Ultimo aggiornamento :
18/03/2026
Antibiotico   Colistin mesilate sodium  
Iniezione
Aerosol
Stabilità in soluzione Stabilità in miscela Fattori che influenzano la stabilità Compatibilità metodo di iniezione Bibliografia pdf
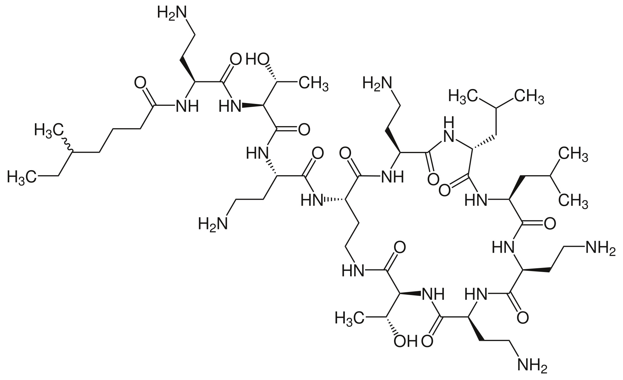
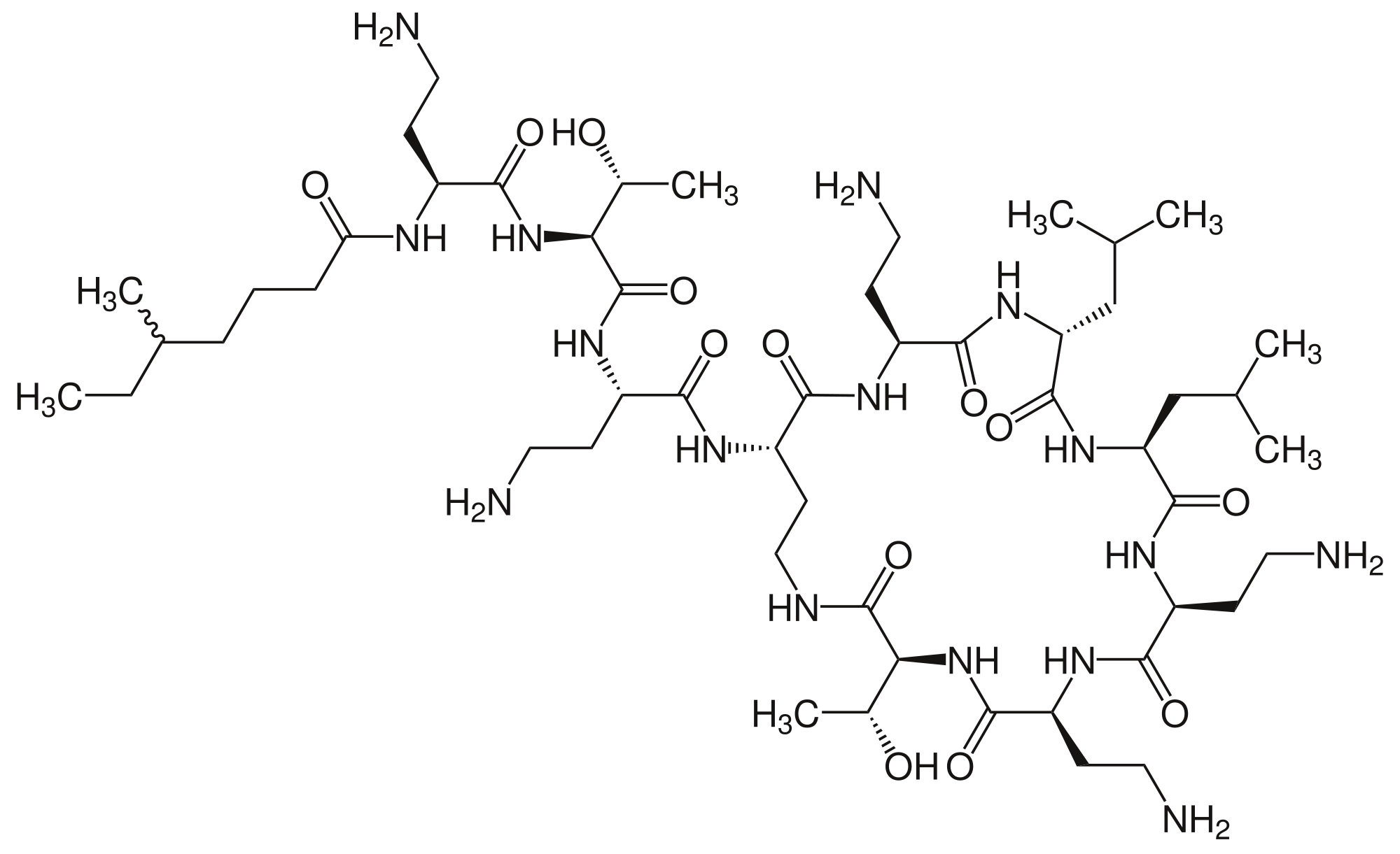
   Struttura chimica  

Nome commerciale   Nome commerciale     

Trade names are indicative and excipients composition can be different depending on the country and manufacturers

Alficetin Argentina
Colimicina Italia
Colimycin Danimarca, Norvegia, Turchia
Colimycine Francia, Lussemburgo, Marocco, Paesi Bassi, Tunisia
Colismet Perù
Colistimethate Canada, Francia, Gran Bretagna, Stati Uniti d’America
Colistin Austria, Germania, Grecia, nuova Zelanda, Polonia
Colistina Argentina, Chile, Portogallo
Colistineb Belgio
Colistyn Argentina
Colixin Slovenia
Colomycin Canada, Gran Bretagna, Irlanda, Malaysia, Stati Uniti d’America
Dicupal Chile
Elistin Perù
Kolisod Turchia
Nolisin
Promixin Germania, Gran Bretagna, Irlanda, Norvegia
Toliscrin Argentina
Compatibilità   Iniezione   Compatibilità : Colistin mesilate sodium              
explication_incompatibilite_molecules
Molecola Solvente Bibliografia
Compatibile
Iniezione Colistin mesilate sodium 4.5 mg/ml
Iniezione Cefiderocol sulfate tosylate 20 mg/mL
Glucosio 5% 4528
Compatibile
Iniezione Colistin mesilate sodium 4.5 mg/ml
Iniezione Cefiderocol sulfate tosylate 20 mg/mL
Cloruro di sodio 0,9% 4528
Compatibile
Iniezione Colistin mesilate sodium 1.5 mg/ml
Iniezione Ceftazidime 5 mg/ml
Cloruro di sodio 0,9% 3997
Compatibile
Iniezione Colistin mesilate sodium 4.5 mg/ml
Iniezione Ceftolozane / tazobactam 10/5 mg/ml
Glucosio 5% 3828
Compatibile
Iniezione Colistin mesilate sodium 4.5 mg/ml
Iniezione Ceftolozane / tazobactam 10/5 mg/ml
Cloruro di sodio 0,9% 3828
Compatibile
