Senaste uppdateringen :
18/03/2026
Antibiotikum   Colistin mesilate sodium  
injektion
Aerosol
Lösningars stabilitet Stabilitet i blandningar Faktorer som påverkar stabiliteten Kompatibilitet Administreringssätt Hänvisningar pdf
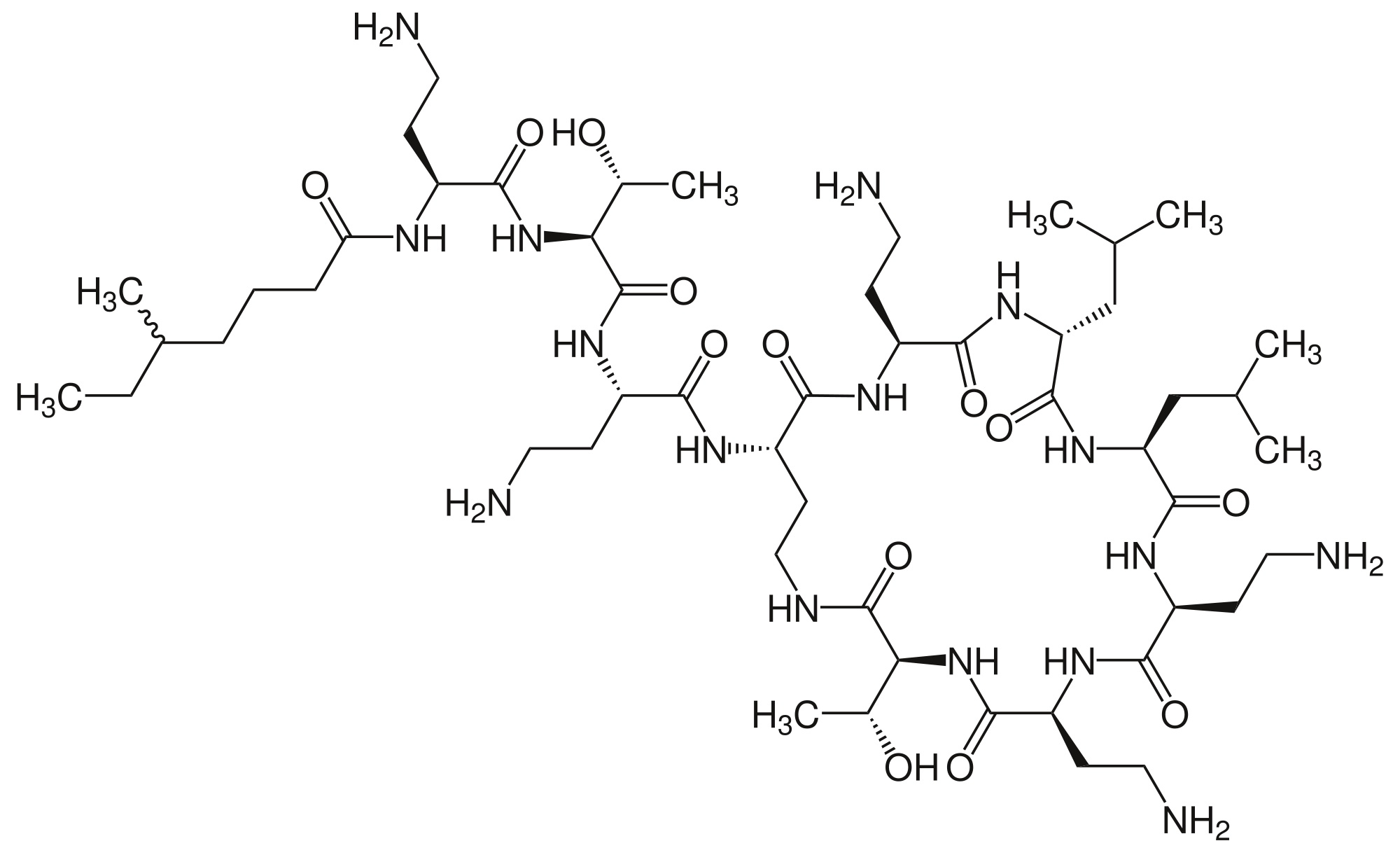
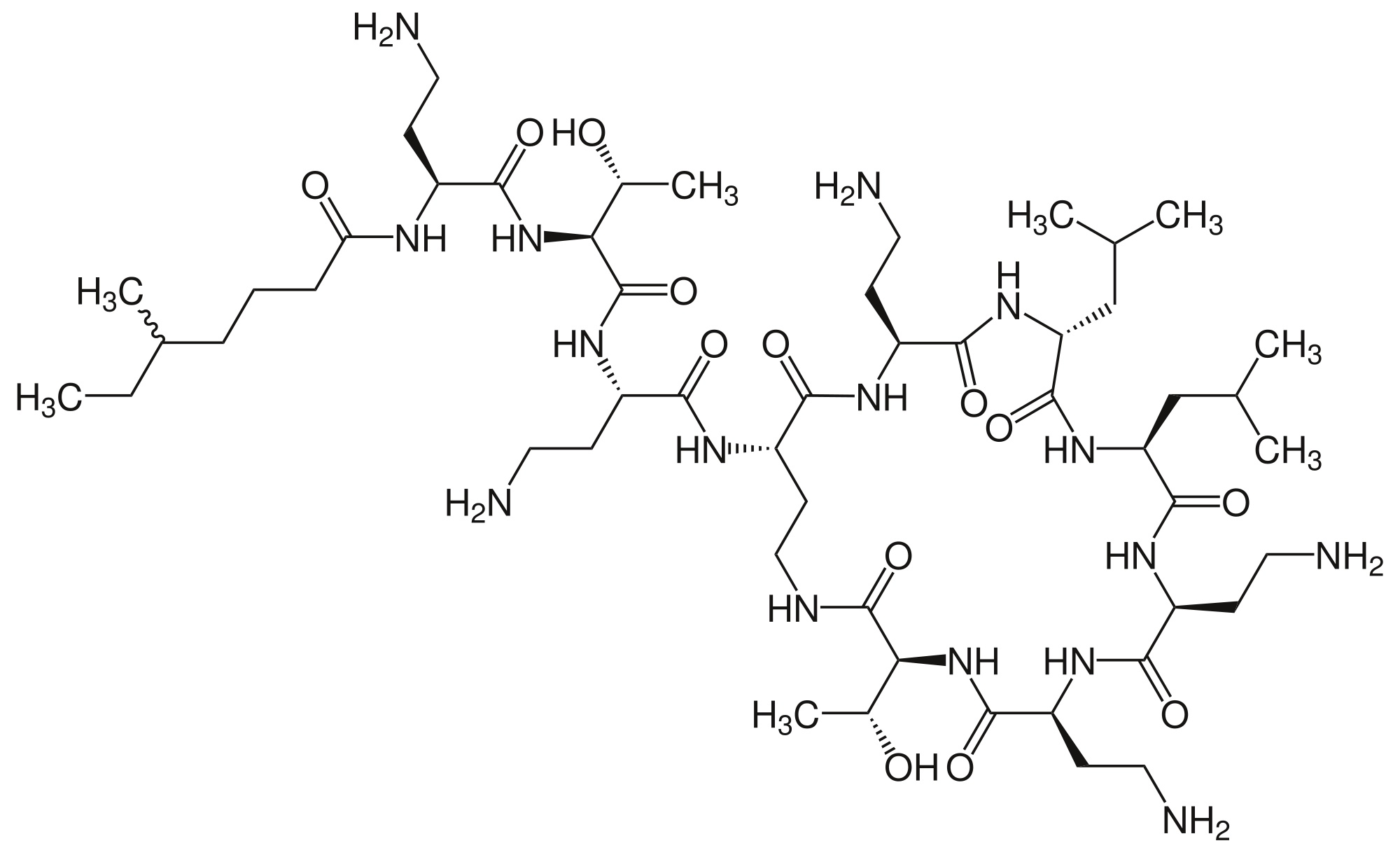
   Molekylstruktur  

Varunamn   Varunamn     

Angivna handelsnamn på läkemedel är enbart vägledande då formulering inklusive hjälpämnen kan variera mellan länder och tillverkare

Alficetin Argentina
Colimicina Italien
Colimycin Danmark, Norge, Turkiet
Colimycine Frankrike, Luxemburg, Marocko, Nederländerna, Tunisien
Colismet Peru
Colistimethate Förenta Staterna, Frankrike, Kanada, Storbritannien
Colistin Grekland, nya Zeeland, Österrike, Polen, Tyskland
Colistina Argentina, Chile, Portugal
Colistineb Belgien
Colistyn Argentina
Colixin Slovenien
Colomycin Förenta Staterna, Irland, Kanada, Malaysia, Storbritannien
Dicupal Chile
Elistin Peru
Kolisod Turkiet
Nolisin
Promixin Irland, Norge, Storbritannien, Tyskland
Toliscrin Argentina
Kompatibilitet   injektion   Kompatibilitet : Colistin mesilate sodium              
Den här skärmen visar kompatibiliteten eller inkompatibiliteten med, i detta fall, typen av inkompatibilitet (utfällning, färgförändring, modifiering av en emulsion, etc.). De kompatibiliteter som visas här är oftast endast fysiska, varvid den kemiska stabiliteten för varje molekyl sällan utvärderas. Utvärderingen av dessa blandningar studerades för att överväga möjligheten för Y-platsadministrering till patienten. Dessa data kan inte användas för att göra blandningar i förväg i påsar eller sprutor. Denna typ av information finns på skärmen "Stabilitet i blandning".
