最新更新 :
18/03/2026
抗生素   Colistin mesilate sodium  
注射液
气雾剂
溶液稳定性 混合物稳定性 影响稳定性的因素 兼容性 用药途径 引用文献 PDF
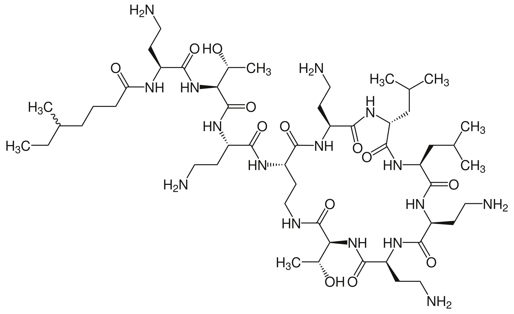
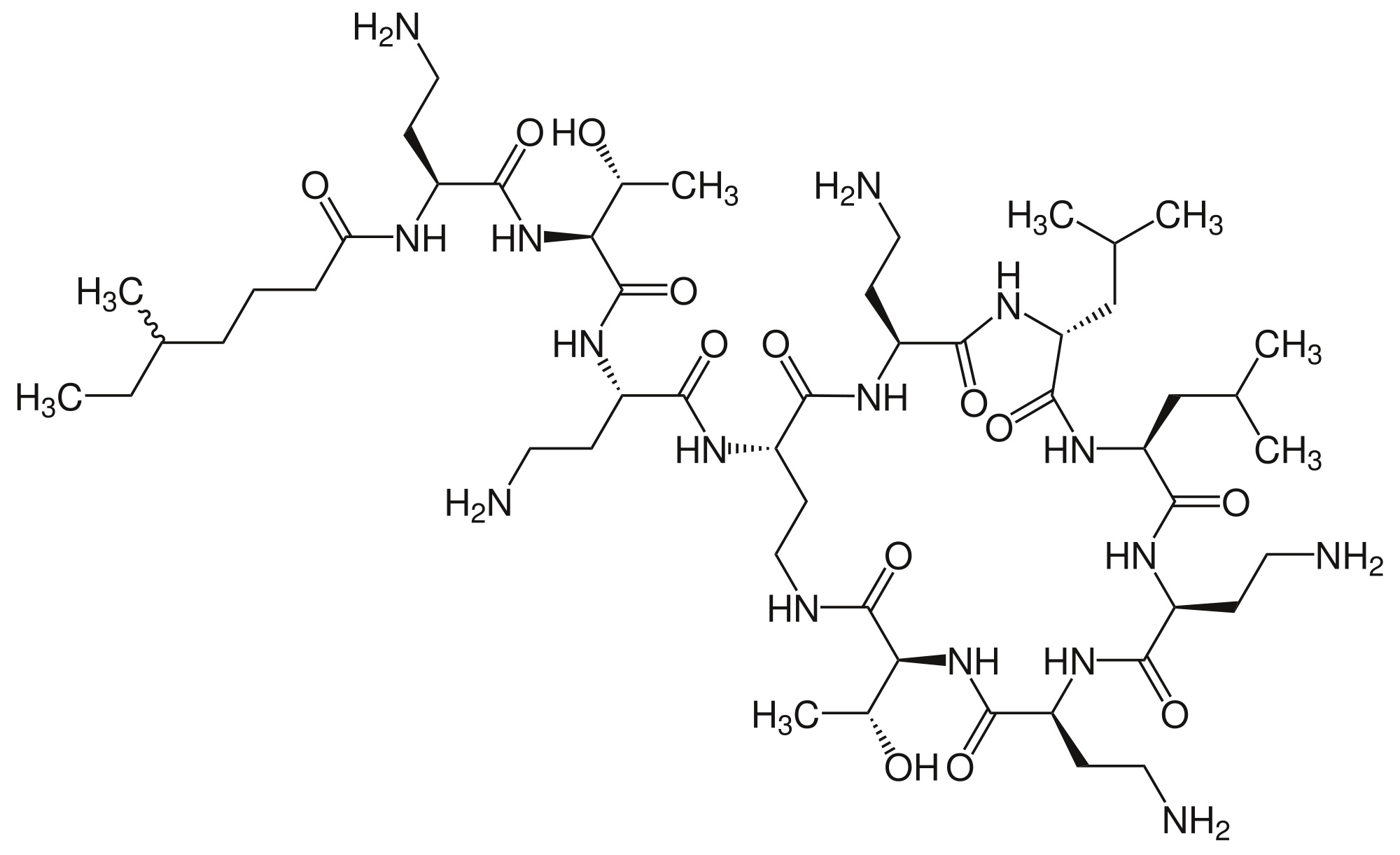
   化学式  

商品名   商品名     

商品名仅供参考, 药品所用的辅料可能依国家或厂商不同有所不同。

Alficetin 阿根廷
Colimicina 意大利
Colimycin 丹麦, 土耳其, 挪威
Colimycine 卢森堡, 摩洛哥, 法国, 突尼斯, 荷兰
Colismet 秘鲁
Colistimethate 加拿大, 法国, 美国, 英国
Colistin 奥地利, 希腊, 德国, 新西蘭, 波兰
Colistina 智利, 葡萄牙, 阿根廷
Colistineb 比利时
Colistyn 阿根廷
Colixin 斯洛文尼亚
Colomycin 加拿大, 爱尔兰, 美国, 英国, 马来西亚
Dicupal 智利
Elistin 秘鲁
Kolisod 土耳其
Nolisin
Promixin 德国, 挪威, 爱尔兰, 英国
Toliscrin 阿根廷
兼容性   注射液   兼容性 : Colistin mesilate sodium              
This screen indicates the compatibilities or incompatibilities with, in this case, the type of incompatibility (precipitation, color change, modification of an emulsion, etc.). The compatibilities shown here are mostly physical only, with the chemical stability of each molecule rarely being assessed. The evaluation of these mixtures was studied to consider the possibility of Y-site administration to the patient. These data cannot be used for making mixtures in advance in bags or syringes. This type of information is available in the screen "Stability in mixture ».
分子 溶剂 引用文献
兼容
注射液 Colistin mesilate sodium 4.5 mg/ml
注射液 Cefiderocol sulfate tosylate 20 mg/mL
葡萄糖5% 4528
兼容
注射液 Colistin mesilate sodium 4.5 mg/ml
注射液 Cefiderocol sulfate tosylate 20 mg/mL
NaCl 0,9% 4528
兼容
注射液 Colistin mesilate sodium 1.5 mg/ml
