Última actualización :
18/03/2026
Antibiótico   Colistin mesilate sodium  
Inyectables
Aerosol
Estabilidad en solucion Estabilidad en mezcla Factores que influyen sobre la estabilidad Compatibilidades método de inyección Bibliografía pdf
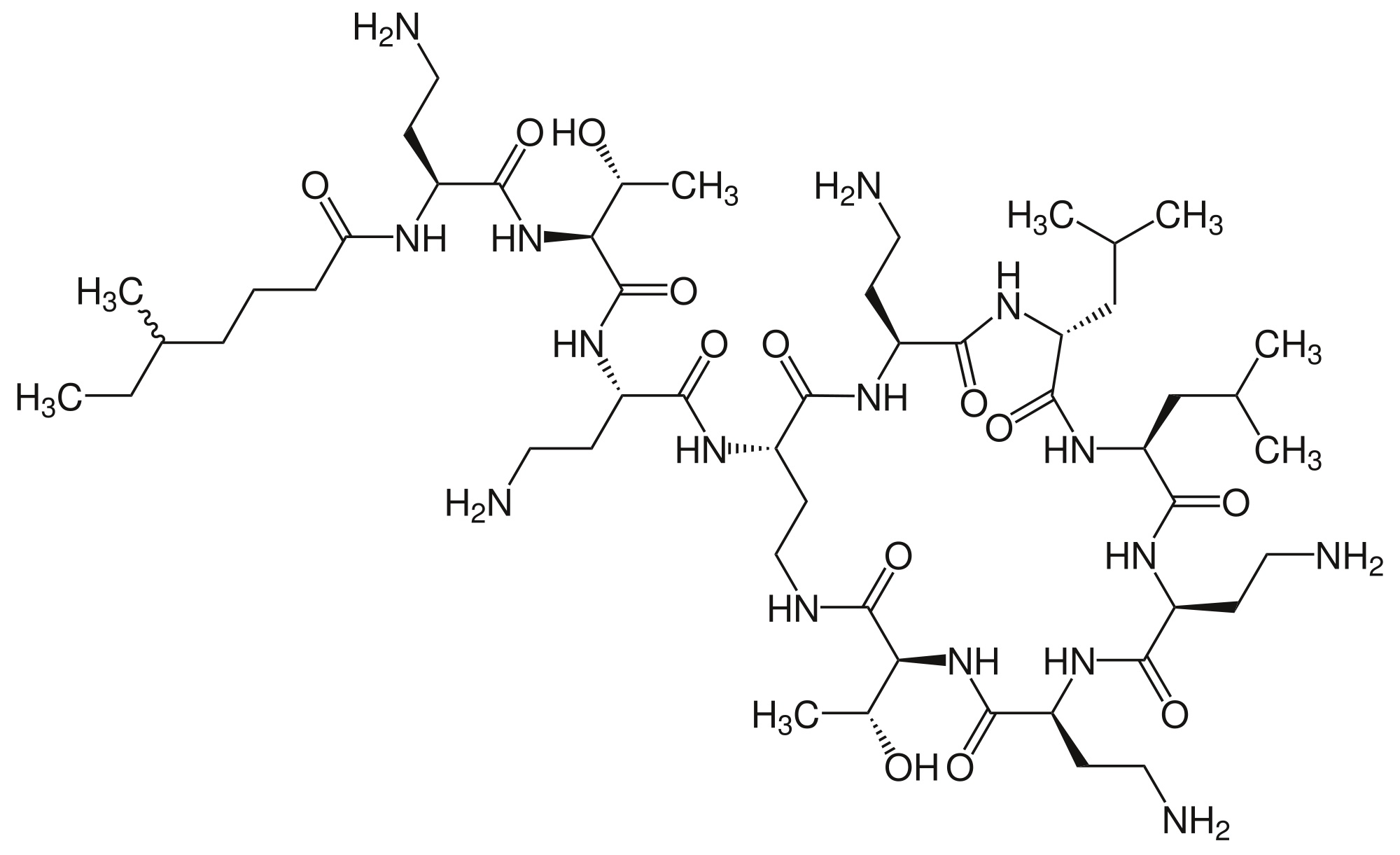
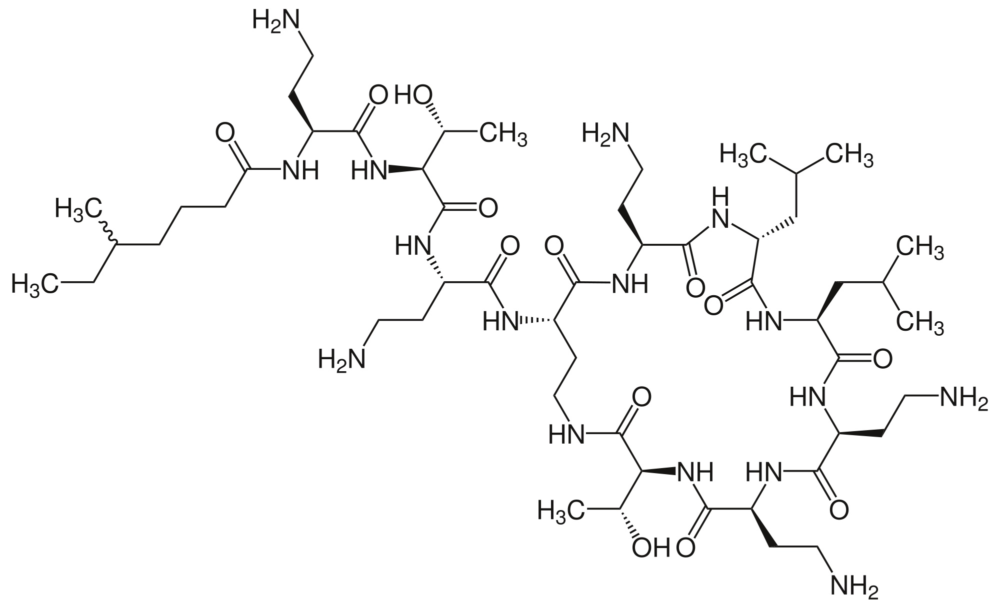
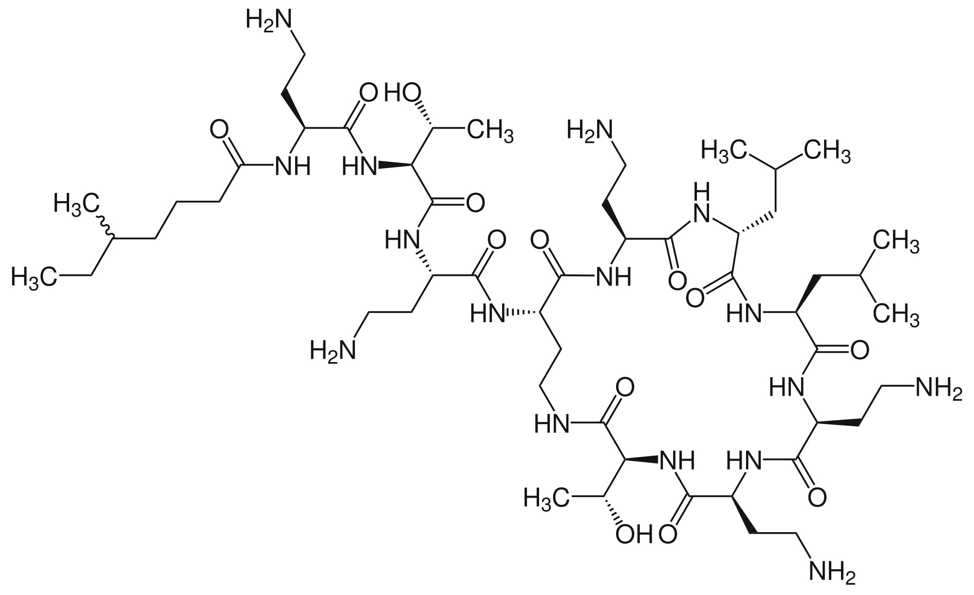
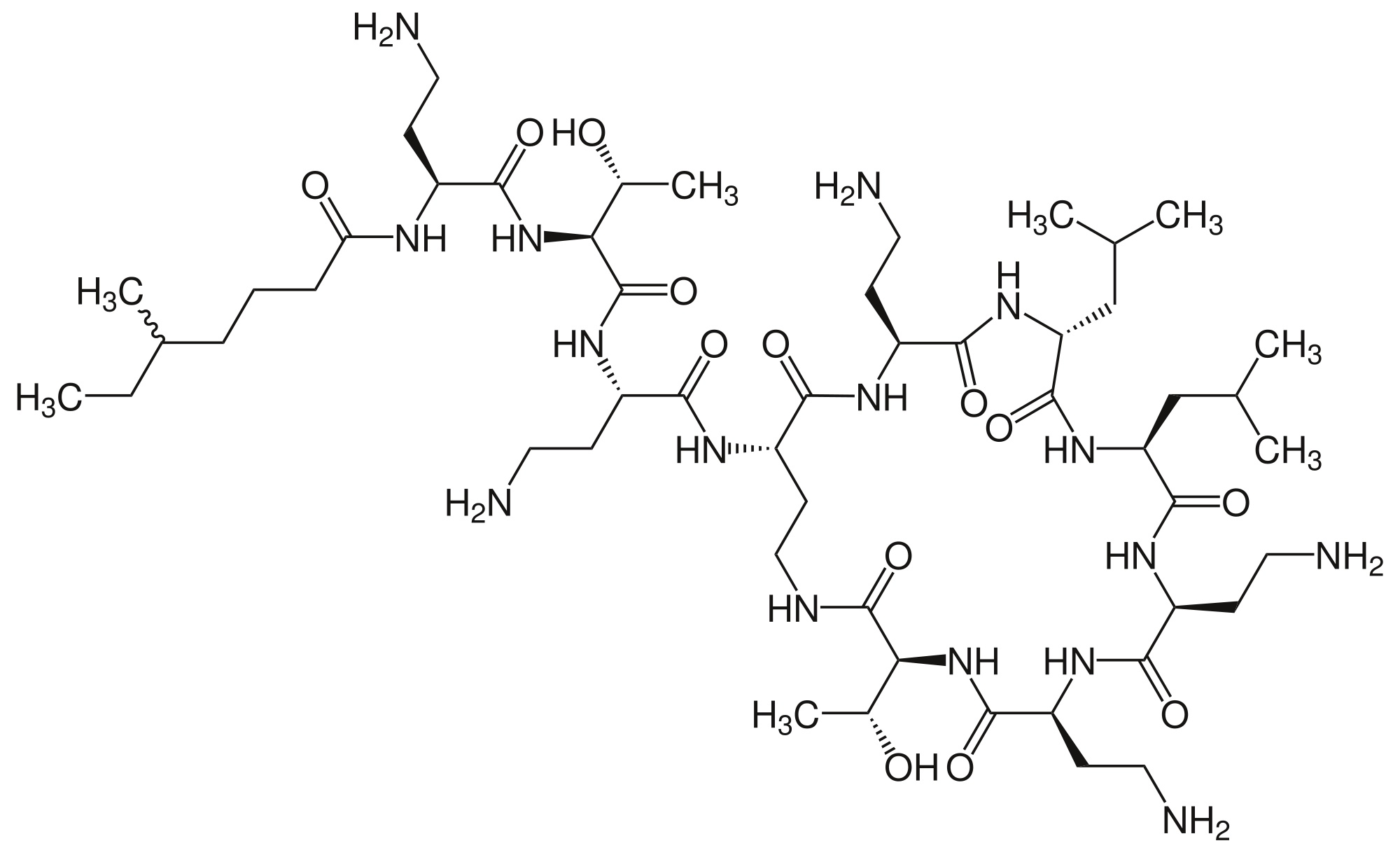
   Estructura química  

Nombre comercial   Nombre comercial     

Los nombres comerciales son orientativos y los excipientes de la formulación pueden ser distintos dependiendo del país y del laboratorio fabricante.

