Poslední aktualizace :
18/03/2026
vėžio narkotikų   Etoposide phosphate  
Įpurškimas
Tirpalų stabilumas Mišinių stabilumas Stabilumą lemiantys veiksniai Suderinamumas Leidimo būdai Bibliografija pdf
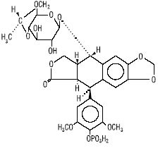
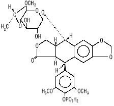
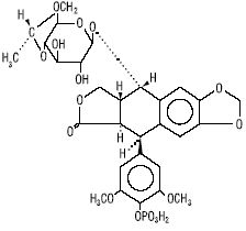
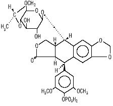
   Cheminė sandara  

Prekinis pavadinimas   Prekinis pavadinimas     

Trade names are indicative and excipients composition can be different depending on the country and manufacturers

Etopofos Austrija, Graikija, Švedija
Etopophos Belgija, Bulgarija, Didžioji Britanija, Israël, Jungtinės Amerikos Valstijos, Lenkija, Liuksemburgas, Naujojoje Zelandijoje, Olandija, Prancūzija, Šveicarija, Vokietija
Mišinių stabilumas   Įpurškimas   Mišinių stabilumas : Etoposide phosphate     
Pakuotė Tirpiklis Koncentracija Molekulė Temperatūra Laikymas Stabilumo trukmė Nuorodos
Poliolefinas Natrio chloridas 0,9% 0,6 mg/ml
Įpurškimas   Etoposide phosphate   
Įpurškimas   Doxorubicin hydrochloride 0,12 mg/ml
Įpurškimas   Vincristine sulfate 0,005 mg/ml
2-6°C
5 Diena
Apsaugotas nuo šviesos 1606
Bandymo lygis A
Poliolefinas Natrio chloridas 0,9% 1,2 mg/ml
Įpurškimas   Etoposide phosphate   
Įpurškimas   Doxorubicin hydrochloride 0,24 mg/ml
Įpurškimas   Vincristine sulfate 0,010 mg/ml
2-6°C
5 Diena
Apsaugotas nuo šviesos 1606
Bandymo lygis A
Poliolefinas Natrio chloridas 0,9% 2 mg/ml
Įpurškimas   Etoposide phosphate   
Įpurškimas   Doxorubicin hydrochloride 0,4 mg/ml
Įpurškimas   Vincristine sulfate 0,016 mg/ml
2-6°C
5 Diena
Ir šviesoje, ir tamsoje 1606
Bandymo lygis A
Poliolefinas Natrio chloridas 0,9% 0,6 mg/ml
Įpurškimas   Etoposide phosphate   
Įpurškimas   Doxorubicin hydrochloride 0,12 mg/ml
Įpurškimas   Vincristine sulfate 0,005 mg/ml
35°C-40°C
5 Diena
Apsaugotas nuo šviesos 1606
Bandymo lygis A
Poliolefinas Natrio chloridas 0,9% 1,2 mg/ml
Įpurškimas   Etoposide phosphate   
Įpurškimas   Doxorubicin hydrochloride 0,24 mg/ml
Įpurškimas   Vincristine sulfate 0,010 mg/ml
35°C-40°C
5 Diena
Apsaugotas nuo šviesos 1606
Bandymo lygis A
Poliolefinas Natrio chloridas 0,9% 2 mg/ml
Įpurškimas   Etoposide phosphate   
Įpurškimas   Doxorubicin hydrochloride 0,4 mg/ml
Įpurškimas   Vincristine sulfate 0,016 mg/ml
35°C-40°C
5 Diena
Ir šviesoje, ir tamsoje 1606
Bandymo lygis A
Poliizopreno elastomeras Natrio chloridas 0,9% 0,6 mg/ml
Įpurškimas   Etoposide phosphate   
Įpurškimas   Vincristine sulfate 0,005 mg/ml
Įpurškimas   Doxorubicin hydrochloride 0,12 mg/ml
2-6°C
14 Diena
Nenurodyta 4102
Bandymo lygis A+
Poliizopreno elastomeras Natrio chloridas 0,9% 1,2 mg/ml
Įpurškimas   Etoposide phosphate   
Įpurškimas   Vincristine sulfate 0,01 mg/ml
Įpurškimas   Doxorubicin hydrochloride 0,24 mg/ml
2-6°C
14 Diena
Nenurodyta 4102
Bandymo lygis A+
Poliizopreno elastomeras Natrio chloridas 0,9% 2 mg/ml
Įpurškimas   Etoposide phosphate   
Įpurškimas   Vincristine sulfate 0,016 mg/ml
Įpurškimas   Doxorubicin hydrochloride 0,4 mg/ml
2-6°C
14 Diena
Nenurodyta 4102
Bandymo lygis A+
Poliizopreno elastomeras Natrio chloridas 0,9% 0,6 mg/ml
Įpurškimas   Etoposide phosphate   
Įpurškimas   Vincristine sulfate 0,005 mg/ml
Įpurškimas   Doxorubicin hydrochloride 0,12 mg/ml
35°C
7 Diena
Apsaugotas nuo šviesos 4102
Bandymo lygis A+
Poliizopreno elastomeras Natrio chloridas 0,9% 1,2 mg/ml
Įpurškimas   Etoposide phosphate   
Įpurškimas   Vincristine sulfate 0,01 mg/ml
Įpurškimas   Doxorubicin hydrochloride 0,24 mg/ml
35°C
7 Diena
Apsaugotas nuo šviesos 4102
Bandymo lygis A+
Poliizopreno elastomeras Natrio chloridas 0,9% 2 mg/ml
Įpurškimas   Etoposide phosphate   
Įpurškimas   Vincristine sulfate 0,016 mg/ml
Įpurškimas   Doxorubicin hydrochloride 0,4 mg/ml
35°C
7 Diena
Apsaugotas nuo šviesos 4102
Bandymo lygis A+

  Mentions Légales