodium 0,8 mg/ml
Parenteralna prehrana (z lipidi) 4438

  Mentions Légales