Alficetin Argentina
Colimicina Italia
Colimycin Dinamarca, Noruega, Turquía
Colimycine Francia, Luxemburgo, Marruecos, Países Bajos, Túnez
Colismet Marruecos
Colistimethate Canadá, Estados Unidos de América, Francia, Gran Bretaña
Colistin Alemania, Austria, Grecia, Nueva Zelanda, Polonia
Colistina Argentina, Chile, Portugal
Colistineb Bélgica
Colistyn Argentina
Colixin Eslovenia
Colomycin Canadá, Estados Unidos de América, Gran Bretaña, Irlanda, Malasia
Dicupal Chile
Elistin Marruecos
Kolisod Turquía
Nolisin
Promixin Alemania, Gran Bretaña, Irlanda, Noruega
Toliscrin Argentina
Compatibilidades   Inyectables   Compatibilidades : Colistin mesilate sodium              
Esta pantalla muestra las compatibilidades o incompatibilidades, así como el tipo de incompatibilidad (precipitación, cambio de color, modificación de una emulsión, etc). Las compatibilidades que se recogen aquí son fundamentalmente físicas, mostrando raramente la estabilidad química de la molécula. La evaluación de estas mezclas se estudió con el fin de de comprobar la posibilidad de administración en Y al paciente. Estos datos no pueden utilizarse en el caso de la preparación de mezclas dentro de bolsas o jeringas. Este tipo de información está disponible en la pantalla “Estabilidad en mezcla”.
Molécula Solvente Bibliografía
Compatible
Inyectables Colistin mesilate sodium 4.5 mg/ml
Inyectables Cefiderocol sulfate tosylate 20 mg/mL
Glucosa 5% 4528
Compatible
Inyectables Colistin mesilate sodium 4.5 mg/ml
Inyectables Cefiderocol sulfate tosylate 20 mg/mL
Cloruro de sodio 0,9% 4528
Compatible
Inyectables Colistin mesilate sodium 1.5 mg/ml
Inyectables Ceftazidime 5 mg/ml
Cloruro de sodio 0,9% 3997
Compatible
Inyectables Colistin mesilate sodium 4.5 mg/ml
Inyectables Ceftolozane / tazobactam 10/5 mg/ml
Glucosa 5% 3828
Compatible
Inyectables Colistin mesilate sodium 4.5 mg/ml
Inyectables Ceftolozane / tazobactam 10/5 mg/ml
Cloruro de sodio 0,9% 3828
Compatible
Inyectables Colistin mesilate sodium 1.5 mg/ml
Inyectables Cimetidine hydrochloride 3 mg/ml
Glucosa 5% 1201
Incompatible
Inyectables Colistin mesilate sodium
Aerosol Cromoglycate sodium
2550
Turbidez inmediata Incompatible
Inyectables Colistin mesilate sodium 4,5 mg/ml
Inyectables Eravacycline 0,6 mg/ml
Cloruro de sodio 0,9% 4434
Compatible
Inyectables Colistin mesilate sodium 1.5 mg/ml
Inyectables Ertapenem 5 mg/ml
Cloruro de sodio 0,9% 3997
Incompatibilidad no especificada Incompatible
Inyectables Colistin mesilate sodium
Inyectables Erythromycin lactobionate
3674
Compatible
Inyectables Colistin mesilate sodium 1.5 mg/ml
Inyectables Fosfomycin 20 mg/ml
Cloruro de sodio 0,9% 3997
Compatible
Inyectables Colistin mesilate sodium 4.5 mg/ml
Inyectables Fosfomycin 30 mg/ml
Glucosa 5% 4055
Compatible
Inyectables Colistin mesilate sodium 4.5 mg/ml
Inyectables Fosfomycin 30 mg/ml
Cloruro de sodio 0,9% 4055
Turbidez inmediata Incompatible