注射液 Ceftazidime 5 mg/ml
NaCl 0,9% 3997
兼容
注射液 Colistin mesilate sodium 4.5 mg/ml
注射液 Ceftolozane / tazobactam 10/5 mg/ml
葡萄糖5% 3828
兼容
注射液 Colistin mesilate sodium 4.5 mg/ml
注射液 Ceftolozane / tazobactam 10/5 mg/ml
NaCl 0,9% 3828
兼容
注射液 Colistin mesilate sodium 1.5 mg/ml
注射液 Cimetidine hydrochloride 3 mg/ml
葡萄糖5% 1201
不相容
注射液 Colistin mesilate sodium
气雾剂 Cromoglycate sodium
2550
立即渾濁 不相容
注射液 Colistin mesilate sodium 4,5 mg/ml
注射液 Eravacycline 0,6 mg/ml
NaCl 0,9% 4434
兼容
注射液 Colistin mesilate sodium 1.5 mg/ml
注射液 Ertapenem 5 mg/ml
NaCl 0,9% 3997
未指定的不兼容性 不相容
注射液 Colistin mesilate sodium
注射液 Erythromycin lactobionate
3674
兼容
注射液 Colistin mesilate sodium 1.5 mg/ml
注射液 Fosfomycin 20 mg/ml
NaCl 0,9% 3997
兼容
注射液 Colistin mesilate sodium 4.5 mg/ml
注射液 Fosfomycin 30 mg/ml
葡萄糖5% 4055
兼容
注射液 Colistin mesilate sodium 4.5 mg/ml
注射液 Fosfomycin 30 mg/ml
NaCl 0,9% 4055
立即渾濁 不相容
注射液 Colistin mesilate sodium 0,67 & 1,5 mg/ml
注射液 Ibuprofen arginine 4 & 6 mg/ml
NaCl 0,9% 4855
兼容
注射液 Colistin mesilate sodium 1.5 mg/ml
注射液 Imipenem - cilastatin sodium 5/5 mg/ml
NaCl 0,9% 3997
立即渾濁 不相容
注射液 Colistin mesilate sodium 4.5 mg/ml
注射液 Isavuconazonium sulfate 1.5 mg/ml
葡萄糖5% 3829
立即渾濁 不相容
注射液 Colistin mesilate sodium 4.5 mg/ml
注射液 Isavuconazonium sulfate 1.5 mg/ml
NaCl 0,9% 3829
兼容
注射液 Colistin mesilate sodium 0,67 & 1,5 mg/ml
注射液 Ketoprofene 0,4 mg/ml
NaCl 0,9% 4855
兼容
注射液 Colistin mesilate sodium 1.5 mg/ml
注射液 Linezolid 2 mg/ml
NaCl 0,9% 3997
