Letztes “update” :
17/12/2025
Antikrebsmittel   Etoposide phosphate  
Injektion
Stabilität der Lösung Gemengestabilität Stabilitätbeeinflussende Faktoren Kompatibilitäten Applikationsart Literaturverzeichnis pdf
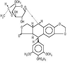
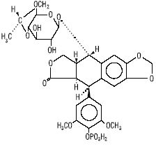
   Chemische Struktur  

Handelsmarke   Handelsmarke     

Handelsnamen sind als beispielhaft anzusehen. Sonstige Bestandteile können je nach Hersteller oder Land verschieden sein

Etopofos Griechenland, Österreich, Schweden
Etopophos Belgien, Bulgarien, Deutschland, Frankreich, Großbritannien, Israel, Luxemburg, Neuseeland, Niederlande, Polen, Schweiz, Vereinigte Staaten von Amerika
Gemengestabilität   Injektion   Gemengestabilität : Etoposide phosphate     
Behälter Lösungsmittel Konzentration Molekül Temperatur Konservierung Dauer der Stabilität Literaturverzeichnis
Polyolefin 0,9% Natriumchlorid 0,6 mg/ml
Injektion   Etoposide phosphate   
Injektion   Doxorubicin hydrochloride 0,12 mg/ml
Injektion   Vincristine sulfate 0,005 mg/ml
2-6°C
5 Tag
Ohne Licht 1606
Evidenzgrad A
Polyolefin 0,9% Natriumchlorid 1,2 mg/ml
Injektion   Etoposide phosphate   
Injektion   Doxorubicin hydrochloride 0,24 mg/ml
Injektion   Vincristine sulfate 0,010 mg/ml
2-6°C
5 Tag
Ohne Licht 1606
Evidenzgrad A
Polyolefin 0,9% Natriumchlorid 2 mg/ml
Injektion   Etoposide phosphate   
Injektion   Doxorubicin hydrochloride 0,4 mg/ml
Injektion   Vincristine sulfate 0,016 mg/ml
2-6°C
5 Tag
Mit oder ohne Licht 1606
Evidenzgrad A
Polyolefin 0,9% Natriumchlorid 0,6 mg/ml
Injektion   Etoposide phosphate   
Injektion   Doxorubicin hydrochloride 0,12 mg/ml
Injektion   Vincristine sulfate 0,005 mg/ml
35°C-40°C
5 Tag
Ohne Licht 1606
Evidenzgrad A
Polyolefin 0,9% Natriumchlorid 1,2 mg/ml
Injektion   Etoposide phosphate   
Injektion   Doxorubicin hydrochloride 0,24 mg/ml
Injektion   Vincristine sulfate 0,010 mg/ml
35°C-40°C
5 Tag
Ohne Licht 1606
Evidenzgrad A
Polyolefin 0,9% Natriumchlorid 2 mg/ml
Injektion   Etoposide phosphate   
Injektion   Doxorubicin hydrochloride 0,4 mg/ml
Injektion   Vincristine sulfate 0,016 mg/ml
35°C-40°C
5 Tag
Mit oder ohne Licht 1606
Evidenzgrad A
Polyisoprenelastomer 0,9% Natriumchlorid 0,6 mg/ml
Injektion   Etoposide phosphate   
Injektion   Vincristine sulfate 0,005 mg/ml
Injektion   Doxorubicin hydrochloride 0,12 mg/ml
2-6°C
14 Tag
Nicht genau angegeben 4102
Evidenzgrad A+
Polyisoprenelastomer 0,9% Natriumchlorid 1,2 mg/ml
Injektion   Etoposide phosphate   
Injektion   Vincristine sulfate 0,01 mg/ml
Injektion   Doxorubicin hydrochloride 0,24 mg/ml
2-6°C
14 Tag
Nicht genau angegeben 4102
Evidenzgrad A+
Polyisoprenelastomer 0,9% Natriumchlorid 2 mg/ml
Injektion   Etoposide phosphate   
Injektion   Vincristine sulfate 0,016 mg/ml
Injektion   Doxorubicin hydrochloride 0,4 mg/ml
2-6°C
14 Tag
Nicht genau angegeben 4102
Evidenzgrad A+
Polyisoprenelastomer 0,9% Natriumchlorid 0,6 mg/ml
Injektion   Etoposide phosphate   
Injektion   Vincristine sulfate 0,005 mg/ml
Injektion   Doxorubicin hydrochloride 0,12 mg/ml
35°C
7 Tag
Ohne Licht 4102
Evidenzgrad A+
Polyisoprenelastomer 0,9% Natriumchlorid 1,2 mg/ml
Injektion   Etoposide phosphate   
Injektion   Vincristine sulfate 0,01 mg/ml
Injektion   Doxorubicin hydrochloride 0,24 mg/ml
35°C
7 Tag
Ohne Licht 4102
Evidenzgrad A+
Polyisoprenelastomer 0,9% Natriumchlorid 2 mg/ml
Injektion   Etoposide phosphate   
Injektion   Vincristine sulfate 0,016 mg/ml
Injektion   Doxorubicin hydrochloride 0,4 mg/ml
35°C
7 Tag
Ohne Licht 4102
Evidenzgrad A+

  Mentions Légales