Cập nhật lần cuối :
18/03/2026
thuốc trị ung thư   Etoposide phosphate  
Dạng tiêm
Tính ổn định của các dung dịch Độ ổn định khi trộn lẫn Những yếu tố ảnh hưởng đến độ ổn định Khả năng tương thích Đường dùng Tài liệu tham khảo Pdf
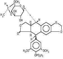
   Cấu trúc hóa học  

Tên thương mại   Tên thương mại     

Các tên thương mại được cung cấp và thành phần tá dược có thể khác nhau giữa các quốc gia và các hãng dược

Etopofos Áo, Hy Lạp, Thụy Điển
Etopophos Anh, Ba Lan, Bỉ, Bulgaria, Hà Lan, Hoa Kỳ, Israel, Luxembourg, new zealand, Pháp, Thụy Sỹ, Đức
Độ ổn định khi trộn lẫn   Dạng tiêm   Độ ổn định khi trộn lẫn : Etoposide phosphate     
Bao bì Dung môi Nồng độ Phân tử Nhiệt độ Bảo quản Thời gian ổn định Mục lục
Nhựa polyolefin NaCl 0,9% 0,6 mg/ml
Dạng tiêm   Etoposide phosphate   
Dạng tiêm   Doxorubicin hydrochloride 0,12 mg/ml
Dạng tiêm   Vincristine sulfate 0,005 mg/ml
2-6°C
5 Ngày
Tránh ánh sáng 1606
Cấp độ bằng chứng A
Nhựa polyolefin NaCl 0,9% 1,2 mg/ml
Dạng tiêm   Etoposide phosphate   
Dạng tiêm   Doxorubicin hydrochloride 0,24 mg/ml
Dạng tiêm   Vincristine sulfate 0,010 mg/ml
2-6°C
5 Ngày
Tránh ánh sáng 1606
Cấp độ bằng chứng A
Nhựa polyolefin NaCl 0,9% 2 mg/ml
Dạng tiêm   Etoposide phosphate   
Dạng tiêm   Doxorubicin hydrochloride 0,4 mg/ml
Dạng tiêm   Vincristine sulfate 0,016 mg/ml
2-6°C
5 Ngày
Có hoặc không có tiếp xúc với ánh sáng 1606
Cấp độ bằng chứng A
Nhựa polyolefin NaCl 0,9% 0,6 mg/ml
Dạng tiêm   Etoposide phosphate   
Dạng tiêm   Doxorubicin hydrochloride 0,12 mg/ml
Dạng tiêm   Vincristine sulfate 0,005 mg/ml
35°C-40°C
5 Ngày
Tránh ánh sáng 1606
Cấp độ bằng chứng A
Nhựa polyolefin NaCl 0,9% 1,2 mg/ml
Dạng tiêm   Etoposide phosphate   
Dạng tiêm   Doxorubicin hydrochloride 0,24 mg/ml
Dạng tiêm   Vincristine sulfate 0,010 mg/ml
35°C-40°C
5 Ngày
Tránh ánh sáng 1606
Cấp độ bằng chứng A
Nhựa polyolefin NaCl 0,9% 2 mg/ml
Dạng tiêm   Etoposide phosphate   
Dạng tiêm   Doxorubicin hydrochloride 0,4 mg/ml
Dạng tiêm   Vincristine sulfate 0,016 mg/ml
35°C-40°C
5 Ngày
Có hoặc không có tiếp xúc với ánh sáng 1606
Cấp độ bằng chứng A
Chất đàn hồi polyisoprene NaCl 0,9% 0,6 mg/ml
Dạng tiêm   Etoposide phosphate   
Dạng tiêm   Vincristine sulfate 0,005 mg/ml
Dạng tiêm   Doxorubicin hydrochloride 0,12 mg/ml
2-6°C
14 Ngày
Không rõ 4102
Cấp độ bằng chứng A+
Chất đàn hồi polyisoprene NaCl 0,9% 1,2 mg/ml
Dạng tiêm   Etoposide phosphate   
Dạng tiêm   Vincristine sulfate 0,01 mg/ml
Dạng tiêm   Doxorubicin hydrochloride 0,24 mg/ml
2-6°C
14 Ngày
Không rõ 4102
Cấp độ bằng chứng A+
Chất đàn hồi polyisoprene NaCl 0,9% 2 mg/ml
Dạng tiêm   Etoposide phosphate   
Dạng tiêm   Vincristine sulfate 0,016 mg/ml
Dạng tiêm   Doxorubicin hydrochloride 0,4 mg/ml
2-6°C
14 Ngày
Không rõ 4102
Cấp độ bằng chứng A+
Chất đàn hồi polyisoprene NaCl 0,9% 0,6 mg/ml
Dạng tiêm   Etoposide phosphate   
Dạng tiêm   Vincristine sulfate 0,005 mg/ml
Dạng tiêm   Doxorubicin hydrochloride 0,12 mg/ml
35°C
7 Ngày
Tránh ánh sáng 4102
Cấp độ bằng chứng A+
Chất đàn hồi polyisoprene NaCl 0,9% 1,2 mg/ml
Dạng tiêm   Etoposide phosphate   
Dạng tiêm   Vincristine sulfate 0,01 mg/ml
Dạng tiêm   Doxorubicin hydrochloride 0,24 mg/ml
35°C
7 Ngày
Tránh ánh sáng 4102
Cấp độ bằng chứng A+
Chất đàn hồi polyisoprene NaCl 0,9% 2 mg/ml
Dạng tiêm   Etoposide phosphate   
Dạng tiêm   Vincristine sulfate 0,016 mg/ml
Dạng tiêm   Doxorubicin hydrochloride 0,4 mg/ml
35°C
7 Ngày
Tránh ánh sáng 4102
Cấp độ bằng chứng A+

  Mentions Légales