Substans Lösningsmedel Hänvisningar
Kompatibel
injektion Colistin mesilate sodium 4.5 mg/ml
injektion Cefiderocol sulfate tosylate 20 mg/mL
Glukos 5 % 4528
Kompatibel
injektion Colistin mesilate sodium 4.5 mg/ml
injektion Cefiderocol sulfate tosylate 20 mg/mL
Natriumklorid 0,9 % 4528
Kompatibel
injektion Colistin mesilate sodium 1.5 mg/ml
injektion Ceftazidime 5 mg/ml
Natriumklorid 0,9 % 3997
Kompatibel
injektion Colistin mesilate sodium 4.5 mg/ml
injektion Ceftolozane / tazobactam 10/5 mg/ml
Glukos 5 % 3828
Kompatibel
injektion Colistin mesilate sodium 4.5 mg/ml
injektion Ceftolozane / tazobactam 10/5 mg/ml
Natriumklorid 0,9 % 3828
Kompatibel
injektion Colistin mesilate sodium 1.5 mg/ml
injektion Cimetidine hydrochloride 3 mg/ml
Glukos 5 % 1201
Oförenlig
injektion Colistin mesilate sodium
Aerosol Cromoglycate sodium
2550
Omedelbar grumlighet Oförenlig
injektion Colistin mesilate sodium 4,5 mg/ml
injektion Eravacycline 0,6 mg/ml
Natriumklorid 0,9 % 4434
Kompatibel
injektion Colistin mesilate sodium 1.5 mg/ml
injektion Ertapenem 5 mg/ml
Natriumklorid 0,9 % 3997
Ospecificerad inkompatibilitet Oförenlig
injektion Colistin mesilate sodium
injektion Erythromycin lactobionate
3674
Kompatibel
injektion Colistin mesilate sodium 1.5 mg/ml
injektion Fosfomycin 20 mg/ml