Iniezione Colistin mesilate sodium 1.5 mg/ml
Iniezione Cimetidine hydrochloride 3 mg/ml
Glucosio 5% 1201
Incompatibile
Iniezione Colistin mesilate sodium
Aerosol Cromoglycate sodium
2550
Torbidità immediata Incompatibile
Iniezione Colistin mesilate sodium 4,5 mg/ml
Iniezione Eravacycline 0,6 mg/ml
Cloruro di sodio 0,9% 4434
Compatibile
Iniezione Colistin mesilate sodium 1.5 mg/ml
Iniezione Ertapenem 5 mg/ml
Cloruro di sodio 0,9% 3997
Incompatibilità non specificata Incompatibile
Iniezione Colistin mesilate sodium
Iniezione Erythromycin lactobionate
3674
Compatibile
Iniezione Colistin mesilate sodium 1.5 mg/ml
Iniezione Fosfomycin 20 mg/ml
Cloruro di sodio 0,9% 3997
Compatibile
Iniezione Colistin mesilate sodium 4.5 mg/ml
Iniezione Fosfomycin 30 mg/ml
Glucosio 5% 4055
Compatibile
Iniezione Colistin mesilate sodium 4.5 mg/ml
Iniezione Fosfomycin 30 mg/ml
Cloruro di sodio 0,9% 4055
Torbidità immediata Incompatibile
Iniezione Colistin mesilate sodium 0,67 & 1,5 mg/ml
Iniezione Ibuprofen arginine 4 & 6 mg/ml
Cloruro di sodio 0,9% 4855
Compatibile
Iniezione Colistin mesilate sodium 1.5 mg/ml
Iniezione Imipenem - cilastatin sodium 5/5 mg/ml
Cloruro di sodio 0,9% 3997
Torbidità immediata Incompatibile
Iniezione Colistin mesilate sodium 4.5 mg/ml
Iniezione Isavuconazonium sulfate 1.5 mg/ml
Glucosio 5% 3829
Torbidità immediata Incompatibile
Iniezione Colistin mesilate sodium 4.5 mg/ml
Iniezione Isavuconazonium sulfate 1.5 mg/ml
Cloruro di sodio 0,9% 3829
Compatibile
Iniezione Colistin mesilate sodium 0,67 & 1,5 mg/ml
Iniezione Ketoprofene 0,4 mg/ml
Cloruro di sodio 0,9% 4855
Compatibile
Iniezione Colistin mesilate sodium 1.5 mg/ml
Iniezione Linezolid 2 mg/ml
Cloruro di sodio 0,9% 3997
Compatibile
Iniezione Colistin mesilate sodium 75 mg/ml
Iniezione Meropenem 50 mg/ml
Acqua per preparato iniettabile 4319
Compatibile
Iniezione Colistin mesilate sodium 1.5 mg/ml
