最新更新 :
17/12/2025
抗癌藥物   Etoposide phosphate  
注射液
溶液稳定性 混合物稳定性 影响稳定性的因素 兼容性 用药途径 引用文献 PDF
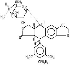
   化学式  

商品名   商品名     

商品名仅供参考, 药品所用的辅料可能依国家或厂商不同有所不同。

Etopofos 奥地利, 希腊, 瑞典
Etopophos 以色列, 保加利亚, 卢森堡, 德国, 新西蘭, 比利时, 法国, 波兰, 瑞士, 美国, 英国, 荷兰
混合物稳定性   注射液   混合物稳定性 : Etoposide phosphate     
容器 溶剂 浓度 分子 温度 保存 穩定持續時間 引用文献
聚烯烃 NaCl 0,9% 0,6 mg/ml
注射液   Etoposide phosphate   
注射液   Doxorubicin hydrochloride 0,12 mg/ml
注射液   Vincristine sulfate 0,005 mg/ml
2-6°C
5 白天
避光 1606
A级
聚烯烃 NaCl 0,9% 1,2 mg/ml
注射液   Etoposide phosphate   
注射液   Doxorubicin hydrochloride 0,24 mg/ml
注射液   Vincristine sulfate 0,010 mg/ml
2-6°C
5 白天
避光 1606
A级
聚烯烃 NaCl 0,9% 2 mg/ml
注射液   Etoposide phosphate   
注射液   Doxorubicin hydrochloride 0,4 mg/ml
注射液   Vincristine sulfate 0,016 mg/ml
2-6°C
5 白天
光/避光 1606
A级
聚烯烃 NaCl 0,9% 0,6 mg/ml
注射液   Etoposide phosphate   
注射液   Doxorubicin hydrochloride 0,12 mg/ml
注射液   Vincristine sulfate 0,005 mg/ml
35°C-40°C
5 白天
避光 1606
A级
聚烯烃 NaCl 0,9% 1,2 mg/ml
注射液   Etoposide phosphate   
注射液   Doxorubicin hydrochloride 0,24 mg/ml
注射液   Vincristine sulfate 0,010 mg/ml
35°C-40°C
5 白天
避光 1606
A级
聚烯烃 NaCl 0,9% 2 mg/ml
注射液   Etoposide phosphate   
注射液   Doxorubicin hydrochloride 0,4 mg/ml
注射液   Vincristine sulfate 0,016 mg/ml
35°C-40°C
5 白天
光/避光 1606
A级
聚異戊二烯彈性體 NaCl 0,9% 0,6 mg/ml
注射液   Etoposide phosphate   
注射液   Vincristine sulfate 0,005 mg/ml
注射液   Doxorubicin hydrochloride 0,12 mg/ml
2-6°C
14 白天
无特殊要求 4102
A+级
聚異戊二烯彈性體 NaCl 0,9% 1,2 mg/ml
注射液   Etoposide phosphate   
注射液   Vincristine sulfate 0,01 mg/ml
注射液   Doxorubicin hydrochloride 0,24 mg/ml
2-6°C
14 白天
无特殊要求 4102
A+级
聚異戊二烯彈性體 NaCl 0,9% 2 mg/ml
注射液   Etoposide phosphate   
注射液   Vincristine sulfate 0,016 mg/ml
注射液   Doxorubicin hydrochloride 0,4 mg/ml
2-6°C
14 白天
无特殊要求 4102
A+级
聚異戊二烯彈性體 NaCl 0,9% 0,6 mg/ml
注射液   Etoposide phosphate   
注射液   Vincristine sulfate 0,005 mg/ml
注射液   Doxorubicin hydrochloride 0,12 mg/ml
35°C
7 白天
避光 4102
A+级
聚異戊二烯彈性體 NaCl 0,9% 1,2 mg/ml
注射液   Etoposide phosphate   
注射液   Vincristine sulfate 0,01 mg/ml
注射液   Doxorubicin hydrochloride 0,24 mg/ml
35°C
7 白天
避光 4102
A+级
聚異戊二烯彈性體 NaCl 0,9% 2 mg/ml
注射液   Etoposide phosphate   
注射液   Vincristine sulfate 0,016 mg/ml
注射液   Doxorubicin hydrochloride 0,4 mg/ml
35°C
7 白天
避光 4102
A+级

  Mentions Légales