Natriumklorid 0,9 % 3997
Kompatibel
injektion Colistin mesilate sodium 4.5 mg/ml
injektion Fosfomycin 30 mg/ml
Glukos 5 % 4055
Kompatibel
injektion Colistin mesilate sodium 4.5 mg/ml
injektion Fosfomycin 30 mg/ml
Natriumklorid 0,9 % 4055
Omedelbar grumlighet Oförenlig
injektion Colistin mesilate sodium 0,67 & 1,5 mg/ml
injektion Ibuprofen arginine 4 & 6 mg/ml
Natriumklorid 0,9 % 4855
Kompatibel
injektion Colistin mesilate sodium 1.5 mg/ml
injektion Imipenem - cilastatin sodium 5/5 mg/ml
Natriumklorid 0,9 % 3997
Omedelbar grumlighet Oförenlig
injektion Colistin mesilate sodium 4.5 mg/ml
injektion Isavuconazonium sulfate 1.5 mg/ml
Glukos 5 % 3829
Omedelbar grumlighet Oförenlig
injektion Colistin mesilate sodium 4.5 mg/ml
injektion Isavuconazonium sulfate 1.5 mg/ml
Natriumklorid 0,9 % 3829
Kompatibel
injektion Colistin mesilate sodium 0,67 & 1,5 mg/ml
injektion Ketoprofene 0,4 mg/ml
Natriumklorid 0,9 % 4855
Kompatibel
injektion Colistin mesilate sodium 1.5 mg/ml
injektion Linezolid 2 mg/ml
Natriumklorid 0,9 % 3997
Kompatibel
injektion Colistin mesilate sodium 75 mg/ml
injektion Meropenem 50 mg/ml
Vatten för injektion 4319
Kompatibel
injektion Colistin mesilate sodium 1.5 mg/ml
injektion Meropenem 10 mg/ml
Natriumklorid 0,9 % 3997
Färgändring Oförenlig
injektion Colistin mesilate sodium 0,67 & 1,5 mg/ml
injektion Metamizol sodium 50 mg/ml
Natriumklorid 0,9 % 4855
Ändring av pH> 1 pH-enhet Oförenlig
injektion Colistin mesilate sodium 0,67 & 1,5 mg/ml
injektion Morphine sulfate 2 mg/ml
