Ultimele actualizari :
18/03/2026
Antibiotic   Colistin mesilate sodium  
Injectabil
Aerosol
Stabilitatea in solutie Stabilitatea in amestec Factorii care influenteaza stabilitatea Compatibilitate Microunde Bibliografie pdf
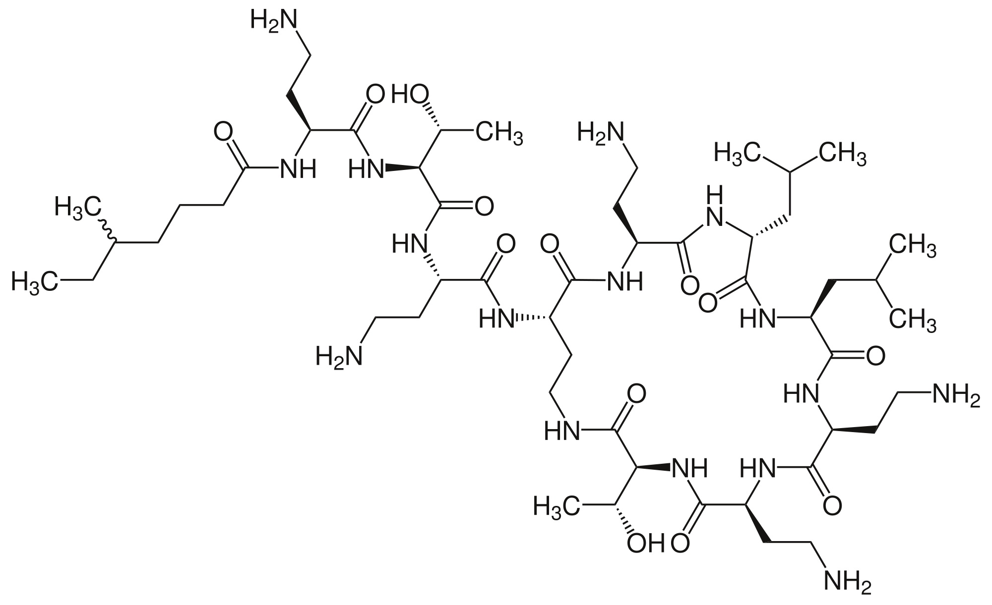
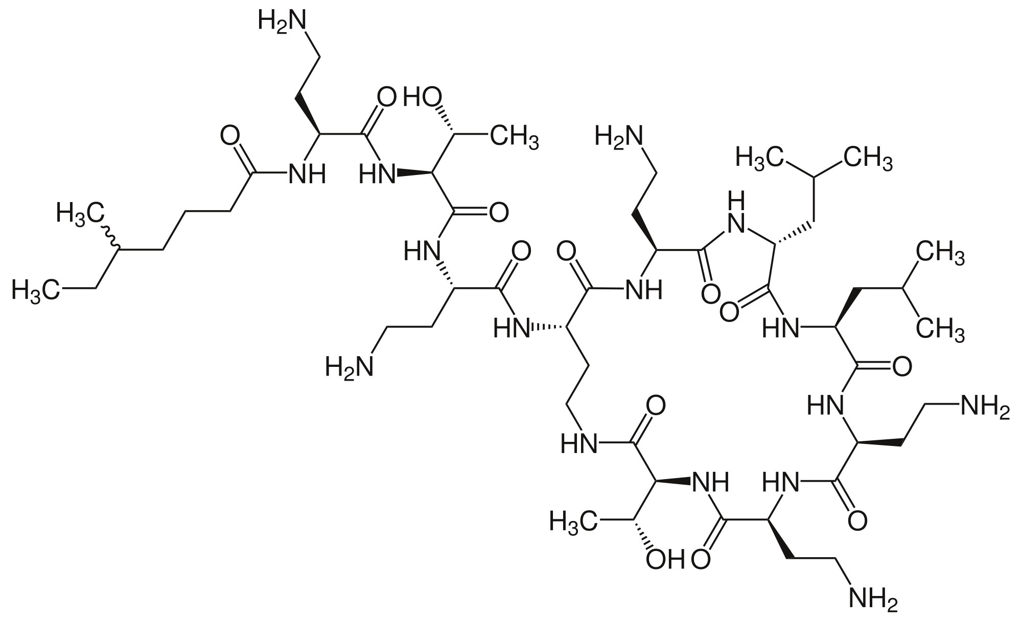
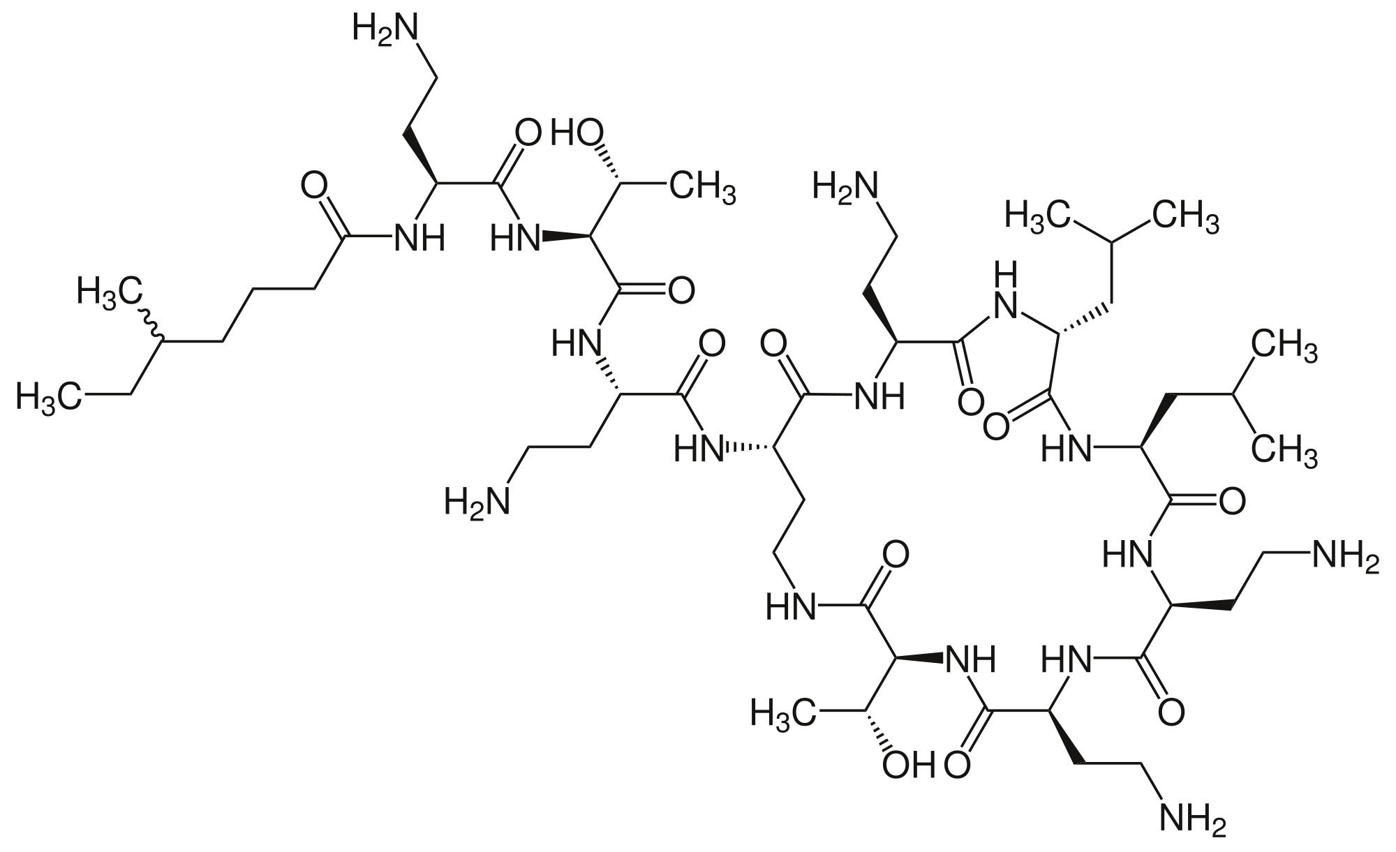
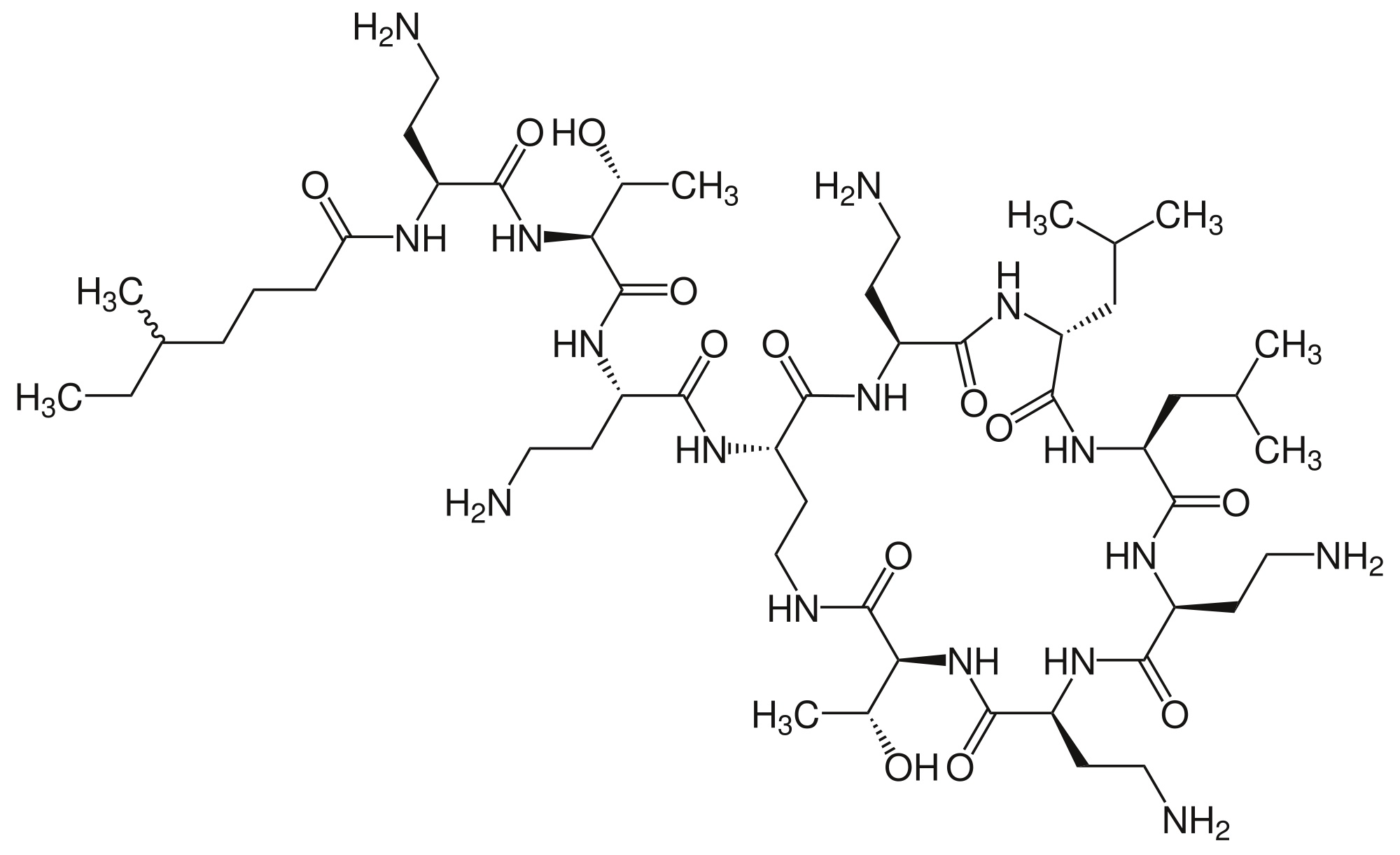
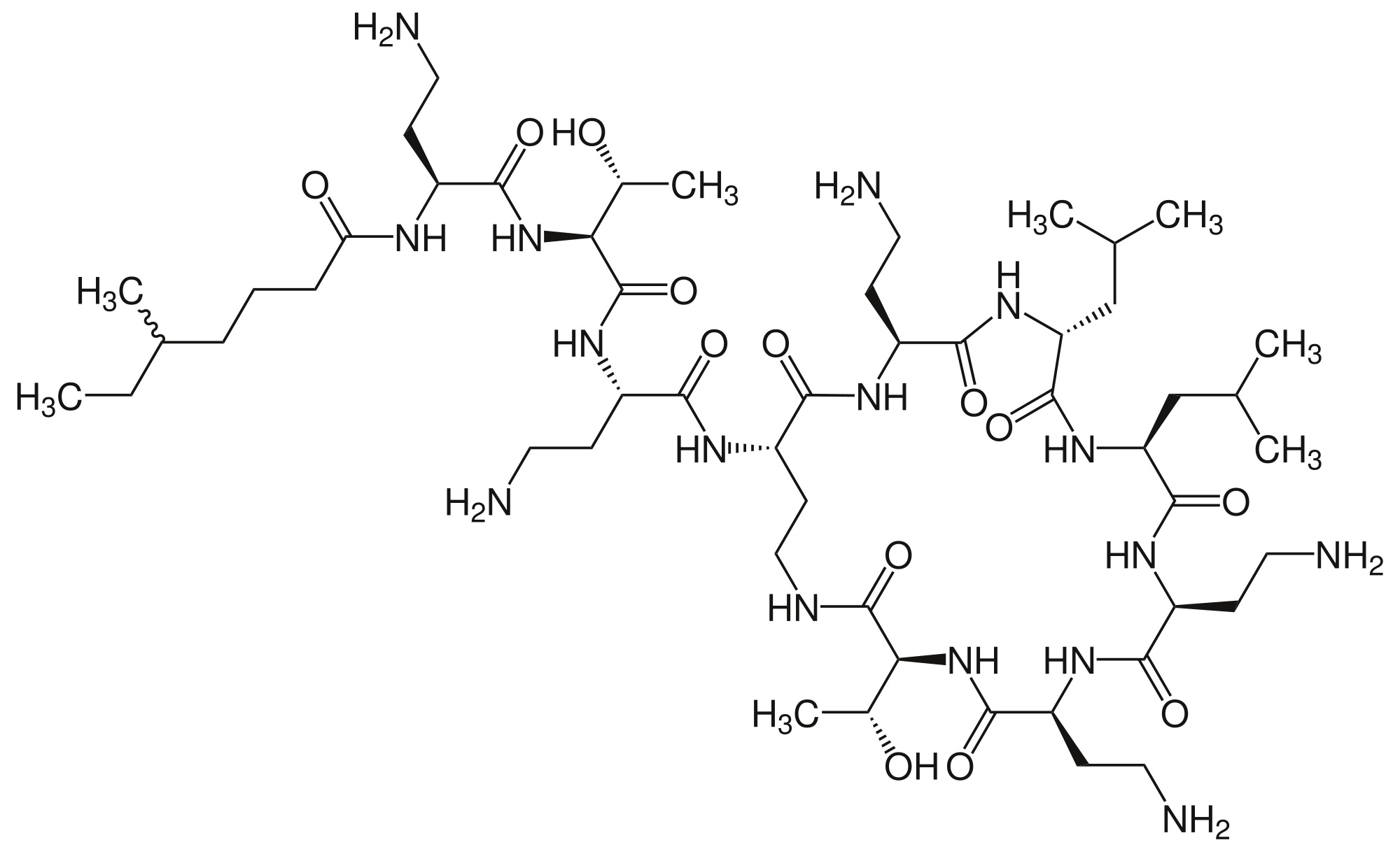
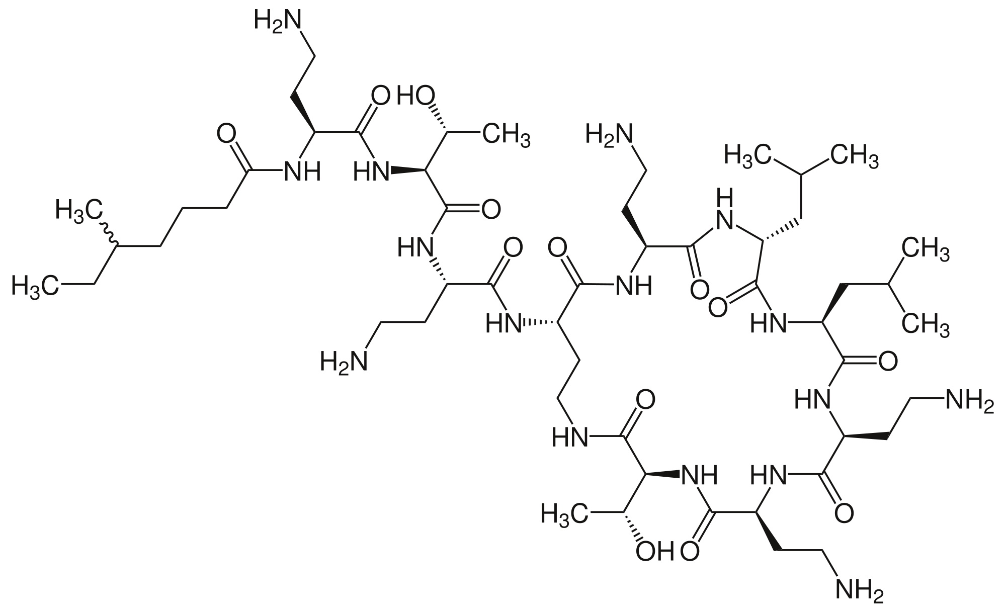
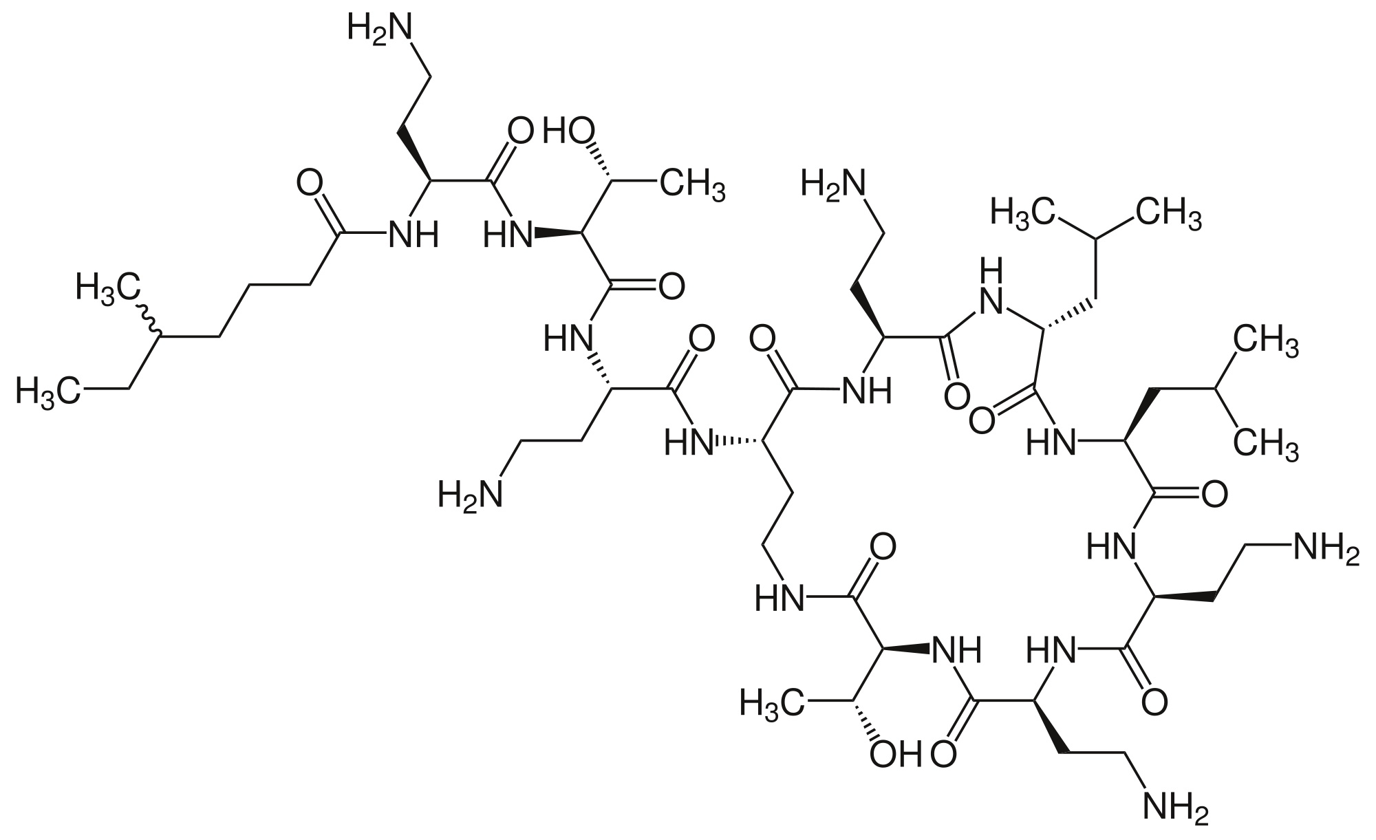
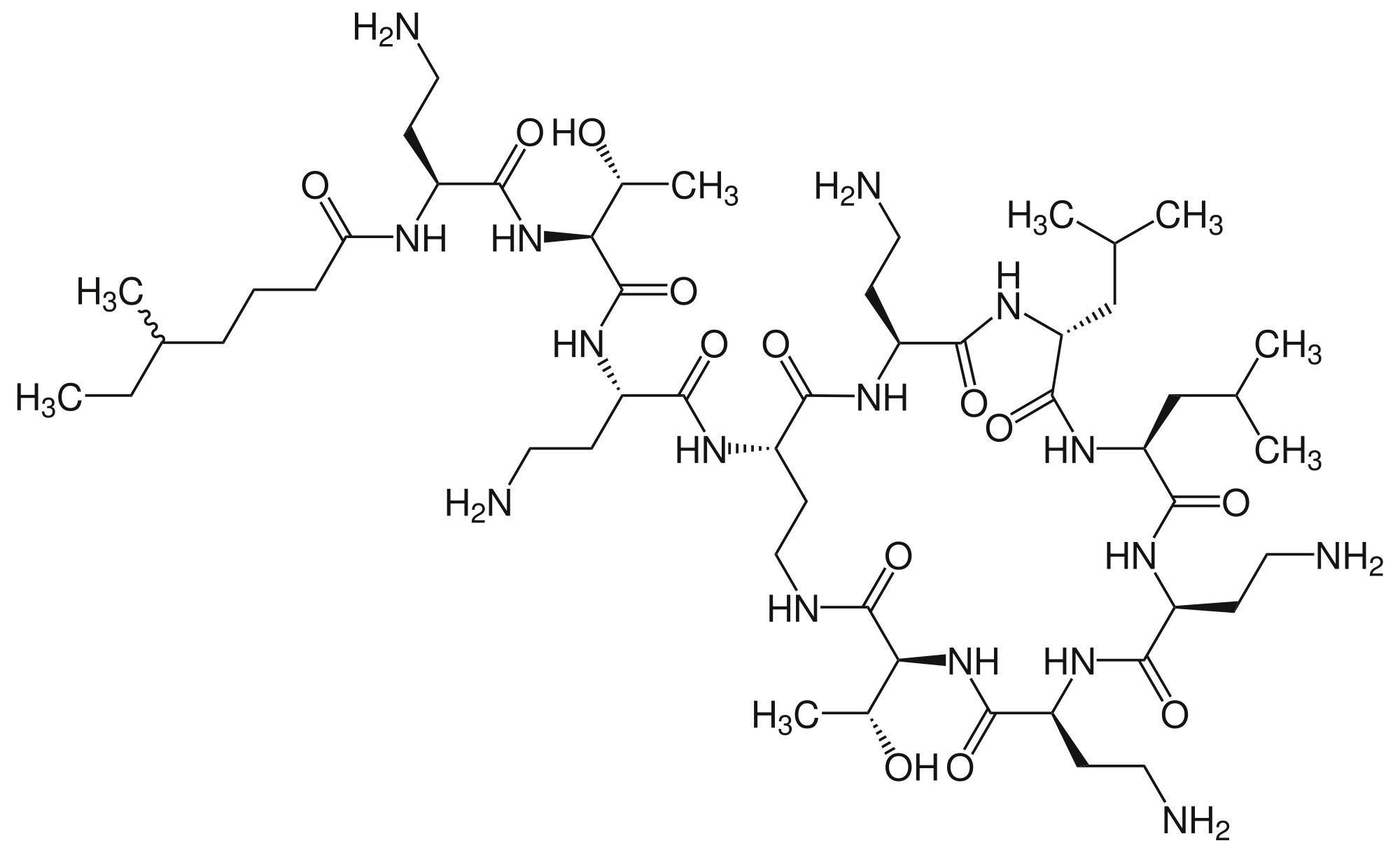
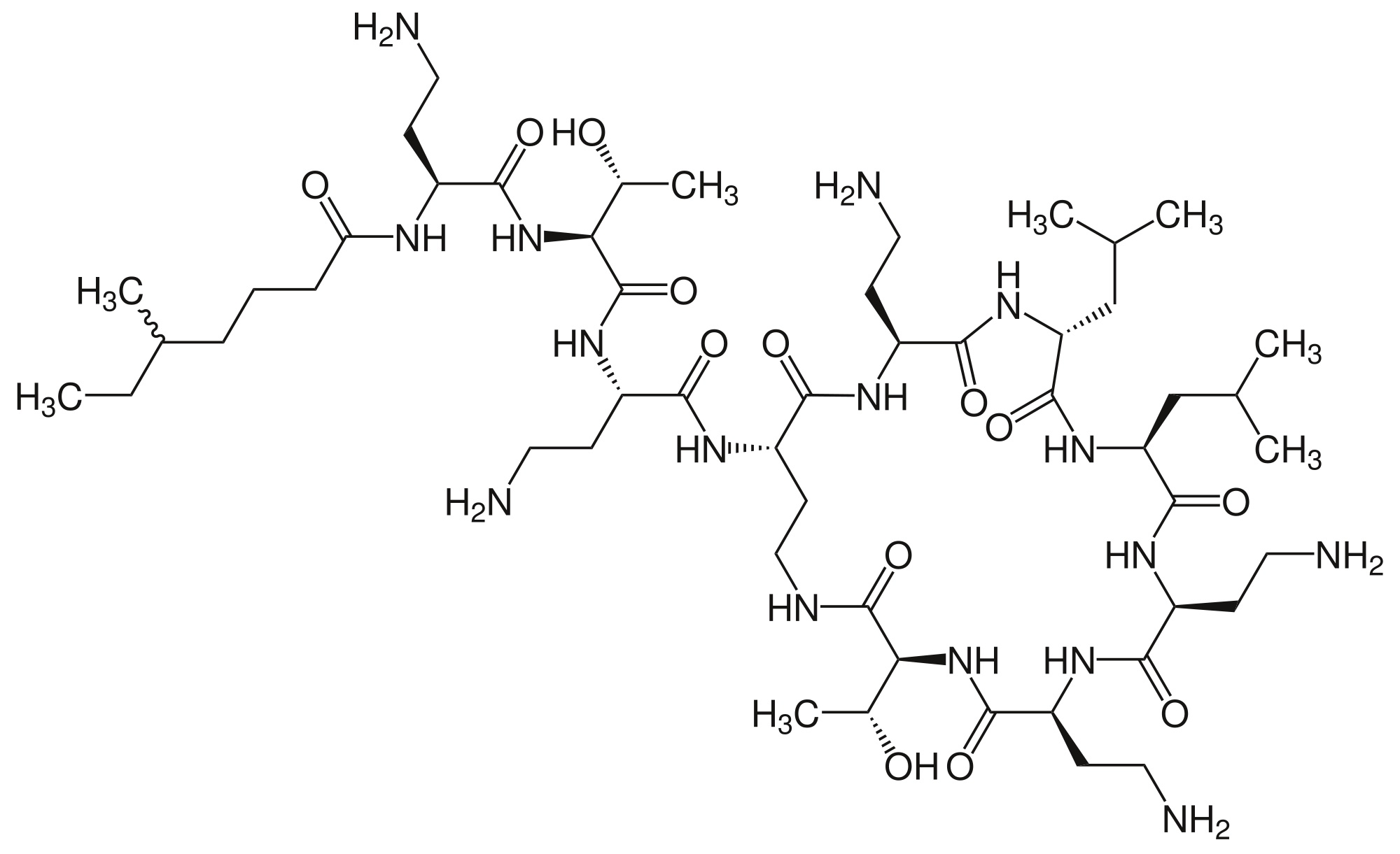
   Formula chimica  

Denumirea comerciala   Denumirea comerciala     

Trade names are indicative and excipients composition can be different depending on the country and manufacturers

Alficetin Argentina