Inyectables Colistin mesilate sodium 0,67 & 1,5 mg/ml
Inyectables Ibuprofen arginine 4 & 6 mg/ml
Cloruro de sodio 0,9% 4855
Compatible
Inyectables Colistin mesilate sodium 1.5 mg/ml
Inyectables Imipenem - cilastatin sodium 5/5 mg/ml
Cloruro de sodio 0,9% 3997
Turbidez inmediata Incompatible
Inyectables Colistin mesilate sodium 4.5 mg/ml
Inyectables Isavuconazonium sulfate 1.5 mg/ml
Glucosa 5% 3829
Turbidez inmediata Incompatible
Inyectables Colistin mesilate sodium 4.5 mg/ml
Inyectables Isavuconazonium sulfate 1.5 mg/ml
Cloruro de sodio 0,9% 3829
Compatible
Inyectables Colistin mesilate sodium 0,67 & 1,5 mg/ml
Inyectables Ketoprofene 0,4 mg/ml
Cloruro de sodio 0,9% 4855
Compatible
Inyectables Colistin mesilate sodium 1.5 mg/ml
Inyectables Linezolid 2 mg/ml
Cloruro de sodio 0,9% 3997
Compatible
Inyectables Colistin mesilate sodium 75 mg/ml
Inyectables Meropenem 50 mg/ml
Agua para preparación inyectable 4319
Compatible
Inyectables Colistin mesilate sodium 1.5 mg/ml
Inyectables Meropenem 10 mg/ml
Cloruro de sodio 0,9% 3997
Cambio de color Incompatible
Inyectables Colistin mesilate sodium 0,67 & 1,5 mg/ml
Inyectables Metamizol sodium 50 mg/ml
Cloruro de sodio 0,9% 4855
Modificación de pH> 1 unidad de pH Incompatible
Inyectables Colistin mesilate sodium 0,67 & 1,5 mg/ml
Inyectables Morphine sulfate 2 mg/ml
Cloruro de sodio 0,9% 4855
Compatible
Inyectables Colistin mesilate sodium 0,67 & 1,5 mg/ml
Inyectables Paracetamol 10 mg/ml
Cloruro de sodio 0,9% 4855
Compatible
Inyectables Colistin mesilate sodium 1.5 mg/ml
Inyectables Piperacillin sodium / tazobactam 40/0.5 mg/ml
Cloruro de sodio 0,9% 3997
Compatible
Inyectables Colistin mesilate sodium 4.5 mg/ml
Inyectables Plazomicin sulfate 24 mg/ml
Cloruro de sodio 0,9% 4145
Compatible
Inyectables Colistin mesilate sodium 4,5 mg/ml
Inyectables Sulbactam/durlobactam 15/15 mg/ml
Cloruro de sodio 0,9% 4801
Compatible
Inyectables Colistin mesilate sodium 4.5 mg/ml
Inyectables Tedizolid phosphate 0.8 mg/ml
Cloruro de sodio 0,9% 3827
Turbidez inmediata Incompatible
Inyectables Colistin mesilate sodium 4,5 mg/ml
Inyectables Telavancin hydrochloride 7,5 mg/ml
Glucosa 5% 3254
Turbidez inmediata Incompatible
Inyectables Colistin mesilate sodium 4,5 mg/ml
Inyectables Telavancin hydrochloride 7,5 mg/ml
Ringer lactato 3254
Compatible
Inyectables Colistin mesilate sodium 4,5 mg/ml
Inyectables Telavancin hydrochloride 7,5 mg/ml
Cloruro de sodio 0,9% 3254
Compatible
Inyectables Colistin mesilate sodium 0,67 & 1,5 mg/ml
Inyectables Tramadol hydrochloride 5 mg/ml
Cloruro de sodio 0,9% 4855
Compatible
Inyectables Colistin mesilate sodium
Cloruro de sodio 0,9% 4975
Compatible
Inyectables Colistin mesilate sodium 1.5 mg/ml
Inyectables Vancomycin hydrochloride 10 mg/ml
Cloruro de sodio 0,9% 3997
Compatible
Inyectables Colistin mesilate sodium 0,8 mg/ml
Nutrición parenteral (con lípidos) 4438

  Mentions Légales