Pēdējā atjaunošana :
18/03/2026
Antibiotika   Colistin mesilate sodium  
Injekcija
Aerosols
Šķīduma stabilitāte Maisījuma stabilitāte Stabilitāti ietekmējoši faktori Saderība Levadīšanas veids Literatūras saraksts pdf
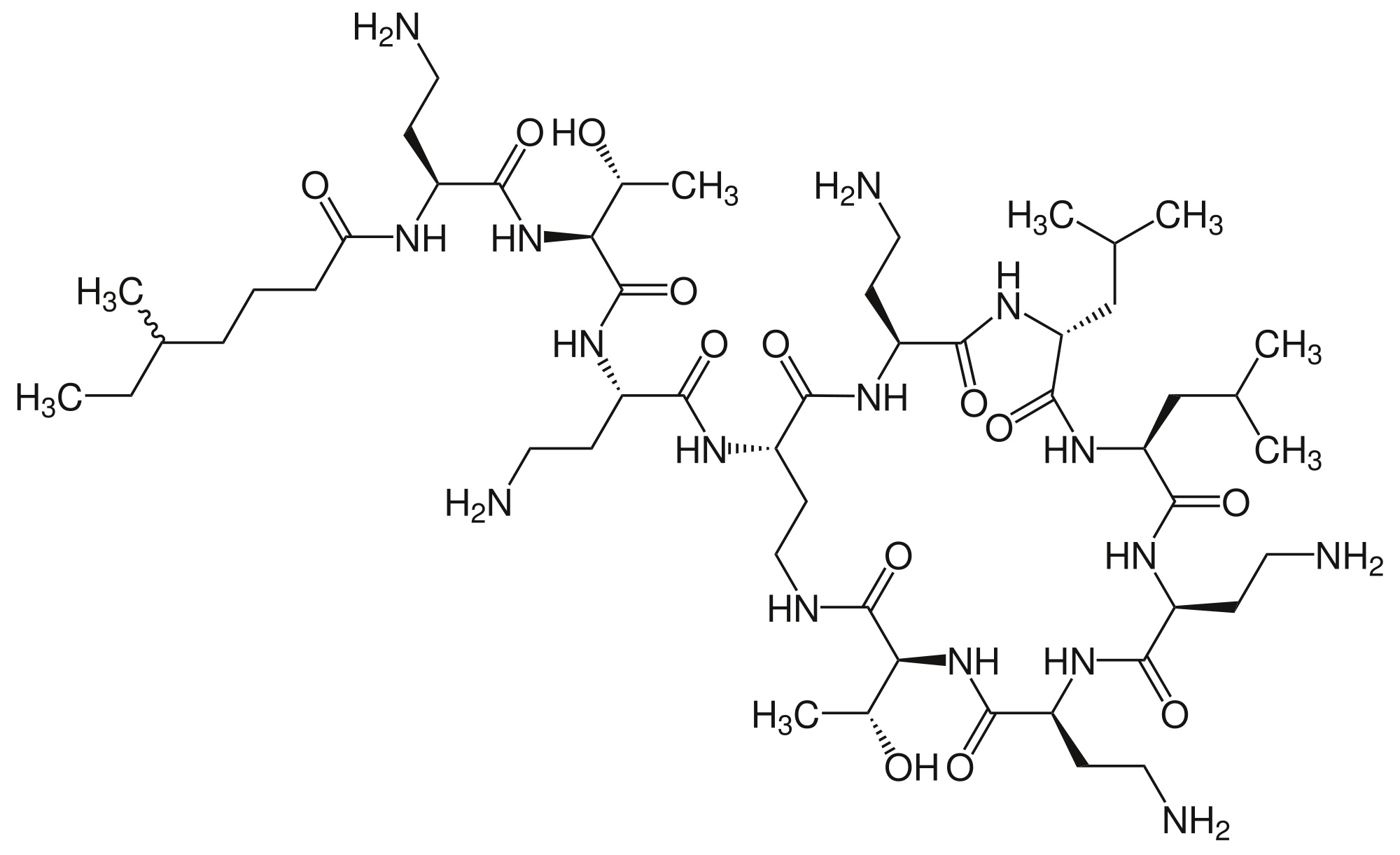
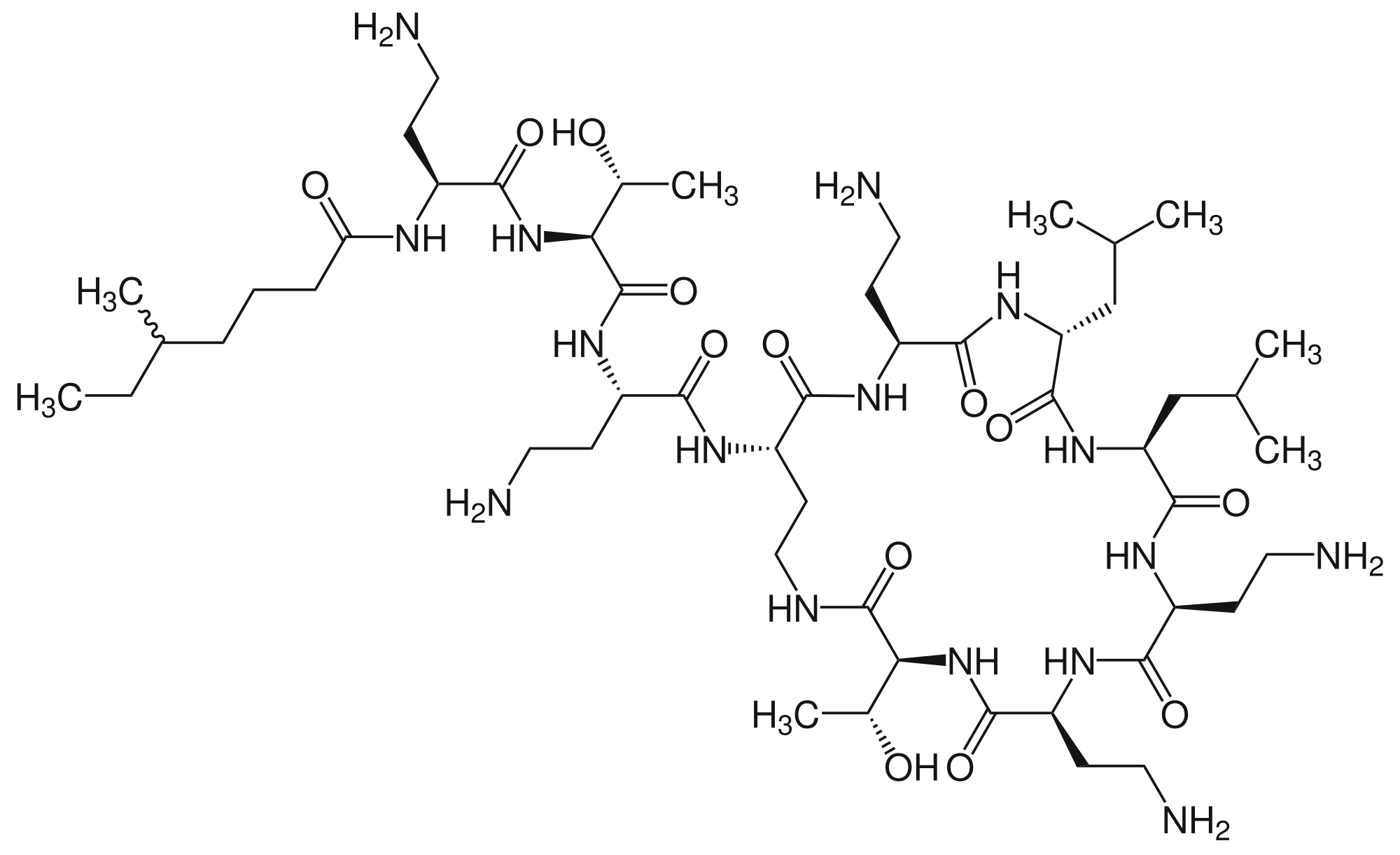
   Ķīmiskā uzbūve   

Oriģinālais nosaukums   Oriģinālais nosaukums     

Tirdzniecības nosaukumi ir apzīmējoši un palīgvielas var atšķirties dažādām valstīm un laboratorijām

Alficetin Argentīna
Colimicina Itālija
Colimycin Dānija, Norvēģija, Turcija
Colimycine Francija, Holande, Luksemburga, Maroka, Tunisija
Colismet Peru
Colistimethate Amerikas Savienotās Valstis, Francija, Kanāda, Lielbritānija
Colistin Austrija, Grieķija, Jaunzēlande, Polija, Vācija
Colistina Argentīna, Čīle, Portugāle
Colistineb Beļģija
Colistyn Argentīna
Colixin Slovēnija
Colomycin Amerikas Savienotās Valstis, Īrija, Kanāda, Lielbritānija, Malaizija
Dicupal Čīle
Elistin Peru
Kolisod Turcija
Nolisin
Promixin Īrija, Lielbritānija, Norvēģija, Vācija
Toliscrin Argentīna
Saderība   Injekcija   Saderība : Colistin mesilate sodium              
Šī tabula parāda zāļu saderību vai nesaderību, pēc iespējas arī nesaderības tipu (precipitācija, krāsas maiņa, emulsijas sadalīšanās utt). Parādītas šeit saderības ir pārsvarā tikai fizikālās, pēc iespējas tiek parādīta ķīmiskā stabilitāte katrai molekulai. Šo maisījumu analīze tikai veikta, lai izprastu iespējamību ievadīt zāles Y-savienojuma vietā sistēmā pacientam. Šie dati nevar tikt izmantoti, lai pagatavot zāļu maisījumus vēlākai lietošanai maisos vai šļircēs. Šī informācija ir pieejama sadaļā "Maisījuma stabilitāte".
