Zadnji put ažurirano :
18/03/2026
antibiotik   Colistin mesilate sodium  
injekcija
aerosol
Stabilizacija rješenja Stabilnost mješavine Stabilizacijski faktor Kompatibilnosti način davanja lijeka Bibliografija pdf
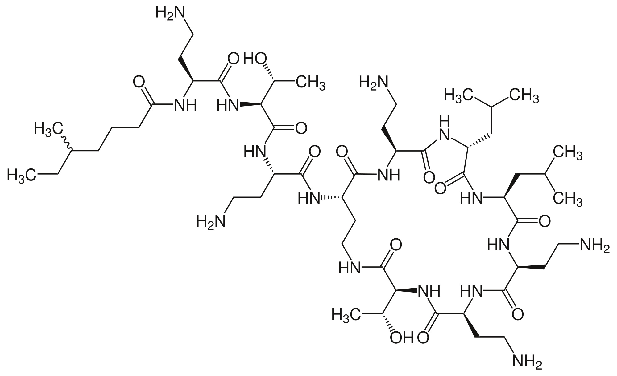
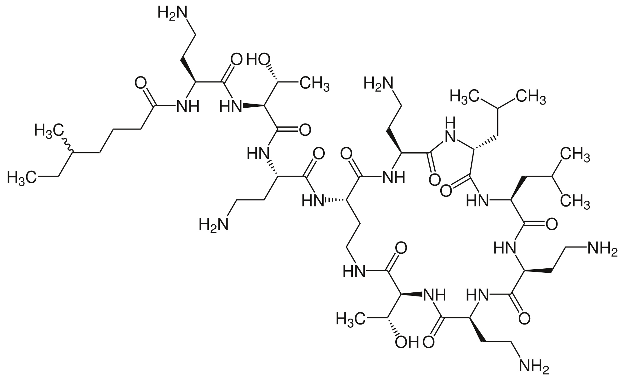
   Kemijska struktura  

Nekomercijalni   Nekomercijalni     

Zaštićeni nazivi su indikativni i sastav ekscipijensa može biti različit ovisno o državi i laboratorijima