Colimicina Italia
Colimycin Danemarca, Norvegia, Turcia
Colimycine Franta, Luxemburg, Maroc, Olanda, Tunisia
Colismet Peru
Colistimethate Canada, Franta, Marea Britanie, SUA
Colistin Austria, Germania, Grecia, noua Zeelandă, Polonia
Colistina Argentina, Chilli, Portugalia
Colistineb Belgia
Colistyn Argentina
Colixin Slovenia
Colomycin Canada, Irlanda, Malaezia, Marea Britanie, SUA
Dicupal Chilli
Elistin Peru
Kolisod Turcia
Nolisin
Promixin Germania, Irlanda, Marea Britanie, Norvegia
Toliscrin Argentina
Compatibilitate   Injectabil   Compatibilitate : Colistin mesilate sodium              
Acest ecran indică compatibilitățile sau incompatibilitățile cu, în acest caz, tipul de incompatibilitate (precipitații, schimbarea culorii, modificarea unei emulsii etc.). Compatibilitățile prezentate aici sunt în mare parte numai fizice, stabilitatea chimică a fiecărei molecule fiind rareori evaluată. Evaluarea acestor amestecuri a fost studiată pentru a lua în considerare posibilitatea administrării site-ului Y la pacient. Aceste date nu pot fi utilizate pentru prepararea în prealabil a amestecurilor în pungi sau seringi. Acest tip de informații este disponibil în ecranul „Stabilitate în amestec».
Molecula (substanta activa) Solvent Bibiografie
Compatibil
Injectabil Colistin mesilate sodium 4.5 mg/ml
Injectabil Cefiderocol sulfate tosylate 20 mg/mL
Glucoza 5% 4528
Compatibil
Injectabil Colistin mesilate sodium 4.5 mg/ml
Injectabil Cefiderocol sulfate tosylate 20 mg/mL
clorura de sodiu 0,9% 4528
Compatibil
Injectabil Colistin mesilate sodium 1.5 mg/ml
Injectabil Ceftazidime 5 mg/ml
clorura de sodiu 0,9% 3997