Savienojums Šķīdinātājs Literatūras saraksts
Savietojams
Injekcija Colistin mesilate sodium 4.5 mg/ml
Injekcija Cefiderocol sulfate tosylate 20 mg/mL
5% glikoze 4528
Savietojams
Injekcija Colistin mesilate sodium 4.5 mg/ml
Injekcija Cefiderocol sulfate tosylate 20 mg/mL
Nātrija hlorīds 0.9% 4528
Savietojams
Injekcija Colistin mesilate sodium 1.5 mg/ml
Injekcija Ceftazidime 5 mg/ml
Nātrija hlorīds 0.9% 3997
Savietojams
Injekcija Colistin mesilate sodium 4.5 mg/ml
Injekcija Ceftolozane / tazobactam 10/5 mg/ml
5% glikoze 3828
Savietojams
Injekcija Colistin mesilate sodium 4.5 mg/ml
Injekcija Ceftolozane / tazobactam 10/5 mg/ml
Nātrija hlorīds 0.9% 3828
Savietojams
Injekcija Colistin mesilate sodium 1.5 mg/ml
Injekcija Cimetidine hydrochloride 3 mg/ml
5% glikoze 1201
Nesavienojams
Injekcija Colistin mesilate sodium
Aerosols Cromoglycate sodium
2550
Tūlītēja duļķainība Nesavienojams
Injekcija Colistin mesilate sodium 4,5 mg/ml
Injekcija Eravacycline 0,6 mg/ml
Nātrija hlorīds 0.9% 4434
Savietojams
Injekcija Colistin mesilate sodium 1.5 mg/ml
Injekcija Ertapenem 5 mg/ml
Nātrija hlorīds 0.9% 3997
Neprecizēta nesaderība Nesavienojams
Injekcija Colistin mesilate sodium
Injekcija Erythromycin lactobionate
3674
Savietojams
Injekcija Colistin mesilate sodium 1.5 mg/ml
Injekcija Fosfomycin 20 mg/ml
Nātrija hlorīds 0.9% 3997
Savietojams