Iniezione Meropenem 10 mg/ml
Cloruro di sodio 0,9% 3997
Cambio di colore Incompatibile
Iniezione Colistin mesilate sodium 0,67 & 1,5 mg/ml
Iniezione Metamizol sodium 50 mg/ml
Cloruro di sodio 0,9% 4855
Modifica del pH> 1 unità di pH Incompatibile
Iniezione Colistin mesilate sodium 0,67 & 1,5 mg/ml
Iniezione Morphine sulfate 2 mg/ml
Cloruro di sodio 0,9% 4855
Compatibile
Iniezione Colistin mesilate sodium 0,67 & 1,5 mg/ml
Iniezione Paracetamol 10 mg/ml
Cloruro di sodio 0,9% 4855
Compatibile
Iniezione Colistin mesilate sodium 1.5 mg/ml
Iniezione Piperacillin sodium / tazobactam 40/0.5 mg/ml
Cloruro di sodio 0,9% 3997
Compatibile
Iniezione Colistin mesilate sodium 4.5 mg/ml
Iniezione Plazomicin sulfate 24 mg/ml
Cloruro di sodio 0,9% 4145
Compatibile
Iniezione Colistin mesilate sodium 4,5 mg/ml
Iniezione Sulbactam/durlobactam 15/15 mg/ml
Cloruro di sodio 0,9% 4801
Compatibile
Iniezione Colistin mesilate sodium 4.5 mg/ml
Iniezione Tedizolid phosphate 0.8 mg/ml
Cloruro di sodio 0,9% 3827
Torbidità immediata Incompatibile
Iniezione Colistin mesilate sodium 4,5 mg/ml
Iniezione Telavancin hydrochloride 7,5 mg/ml
Glucosio 5% 3254
Torbidità immediata Incompatibile
Iniezione Colistin mesilate sodium 4,5 mg/ml
Iniezione Telavancin hydrochloride 7,5 mg/ml
Ringer lattato 3254
Compatibile
Iniezione Colistin mesilate sodium 4,5 mg/ml
Iniezione Telavancin hydrochloride 7,5 mg/ml
Cloruro di sodio 0,9% 3254
Compatibile
Iniezione Colistin mesilate sodium 0,67 & 1,5 mg/ml
Iniezione Tramadol hydrochloride 5 mg/ml
Cloruro di sodio 0,9% 4855
Compatibile
Iniezione Colistin mesilate sodium
Cloruro di sodio 0,9% 4975
Compatibile
Iniezione Colistin mesilate sodium 1.5 mg/ml
Iniezione Vancomycin hydrochloride 10 mg/ml
Cloruro di sodio 0,9% 3997
Compatibile
Iniezione Colistin mesilate sodium 0,8 mg/ml
Nutrizione parenterale (con lipidi) 4438

  Mentions Légales