Last update :
18/03/2026
Antibiotic   Colistin mesilate sodium  
injection
aerosol
Stability in solutions Stability of mixtures Factors which affect stability Compatibility Route of administration References pdf
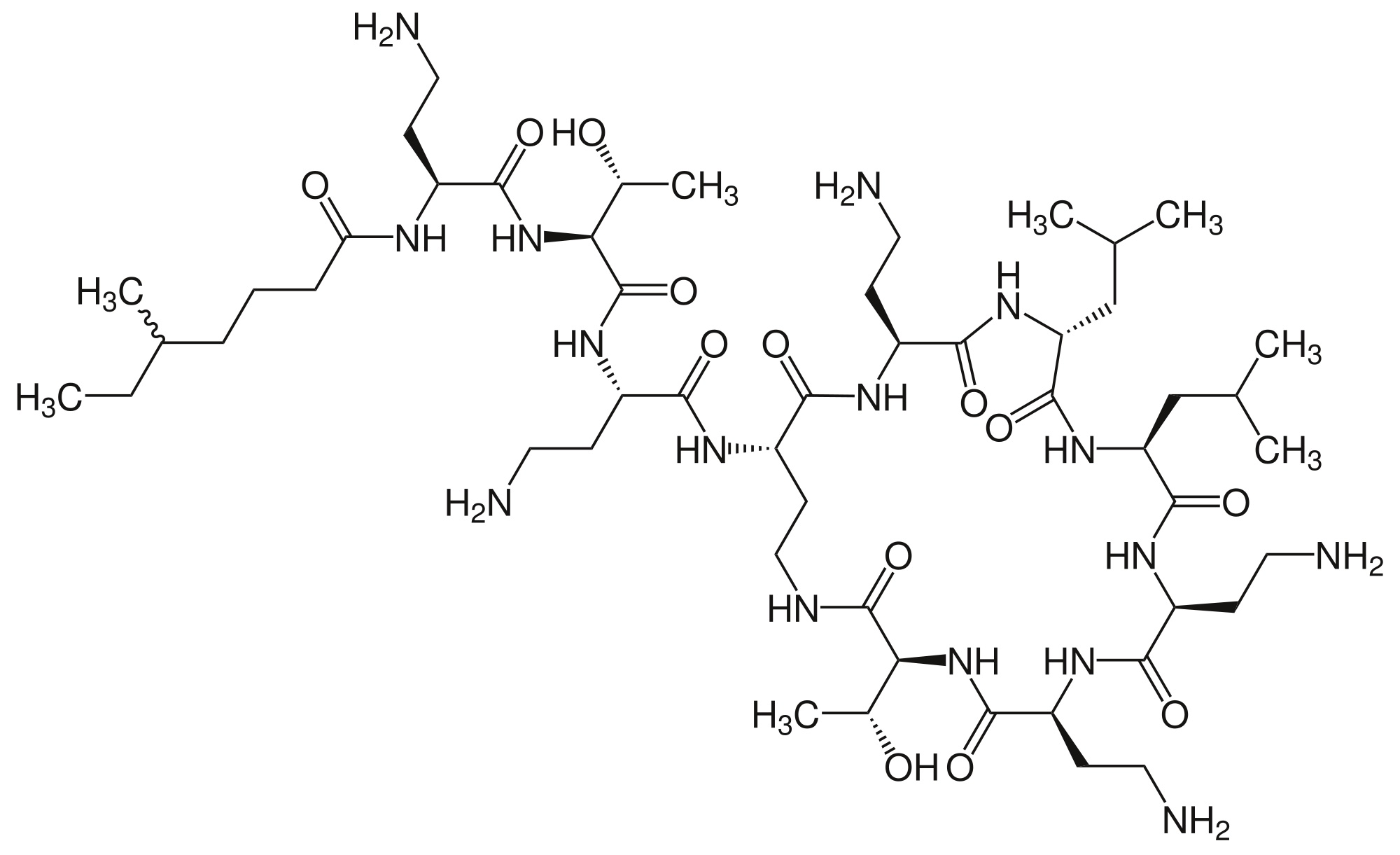
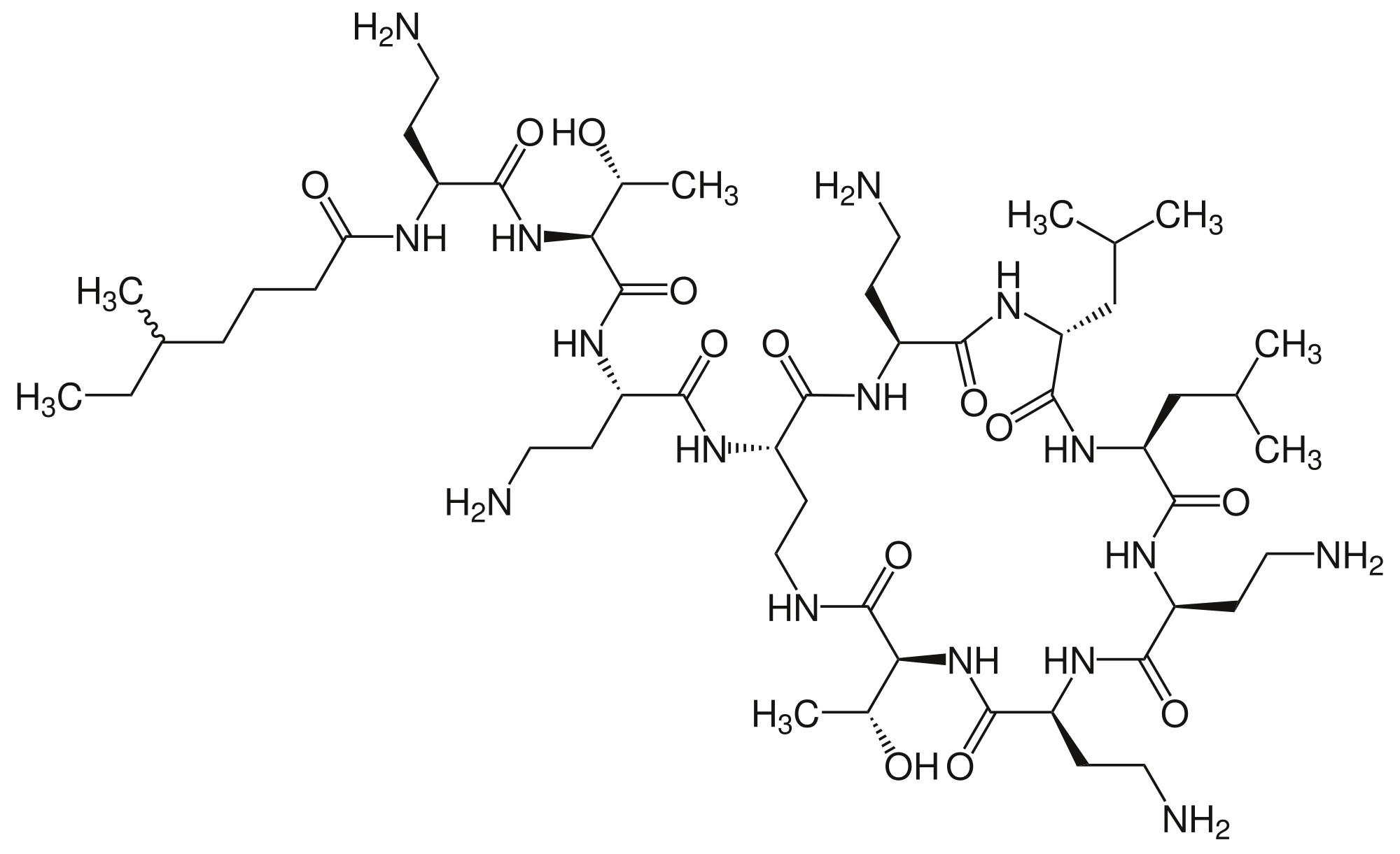
   Chemical structure  

Tradename   Tradename     

Trade names are indicative and excipients composition can be different depending on the country and manufacturers

Alficetin Argentina
Colimicina Italy
Colimycin Denmark, Norway, Turkey
Colimycine France, Luxembourg, Morocco, Netherlands, Tunisia
Colismet Peru
Colistimethate Canada, France, Great Britain, United States of America
Colistin Austria, Germany, Greece, New Zealand, Poland
Colistina Argentina, Chile, Portugal
Colistineb Belgium
Colistyn Argentina
Colixin Slovenia
Colomycin Canada, Great Britain, Ireland, Malaysia, United States of America
Dicupal Chile
Elistin Peru
Kolisod Turkey
Nolisin
Promixin Germany, Great Britain, Ireland, Norway
Toliscrin Argentina
Compatibility   injection   Compatibility : Colistin mesilate sodium              
This screen indicates the compatibilities or incompatibilities with, in this case, the type of incompatibility (precipitation, color change, modification of an emulsion, etc.). The compatibilities shown here are mostly physical only, with the chemical stability of each molecule rarely being assessed. The evaluation of these mixtures was studied to consider the possibility of Y-site administration to the patient. These data cannot be used for making mixtures in advance in bags or syringes. This type of information is available in the screen "Stability in mixture ».