兼容
注射液 Colistin mesilate sodium 75 mg/ml
注射液 Meropenem 50 mg/ml
注射用水 4319
兼容
注射液 Colistin mesilate sodium 1.5 mg/ml
注射液 Meropenem 10 mg/ml
NaCl 0,9% 3997
顏色變化 不相容
注射液 Colistin mesilate sodium 0,67 & 1,5 mg/ml
注射液 Metamizol sodium 50 mg/ml
NaCl 0,9% 4855
修改pH> 1 pH單位 不相容
注射液 Colistin mesilate sodium 0,67 & 1,5 mg/ml
注射液 Morphine sulfate 2 mg/ml
NaCl 0,9% 4855
兼容
注射液 Colistin mesilate sodium 0,67 & 1,5 mg/ml
注射液 Paracetamol 10 mg/ml
NaCl 0,9% 4855
兼容
注射液 Colistin mesilate sodium 1.5 mg/ml
注射液 Piperacillin sodium / tazobactam 40/0.5 mg/ml
NaCl 0,9% 3997
兼容
注射液 Colistin mesilate sodium 4.5 mg/ml
注射液 Plazomicin sulfate 24 mg/ml
NaCl 0,9% 4145
兼容
注射液 Colistin mesilate sodium 4,5 mg/ml
注射液 Sulbactam/durlobactam 15/15 mg/ml
NaCl 0,9% 4801
兼容
注射液 Colistin mesilate sodium 4.5 mg/ml
注射液 Tedizolid phosphate 0.8 mg/ml
NaCl 0,9% 3827
立即渾濁 不相容
注射液 Colistin mesilate sodium 4,5 mg/ml
注射液 Telavancin hydrochloride 7,5 mg/ml
葡萄糖5% 3254
立即渾濁 不相容
注射液 Colistin mesilate sodium 4,5 mg/ml
注射液 Telavancin hydrochloride 7,5 mg/ml
Ringer乳酸溶液 3254
兼容
注射液 Colistin mesilate sodium 4,5 mg/ml
注射液 Telavancin hydrochloride 7,5 mg/ml
NaCl 0,9% 3254
兼容
注射液 Colistin mesilate sodium 0,67 & 1,5 mg/ml
注射液 Tramadol hydrochloride 5 mg/ml
NaCl 0,9% 4855
兼容
注射液 Colistin mesilate sodium
NaCl 0,9% 4975
兼容
注射液 Colistin mesilate sodium 1.5 mg/ml
注射液 Vancomycin hydrochloride 10 mg/ml
NaCl 0,9% 3997
兼容
注射液 Colistin mesilate sodium 0,8 mg/ml
肠外营养(含脂肪) 4438

  Mentions Légales