Compatibil
Injectabil Colistin mesilate sodium 4.5 mg/ml
Injectabil Ceftolozane / tazobactam 10/5 mg/ml
Glucoza 5% 3828
Compatibil
Injectabil Colistin mesilate sodium 4.5 mg/ml
Injectabil Ceftolozane / tazobactam 10/5 mg/ml
clorura de sodiu 0,9% 3828
Compatibil
Injectabil Colistin mesilate sodium 1.5 mg/ml
Injectabil Cimetidine hydrochloride 3 mg/ml
Glucoza 5% 1201
Incompatibil
Injectabil Colistin mesilate sodium
Aerosol Cromoglycate sodium
2550
Turbiditate imediată Incompatibil
Injectabil Colistin mesilate sodium 4,5 mg/ml
Injectabil Eravacycline 0,6 mg/ml
clorura de sodiu 0,9% 4434
Compatibil
Injectabil Colistin mesilate sodium 1.5 mg/ml
Injectabil Ertapenem 5 mg/ml
clorura de sodiu 0,9% 3997
Incompatibilitate nespecificată Incompatibil
Injectabil Colistin mesilate sodium
Injectabil Erythromycin lactobionate
3674
Compatibil
Injectabil Colistin mesilate sodium 1.5 mg/ml
Injectabil Fosfomycin 20 mg/ml
clorura de sodiu 0,9% 3997
Compatibil
Injectabil Colistin mesilate sodium 4.5 mg/ml
Injectabil Fosfomycin 30 mg/ml
Glucoza 5% 4055
Compatibil
Injectabil Colistin mesilate sodium 4.5 mg/ml
Injectabil Fosfomycin 30 mg/ml
clorura de sodiu 0,9% 4055
Turbiditate imediată Incompatibil
Injectabil Colistin mesilate sodium 0,67 & 1,5 mg/ml
Injectabil Ibuprofen arginine 4 & 6 mg/ml
clorura de sodiu 0,9% 4855
Compatibil
Injectabil Colistin mesilate sodium 1.5 mg/ml
Injectabil Imipenem - cilastatin sodium 5/5 mg/ml
clorura de sodiu 0,9% 3997
Turbiditate imediată Incompatibil
Injectabil Colistin mesilate sodium 4.5 mg/ml
Injectabil Isavuconazonium sulfate 1.5 mg/ml
Glucoza 5% 3829
Turbiditate imediată Incompatibil