Compound Solvent References
Compatible
injection Colistin mesilate sodium 4.5 mg/ml
injection Cefiderocol sulfate tosylate 20 mg/mL
Glucose 5% 4528
Compatible
injection Colistin mesilate sodium 4.5 mg/ml
injection Cefiderocol sulfate tosylate 20 mg/mL
Sodium chloride 0,9% 4528
Compatible
injection Colistin mesilate sodium 1.5 mg/ml
injection Ceftazidime 5 mg/ml
Sodium chloride 0,9% 3997
Compatible
injection Colistin mesilate sodium 4.5 mg/ml
injection Ceftolozane / tazobactam 10/5 mg/ml
Glucose 5% 3828
Compatible
injection Colistin mesilate sodium 4.5 mg/ml
injection Ceftolozane / tazobactam 10/5 mg/ml
Sodium chloride 0,9% 3828
Compatible
injection Colistin mesilate sodium 1.5 mg/ml
injection Cimetidine hydrochloride 3 mg/ml
Glucose 5% 1201
Incompatible
injection Colistin mesilate sodium
aerosol Cromoglycate sodium
2550
Immediate turbidity Incompatible
injection Colistin mesilate sodium 4,5 mg/ml
injection Eravacycline 0,6 mg/ml
Sodium chloride 0,9% 4434
Compatible
injection Colistin mesilate sodium 1.5 mg/ml
injection Ertapenem 5 mg/ml
Sodium chloride 0,9% 3997
Unspecified incompatibility Incompatible
injection Colistin mesilate sodium
injection Erythromycin lactobionate
3674
Compatible
injection Colistin mesilate sodium 1.5 mg/ml
injection Fosfomycin 20 mg/ml
Sodium chloride 0,9% 3997
Compatible
injection Colistin mesilate sodium 4.5 mg/ml
injection Fosfomycin 30 mg/ml
Glucose 5% 4055
Compatible
injection Colistin mesilate sodium 4.5 mg/ml
injection Fosfomycin 30 mg/ml
Sodium chloride 0,9% 4055
Immediate turbidity Incompatible
injection Colistin mesilate sodium 0,67 & 1,5 mg/ml
injection Ibuprofen arginine 4 & 6 mg/ml
Sodium chloride 0,9% 4855
Compatible
injection Colistin mesilate sodium 1.5 mg/ml
injection Imipenem - cilastatin sodium 5/5 mg/ml
Sodium chloride 0,9% 3997
Immediate turbidity Incompatible
injection Colistin mesilate sodium 4.5 mg/ml
injection Isavuconazonium sulfate 1.5 mg/ml
Glucose 5% 3829
Immediate turbidity Incompatible
injection Colistin mesilate sodium 4.5 mg/ml
injection Isavuconazonium sulfate 1.5 mg/ml
Sodium chloride 0,9% 3829
Compatible
injection Colistin mesilate sodium 0,67 & 1,5 mg/ml
injection Ketoprofene 0,4 mg/ml
Sodium chloride 0,9% 4855
Compatible
injection Colistin mesilate sodium 1.5 mg/ml
injection Linezolid 2 mg/ml
Sodium chloride 0,9% 3997
Compatible
injection Colistin mesilate sodium 75 mg/ml
injection Meropenem 50 mg/ml
Water for Injection 4319
Compatible
injection Colistin mesilate sodium 1.5 mg/ml
injection Meropenem 10 mg/ml
Sodium chloride 0,9% 3997
Color change Incompatible
injection Colistin mesilate sodium 0,67 & 1,5 mg/ml
injection Metamizol sodium 50 mg/ml
Sodium chloride 0,9% 4855
Modification of pH > 1 pH unit Incompatible
injection Colistin mesilate sodium 0,67 & 1,5 mg/ml
injection Morphine sulfate 2 mg/ml
Sodium chloride 0,9% 4855
Compatible
injection Colistin mesilate sodium 0,67 & 1,5 mg/ml
injection Paracetamol 10 mg/ml
Sodium chloride 0,9% 4855
Compatible
injection Colistin mesilate sodium 1.5 mg/ml
injection Piperacillin sodium / tazobactam 40/0.5 mg/ml
Sodium chloride 0,9% 3997
Compatible
injection Colistin mesilate sodium 4.5 mg/ml
injection Plazomicin sulfate 24 mg/ml
Sodium chloride 0,9% 4145
Compatible
injection Colistin mesilate sodium 4,5 mg/ml
injection Sulbactam/durlobactam 15/15 mg/ml
Sodium chloride 0,9% 4801
Compatible
injection Colistin mesilate sodium 4.5 mg/ml
injection Tedizolid phosphate 0.8 mg/ml
Sodium chloride 0,9% 3827
Immediate turbidity Incompatible
injection Colistin mesilate sodium 4,5 mg/ml
injection Telavancin hydrochloride 7,5 mg/ml
Glucose 5% 3254
Immediate turbidity Incompatible
injection Colistin mesilate sodium 4,5 mg/ml
injection Telavancin hydrochloride 7,5 mg/ml
Ringer’s lactate solution 3254
Compatible
injection Colistin mesilate sodium 4,5 mg/ml
injection Telavancin hydrochloride 7,5 mg/ml
Sodium chloride 0,9% 3254
Compatible
injection Colistin mesilate sodium 0,67 & 1,5 mg/ml
injection Tramadol hydrochloride 5 mg/ml
Sodium chloride 0,9% 4855
Compatible
injection Colistin mesilate sodium
Sodium chloride 0,9% 4975
Compatible
injection Colistin mesilate sodium 1.5 mg/ml
injection Vancomycin hydrochloride 10 mg/ml
Sodium chloride 0,9% 3997
Compatible
injection Colistin mesilate sodium 0,8 mg/ml
Parenteral nutrition (with lipids) 4438

  Mentions Légales