Natriumklorid 0,9 % 4855
Kompatibel
injektion Colistin mesilate sodium 0,67 & 1,5 mg/ml
injektion Paracetamol 10 mg/ml
Natriumklorid 0,9 % 4855
Kompatibel
injektion Colistin mesilate sodium 1.5 mg/ml
injektion Piperacillin sodium / tazobactam 40/0.5 mg/ml
Natriumklorid 0,9 % 3997
Kompatibel
injektion Colistin mesilate sodium 4.5 mg/ml
injektion Plazomicin sulfate 24 mg/ml
Natriumklorid 0,9 % 4145
Kompatibel
injektion Colistin mesilate sodium 4,5 mg/ml
injektion Sulbactam/durlobactam 15/15 mg/ml
Natriumklorid 0,9 % 4801
Kompatibel
injektion Colistin mesilate sodium 4.5 mg/ml
injektion Tedizolid phosphate 0.8 mg/ml
Natriumklorid 0,9 % 3827
Omedelbar grumlighet Oförenlig
injektion Colistin mesilate sodium 4,5 mg/ml
injektion Telavancin hydrochloride 7,5 mg/ml
Glukos 5 % 3254
Omedelbar grumlighet Oförenlig
injektion Colistin mesilate sodium 4,5 mg/ml
injektion Telavancin hydrochloride 7,5 mg/ml
Ringer-laktatlösning 3254
Kompatibel
injektion Colistin mesilate sodium 4,5 mg/ml
injektion Telavancin hydrochloride 7,5 mg/ml
Natriumklorid 0,9 % 3254
Kompatibel
injektion Colistin mesilate sodium 0,67 & 1,5 mg/ml
injektion Tramadol hydrochloride 5 mg/ml
Natriumklorid 0,9 % 4855
Kompatibel
injektion Colistin mesilate sodium
Natriumklorid 0,9 % 4975
Kompatibel
injektion Colistin mesilate sodium 1.5 mg/ml
injektion Vancomycin hydrochloride 10 mg/ml
Natriumklorid 0,9 % 3997
Kompatibel
injektion Colistin mesilate sodium 0,8 mg/ml
Parenteral nutrition (med lipider) 4438

  Mentions Légales