Последнее обновление :
17/12/2025
Цитостатическое средство   Etoposide phosphate  
Инъекция
Стабильность растворов Стабильность смесей Факторы, которые влияют на стабильность Совместимость Способы введения Библиография pdf
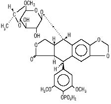
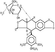
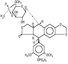
   Химическая структура  

Товарное название   Товарное название     

Trade names are indicative and excipients composition can be different depending on the country and manufacturers

Etopofos Австрия, Греция, Швеция
Etopophos Бельгия, Болгария, Великобритания, Германия, Голландия, Израиль, Люксембург, новая Зеландия, Польша, Соединённые Штаты Америки, Франция, Швейцария
Стабильность смесей   Инъекция   Стабильность смесей : Etoposide phosphate     
Упаковка Растворитель Концентрация Молекула Температура Хранение Продолжительность стабильности Ссылки
Полиолефин Натрия хлорид 0,9% 0,6 mg/ml
Инъекция   Etoposide phosphate   
Инъекция   Doxorubicin hydrochloride 0,12 mg/ml
Инъекция   Vincristine sulfate 0,005 mg/ml
2-6°C
5 День
Защищён от света 1606
Уровень доказательности A
Полиолефин Натрия хлорид 0,9% 1,2 mg/ml
Инъекция   Etoposide phosphate   
Инъекция   Doxorubicin hydrochloride 0,24 mg/ml
Инъекция   Vincristine sulfate 0,010 mg/ml
2-6°C
5 День
Защищён от света 1606
Уровень доказательности A
Полиолефин Натрия хлорид 0,9% 2 mg/ml
Инъекция   Etoposide phosphate   
Инъекция   Doxorubicin hydrochloride 0,4 mg/ml
Инъекция   Vincristine sulfate 0,016 mg/ml
2-6°C
5 День
И на свету и в темноте 1606
Уровень доказательности A
Полиолефин Натрия хлорид 0,9% 0,6 mg/ml
Инъекция   Etoposide phosphate   
Инъекция   Doxorubicin hydrochloride 0,12 mg/ml
Инъекция   Vincristine sulfate 0,005 mg/ml
35°C-40°C
5 День
Защищён от света 1606
Уровень доказательности A
Полиолефин Натрия хлорид 0,9% 1,2 mg/ml
Инъекция   Etoposide phosphate   
Инъекция   Doxorubicin hydrochloride 0,24 mg/ml
Инъекция   Vincristine sulfate 0,010 mg/ml
35°C-40°C
5 День
Защищён от света 1606
Уровень доказательности A
Полиолефин Натрия хлорид 0,9% 2 mg/ml
Инъекция   Etoposide phosphate   
Инъекция   Doxorubicin hydrochloride 0,4 mg/ml
Инъекция   Vincristine sulfate 0,016 mg/ml
35°C-40°C
5 День
И на свету и в темноте 1606
Уровень доказательности A
Полиизопреновый эластомер Натрия хлорид 0,9% 0,6 mg/ml
Инъекция   Etoposide phosphate   
Инъекция   Vincristine sulfate 0,005 mg/ml
Инъекция   Doxorubicin hydrochloride 0,12 mg/ml
2-6°C
14 День
Не указано 4102
Уровень доказательности A +
Полиизопреновый эластомер Натрия хлорид 0,9% 1,2 mg/ml
Инъекция   Etoposide phosphate   
Инъекция   Vincristine sulfate 0,01 mg/ml
Инъекция   Doxorubicin hydrochloride 0,24 mg/ml
2-6°C
14 День
Не указано 4102
Уровень доказательности A +
Полиизопреновый эластомер Натрия хлорид 0,9% 2 mg/ml
Инъекция   Etoposide phosphate   
Инъекция   Vincristine sulfate 0,016 mg/ml
Инъекция   Doxorubicin hydrochloride 0,4 mg/ml
2-6°C
14 День
Не указано 4102
Уровень доказательности A +
Полиизопреновый эластомер Натрия хлорид 0,9% 0,6 mg/ml
Инъекция   Etoposide phosphate   
Инъекция   Vincristine sulfate 0,005 mg/ml
Инъекция   Doxorubicin hydrochloride 0,12 mg/ml
35°C
7 День
Защищён от света 4102
Уровень доказательности A +
Полиизопреновый эластомер Натрия хлорид 0,9% 1,2 mg/ml
Инъекция   Etoposide phosphate   
Инъекция   Vincristine sulfate 0,01 mg/ml
Инъекция   Doxorubicin hydrochloride 0,24 mg/ml
35°C
7 День
Защищён от света 4102
Уровень доказательности A +
Полиизопреновый эластомер Натрия хлорид 0,9% 2 mg/ml
Инъекция   Etoposide phosphate   
Инъекция   Vincristine sulfate 0,016 mg/ml
Инъекция   Doxorubicin hydrochloride 0,4 mg/ml
35°C
7 День
Защищён от света 4102
Уровень доказательности A +

  Mentions Légales