Última actualización :
18/03/2026
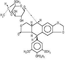
fármacos contra el cáncer   Etoposide phosphate  
Inyectables
Estabilidad en solucion Estabilidad en mezcla Factores que influyen sobre la estabilidad Compatibilidades método de inyección Bibliografía pdf
   Estructura química  

Nombre comercial   Nombre comercial     

Los nombres comerciales son orientativos y los excipientes de la formulación pueden ser distintos dependiendo del país y del laboratorio fabricante.

Etopofos Austria, Grecia, Suecia
Etopophos Alemania, Bélgica, Bulgaria, Estados Unidos de América, Francia, Gran Bretaña, Israel, Luxemburgo, Nueva Zelanda, Países Bajos, Polonia, Suiza
Estabilidad en mezcla   Inyectables   Estabilidad en mezcla : Etoposide phosphate     
Envase Solvente Concentración Molécula Temperatura Conservación Duración de la estabilidad Bibliografía
Poliolefina Cloruro de sodio 0,9% 0,6 mg/ml
Inyectables   Etoposide phosphate   
Inyectables   Doxorubicin hydrochloride 0,12 mg/ml
Inyectables   Vincristine sulfate 0,005 mg/ml
2-6°C
5 Día
A cubierto de la luz 1606
Nivel de evidencia A
Poliolefina Cloruro de sodio 0,9% 1,2 mg/ml
Inyectables   Etoposide phosphate   
Inyectables   Doxorubicin hydrochloride 0,24 mg/ml
Inyectables   Vincristine sulfate 0,010 mg/ml
2-6°C
5 Día
A cubierto de la luz 1606
Nivel de evidencia A
Poliolefina Cloruro de sodio 0,9% 2 mg/ml
Inyectables   Etoposide phosphate   
Inyectables   Doxorubicin hydrochloride 0,4 mg/ml
Inyectables   Vincristine sulfate 0,016 mg/ml
2-6°C
5 Día
Con o sin luz 1606
Nivel de evidencia A
Poliolefina Cloruro de sodio 0,9% 0,6 mg/ml
Inyectables   Etoposide phosphate   
Inyectables   Doxorubicin hydrochloride 0,12 mg/ml
Inyectables   Vincristine sulfate 0,005 mg/ml
35°C-40°C
5 Día
A cubierto de la luz 1606
Nivel de evidencia A
Poliolefina Cloruro de sodio 0,9% 1,2 mg/ml
Inyectables   Etoposide phosphate   
Inyectables   Doxorubicin hydrochloride 0,24 mg/ml
Inyectables   Vincristine sulfate 0,010 mg/ml
35°C-40°C
5 Día
A cubierto de la luz 1606
Nivel de evidencia A
Poliolefina Cloruro de sodio 0,9% 2 mg/ml
Inyectables   Etoposide phosphate   
Inyectables   Doxorubicin hydrochloride 0,4 mg/ml
Inyectables   Vincristine sulfate 0,016 mg/ml
35°C-40°C
5 Día
Con o sin luz 1606
Nivel de evidencia A
Elastómero de poliisopreno Cloruro de sodio 0,9% 0,6 mg/ml
Inyectables   Etoposide phosphate   
Inyectables   Vincristine sulfate 0,005 mg/ml
Inyectables   Doxorubicin hydrochloride 0,12 mg/ml
2-6°C
14 Día
No precisada 4102
Nivel de evidencia A+
Elastómero de poliisopreno Cloruro de sodio 0,9% 1,2 mg/ml
Inyectables   Etoposide phosphate   
Inyectables   Vincristine sulfate 0,01 mg/ml
Inyectables   Doxorubicin hydrochloride 0,24 mg/ml
2-6°C
14 Día
No precisada 4102
Nivel de evidencia A+
Elastómero de poliisopreno Cloruro de sodio 0,9% 2 mg/ml
Inyectables   Etoposide phosphate   
Inyectables   Vincristine sulfate 0,016 mg/ml
Inyectables   Doxorubicin hydrochloride 0,4 mg/ml
2-6°C
14 Día
No precisada 4102
Nivel de evidencia A+
Elastómero de poliisopreno Cloruro de sodio 0,9% 0,6 mg/ml
Inyectables   Etoposide phosphate   
Inyectables   Vincristine sulfate 0,005 mg/ml
Inyectables   Doxorubicin hydrochloride 0,12 mg/ml
35°C
7 Día
A cubierto de la luz 4102
Nivel de evidencia A+
Elastómero de poliisopreno Cloruro de sodio 0,9% 1,2 mg/ml
Inyectables   Etoposide phosphate   
Inyectables   Vincristine sulfate 0,01 mg/ml
Inyectables   Doxorubicin hydrochloride 0,24 mg/ml
35°C
7 Día
A cubierto de la luz 4102
Nivel de evidencia A+
Elastómero de poliisopreno Cloruro de sodio 0,9% 2 mg/ml
Inyectables   Etoposide phosphate   
Inyectables   Vincristine sulfate 0,016 mg/ml
Inyectables   Doxorubicin hydrochloride 0,4 mg/ml
35°C
7 Día
A cubierto de la luz 4102
Nivel de evidencia A+

  Mentions Légales