Injectabil Colistin mesilate sodium 4.5 mg/ml
Injectabil Isavuconazonium sulfate 1.5 mg/ml
clorura de sodiu 0,9% 3829
Compatibil
Injectabil Colistin mesilate sodium 0,67 & 1,5 mg/ml
Injectabil Ketoprofene 0,4 mg/ml
clorura de sodiu 0,9% 4855
Compatibil
Injectabil Colistin mesilate sodium 1.5 mg/ml
Injectabil Linezolid 2 mg/ml
clorura de sodiu 0,9% 3997
Compatibil
Injectabil Colistin mesilate sodium 75 mg/ml
Injectabil Meropenem 50 mg/ml
apa pentru preparate injectabile 4319
Compatibil
Injectabil Colistin mesilate sodium 1.5 mg/ml
Injectabil Meropenem 10 mg/ml
clorura de sodiu 0,9% 3997
Schimbarea culorii Incompatibil
Injectabil Colistin mesilate sodium 0,67 & 1,5 mg/ml
Injectabil Metamizol sodium 50 mg/ml
clorura de sodiu 0,9% 4855
Modificarea pH-ului> 1 unitate de pH Incompatibil
Injectabil Colistin mesilate sodium 0,67 & 1,5 mg/ml
Injectabil Morphine sulfate 2 mg/ml
clorura de sodiu 0,9% 4855
Compatibil
Injectabil Colistin mesilate sodium 0,67 & 1,5 mg/ml
Injectabil Paracetamol 10 mg/ml
clorura de sodiu 0,9% 4855
Compatibil
Injectabil Colistin mesilate sodium 1.5 mg/ml
Injectabil Piperacillin sodium / tazobactam 40/0.5 mg/ml
clorura de sodiu 0,9% 3997
Compatibil
Injectabil Colistin mesilate sodium 4.5 mg/ml
Injectabil Plazomicin sulfate 24 mg/ml
clorura de sodiu 0,9% 4145
Compatibil
Injectabil Colistin mesilate sodium 4,5 mg/ml
Injectabil Sulbactam/durlobactam 15/15 mg/ml
clorura de sodiu 0,9% 4801
Compatibil
Injectabil Colistin mesilate sodium 4.5 mg/ml
Injectabil Tedizolid phosphate 0.8 mg/ml
clorura de sodiu 0,9% 3827
Turbiditate imediată Incompatibil
Injectabil Colistin mesilate sodium 4,5 mg/ml
Injectabil Telavancin hydrochloride 7,5 mg/ml
Glucoza 5% 3254
Turbiditate imediată Incompatibil
Injectabil Colistin mesilate sodium 4,5 mg/ml
Injectabil Telavancin hydrochloride 7,5 mg/ml
Solutie Ringer lactat 3254
Compatibil
Injectabil Colistin mesilate sodium 4,5 mg/ml
Injectabil Telavancin hydrochloride 7,5 mg/ml
clorura de sodiu 0,9% 3254
Compatibil
Injectabil Colistin mesilate sodium 0,67 & 1,5 mg/ml
Injectabil Tramadol hydrochloride 5 mg/ml
clorura de sodiu 0,9% 4855
Compatibil
Injectabil Colistin mesilate sodium
clorura de sodiu 0,9% 4975
Compatibil
Injectabil Colistin mesilate sodium 1.5 mg/ml
Injectabil Vancomycin hydrochloride 10 mg/ml
clorura de sodiu 0,9% 3997
Compatibil
Injectabil Colistin mesilate sodium 0,8 mg/ml
Nutriție parenterală (cu lipide) 4438

  Mentions Légales