Alficetin Argentina
Colimicina Italija
Colimycin Danska, Norveška, Turska
Colimycine Francuska, Luksemburg, Maroko, Nizozemska, Tunis
Colismet Peru
Colistimethate Francuska, Kanada, S A D, Velika Britanija
Colistin Austrija, Grčka, Njemačka, novi Zeland, Poljska
Colistina Argentina, Čile, Portugal
Colistineb Belgija
Colistyn Argentina
Colixin Slovenija
Colomycin Irska, Kanada, Malezija, S A D, Velika Britanija
Dicupal Čile
Elistin Peru
Kolisod Turska
Nolisin
Promixin Irska, Njemačka, Norveška, Velika Britanija
Toliscrin Argentina
Kompatibilnosti   injekcija   Kompatibilnosti : Colistin mesilate sodium              
Ovdje su prikazane kompatibilnosti ili nekompatibilnosti s tipom nekompatibilnosti (taloženje, promjena boje, modifikacija emulzije itd.) u ovom slučaju. Kompatibilnosti prikazane ovdje najčešće su fizikalne dok se kemijska stabilnost molekule rijetko procjenjuje. Procjena ovih mikstura je proučavana kako bi se razmotrila mogućnost primjene lijeka putem Y-mjesta. Ovi se podaci ne smiju koristiti za pripremu mikstura unaprijed u vrećicama ili štrcaljkama. Ova vrsta informacije se može pronaći u odjeljku « stabilnost u miksturama ».
molekula sredstvo za rastapanje Bibliografija
Kompatibilan
injekcija Colistin mesilate sodium 4.5 mg/ml
injekcija Cefiderocol sulfate tosylate 20 mg/mL
glukoza 5% 4528
Kompatibilan
injekcija Colistin mesilate sodium 4.5 mg/ml
injekcija Cefiderocol sulfate tosylate 20 mg/mL
natrijumkorid 0,9% 4528
Kompatibilan
injekcija Colistin mesilate sodium 1.5 mg/ml
injekcija Ceftazidime 5 mg/ml
natrijumkorid 0,9% 3997
Kompatibilan
injekcija Colistin mesilate sodium 4.5 mg/ml
injekcija Ceftolozane / tazobactam 10/5 mg/ml
glukoza 5% 3828
Kompatibilan
injekcija Colistin mesilate sodium 4.5 mg/ml
injekcija Ceftolozane / tazobactam 10/5 mg/ml
natrijumkorid 0,9% 3828
Kompatibilan
injekcija Colistin mesilate sodium 1.5 mg/ml
injekcija Cimetidine hydrochloride 3 mg/ml
glukoza 5% 1201
inkompatibilan
injekcija Colistin mesilate sodium
aerosol Cromoglycate sodium
2550
Neposredna zamućenost inkompatibilan
injekcija Colistin mesilate sodium 4,5 mg/ml
injekcija Eravacycline 0,6 mg/ml
natrijumkorid 0,9% 4434
Kompatibilan
injekcija Colistin mesilate sodium 1.5 mg/ml
injekcija Ertapenem 5 mg/ml
natrijumkorid 0,9% 3997
Neodređena nespojivost inkompatibilan
injekcija Colistin mesilate sodium
injekcija Erythromycin lactobionate
3674
Kompatibilan
injekcija Colistin mesilate sodium 1.5 mg/ml
injekcija Fosfomycin 20 mg/ml
natrijumkorid 0,9% 3997
Kompatibilan
injekcija Colistin mesilate sodium 4.5 mg/ml
injekcija Fosfomycin 30 mg/ml
glukoza 5% 4055
Kompatibilan
injekcija Colistin mesilate sodium 4.5 mg/ml
injekcija Fosfomycin 30 mg/ml
natrijumkorid 0,9% 4055
Neposredna zamućenost inkompatibilan
injekcija Colistin mesilate sodium 0,67 & 1,5 mg/ml
injekcija Ibuprofen arginine 4 & 6 mg/ml
natrijumkorid 0,9% 4855
Kompatibilan
injekcija Colistin mesilate sodium 1.5 mg/ml
injekcija Imipenem - cilastatin sodium 5/5 mg/ml
natrijumkorid 0,9% 3997
Neposredna zamućenost inkompatibilan
injekcija Colistin mesilate sodium 4.5 mg/ml
injekcija Isavuconazonium sulfate 1.5 mg/ml
glukoza 5% 3829
Neposredna zamućenost inkompatibilan
injekcija Colistin mesilate sodium 4.5 mg/ml
injekcija Isavuconazonium sulfate 1.5 mg/ml
natrijumkorid 0,9% 3829
Kompatibilan
injekcija Colistin mesilate sodium 0,67 & 1,5 mg/ml
injekcija Ketoprofene 0,4 mg/ml
natrijumkorid 0,9% 4855
Kompatibilan
injekcija Colistin mesilate sodium 1.5 mg/ml
injekcija Linezolid 2 mg/ml
natrijumkorid 0,9% 3997
Kompatibilan
injekcija Colistin mesilate sodium 75 mg/ml
injekcija Meropenem 50 mg/ml
čista voda za injektiranje 4319
Kompatibilan
injekcija Colistin mesilate sodium 1.5 mg/ml
injekcija Meropenem 10 mg/ml
natrijumkorid 0,9% 3997
Promjena boje inkompatibilan
injekcija Colistin mesilate sodium 0,67 & 1,5 mg/ml
injekcija Metamizol sodium 50 mg/ml
natrijumkorid 0,9% 4855
Modifikacija pH> 1 pH jedinica inkompatibilan
injekcija Colistin mesilate sodium 0,67 & 1,5 mg/ml
injekcija Morphine sulfate 2 mg/ml
natrijumkorid 0,9% 4855
Kompatibilan
injekcija Colistin mesilate sodium 0,67 & 1,5 mg/ml
injekcija Paracetamol 10 mg/ml
natrijumkorid 0,9% 4855
Kompatibilan
injekcija Colistin mesilate sodium 1.5 mg/ml
injekcija Piperacillin sodium / tazobactam 40/0.5 mg/ml
natrijumkorid 0,9% 3997
Kompatibilan
injekcija Colistin mesilate sodium 4.5 mg/ml
injekcija Plazomicin sulfate 24 mg/ml
natrijumkorid 0,9% 4145
Kompatibilan
injekcija Colistin mesilate sodium 4,5 mg/ml
injekcija Sulbactam/durlobactam 15/15 mg/ml
natrijumkorid 0,9% 4801
Kompatibilan
injekcija Colistin mesilate sodium 4.5 mg/ml
injekcija Tedizolid phosphate 0.8 mg/ml
natrijumkorid 0,9% 3827
Neposredna zamućenost inkompatibilan
injekcija Colistin mesilate sodium 4,5 mg/ml
injekcija Telavancin hydrochloride 7,5 mg/ml
glukoza 5% 3254
Neposredna zamućenost inkompatibilan
injekcija Colistin mesilate sodium 4,5 mg/ml
injekcija Telavancin hydrochloride 7,5 mg/ml
Ringer laktat 3254
Kompatibilan
injekcija Colistin mesilate sodium 4,5 mg/ml
injekcija Telavancin hydrochloride 7,5 mg/ml
natrijumkorid 0,9% 3254
Kompatibilan
injekcija Colistin mesilate sodium 0,67 & 1,5 mg/ml
injekcija Tramadol hydrochloride 5 mg/ml
natrijumkorid 0,9% 4855
Kompatibilan
injekcija Colistin mesilate sodium
natrijumkorid 0,9% 4975
Kompatibilan
injekcija Colistin mesilate sodium 1.5 mg/ml
injekcija Vancomycin hydrochloride 10 mg/ml
natrijumkorid 0,9% 3997
Kompatibilan
injekcija Colistin mesilate sodium 0,8 mg/ml
Parenteralna prehrana (lipidima) 4438

  Mentions Légales