Injekcija Colistin mesilate sodium 4.5 mg/ml
Injekcija Fosfomycin 30 mg/ml
5% glikoze 4055
Savietojams
Injekcija Colistin mesilate sodium 4.5 mg/ml
Injekcija Fosfomycin 30 mg/ml
Nātrija hlorīds 0.9% 4055
Tūlītēja duļķainība Nesavienojams
Injekcija Colistin mesilate sodium 0,67 & 1,5 mg/ml
Injekcija Ibuprofen arginine 4 & 6 mg/ml
Nātrija hlorīds 0.9% 4855
Savietojams
Injekcija Colistin mesilate sodium 1.5 mg/ml
Injekcija Imipenem - cilastatin sodium 5/5 mg/ml
Nātrija hlorīds 0.9% 3997
Tūlītēja duļķainība Nesavienojams
Injekcija Colistin mesilate sodium 4.5 mg/ml
Injekcija Isavuconazonium sulfate 1.5 mg/ml
5% glikoze 3829
Tūlītēja duļķainība Nesavienojams
Injekcija Colistin mesilate sodium 4.5 mg/ml
Injekcija Isavuconazonium sulfate 1.5 mg/ml
Nātrija hlorīds 0.9% 3829
Savietojams
Injekcija Colistin mesilate sodium 0,67 & 1,5 mg/ml
Injekcija Ketoprofene 0,4 mg/ml
Nātrija hlorīds 0.9% 4855
Savietojams
Injekcija Colistin mesilate sodium 1.5 mg/ml
Injekcija Linezolid 2 mg/ml
Nātrija hlorīds 0.9% 3997
Savietojams
Injekcija Colistin mesilate sodium 75 mg/ml
Injekcija Meropenem 50 mg/ml
Ūdens injekcijām 4319
Savietojams
Injekcija Colistin mesilate sodium 1.5 mg/ml
Injekcija Meropenem 10 mg/ml
Nātrija hlorīds 0.9% 3997
Krāsu maiņa Nesavienojams
Injekcija Colistin mesilate sodium 0,67 & 1,5 mg/ml
Injekcija Metamizol sodium 50 mg/ml
Nātrija hlorīds 0.9% 4855
pH modifikācija> 1 pH vienība Nesavienojams
Injekcija Colistin mesilate sodium 0,67 & 1,5 mg/ml
Injekcija Morphine sulfate 2 mg/ml
Nātrija hlorīds 0.9% 4855
Savietojams
Injekcija Colistin mesilate sodium 0,67 & 1,5 mg/ml
Injekcija Paracetamol 10 mg/ml
Nātrija hlorīds 0.9% 4855
Savietojams
Injekcija Colistin mesilate sodium 1.5 mg/ml
Injekcija Piperacillin sodium / tazobactam 40/0.5 mg/ml
Nātrija hlorīds 0.9% 3997
Savietojams
Injekcija Colistin mesilate sodium 4.5 mg/ml
Injekcija Plazomicin sulfate 24 mg/ml
Nātrija hlorīds 0.9% 4145
Savietojams
Injekcija Colistin mesilate sodium 4,5 mg/ml
Injekcija Sulbactam/durlobactam 15/15 mg/ml
Nātrija hlorīds 0.9% 4801
Savietojams
Injekcija Colistin mesilate sodium 4.5 mg/ml
Injekcija Tedizolid phosphate 0.8 mg/ml
Nātrija hlorīds 0.9% 3827
Tūlītēja duļķainība Nesavienojams
Injekcija Colistin mesilate sodium 4,5 mg/ml
Injekcija Telavancin hydrochloride 7,5 mg/ml
5% glikoze 3254
Tūlītēja duļķainība Nesavienojams
Injekcija Colistin mesilate sodium 4,5 mg/ml
Injekcija Telavancin hydrochloride 7,5 mg/ml
Ringera laktāta šķīdums 3254
Savietojams
Injekcija Colistin mesilate sodium 4,5 mg/ml
Injekcija Telavancin hydrochloride 7,5 mg/ml
Nātrija hlorīds 0.9% 3254
Savietojams
Injekcija Colistin mesilate sodium 0,67 & 1,5 mg/ml
Injekcija Tramadol hydrochloride 5 mg/ml
Nātrija hlorīds 0.9% 4855
Savietojams
Injekcija Colistin mesilate sodium
Nātrija hlorīds 0.9% 4975
Savietojams
Injekcija Colistin mesilate sodium 1.5 mg/ml
Injekcija Vancomycin hydrochloride 10 mg/ml
Nātrija hlorīds 0.9% 3997
Savietojams
Injekcija Colistin mesilate sodium 0,8 mg/ml
Parenterāla barošana (ar lipīdiem) 4438

  Mentions Légales