Viimeisin päivitys :
18/03/2026
syöpälääke   Etoposide phosphate  
Injektioneste
Stabilius liuoksessa Stabilius seoksissa Tekijät, jotka vaikuttavat stabiliuteen Yhteensopivuus Antotapa Viitteet pdf
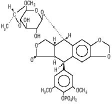
   Kemiallinen rakenne  

Kauppanimi   Kauppanimi     

Trade names are indicative and excipients composition can be different depending on the country and manufacturers

Etopofos Itävalta, Kreikka, Ruotsi
Etopophos Belgia, Bulgaria, Hollanti, Iso-Britannia, Israel, Luxemburg, New Zealand, Puola, Ranska, Saksa, Sveitsi, Yhdysvallat
Stabilius seoksissa   Injektioneste   Stabilius seoksissa : Etoposide phosphate     
Astia Liuotin Konsentraatio Yhdiste Lämpötila Säilytys Vakauden kesto Viitteet
Polyolefiini Natriumkloridi 0,9% 0,6 mg/ml
Injektioneste   Etoposide phosphate   
Injektioneste   Doxorubicin hydrochloride 0,12 mg/ml
Injektioneste   Vincristine sulfate 0,005 mg/ml
2-6°C
5 Päivä
Suojattava valolta 1606
Näytön laajuus A
Polyolefiini Natriumkloridi 0,9% 1,2 mg/ml
Injektioneste   Etoposide phosphate   
Injektioneste   Doxorubicin hydrochloride 0,24 mg/ml
Injektioneste   Vincristine sulfate 0,010 mg/ml
2-6°C
5 Päivä
Suojattava valolta 1606
Näytön laajuus A
Polyolefiini Natriumkloridi 0,9% 2 mg/ml
Injektioneste   Etoposide phosphate   
Injektioneste   Doxorubicin hydrochloride 0,4 mg/ml
Injektioneste   Vincristine sulfate 0,016 mg/ml
2-6°C
5 Päivä
Valossa tai suojassa valolta 1606
Näytön laajuus A
Polyolefiini Natriumkloridi 0,9% 0,6 mg/ml
Injektioneste   Etoposide phosphate   
Injektioneste   Doxorubicin hydrochloride 0,12 mg/ml
Injektioneste   Vincristine sulfate 0,005 mg/ml
35°C-40°C
5 Päivä
Suojattava valolta 1606
Näytön laajuus A
Polyolefiini Natriumkloridi 0,9% 1,2 mg/ml
Injektioneste   Etoposide phosphate   
Injektioneste   Doxorubicin hydrochloride 0,24 mg/ml
Injektioneste   Vincristine sulfate 0,010 mg/ml
35°C-40°C
5 Päivä
Suojattava valolta 1606
Näytön laajuus A
Polyolefiini Natriumkloridi 0,9% 2 mg/ml
Injektioneste   Etoposide phosphate   
Injektioneste   Doxorubicin hydrochloride 0,4 mg/ml
Injektioneste   Vincristine sulfate 0,016 mg/ml
35°C-40°C
5 Päivä
Valossa tai suojassa valolta 1606
Näytön laajuus A
Polyisopreeni elastomeeri Natriumkloridi 0,9% 0,6 mg/ml
Injektioneste   Etoposide phosphate   
Injektioneste   Vincristine sulfate 0,005 mg/ml
Injektioneste   Doxorubicin hydrochloride 0,12 mg/ml
2-6°C
14 Päivä
Ei määritetty 4102
Näytön laajuus A+
Polyisopreeni elastomeeri Natriumkloridi 0,9% 1,2 mg/ml
Injektioneste   Etoposide phosphate   
Injektioneste   Vincristine sulfate 0,01 mg/ml
Injektioneste   Doxorubicin hydrochloride 0,24 mg/ml
2-6°C
14 Päivä
Ei määritetty 4102
Näytön laajuus A+
Polyisopreeni elastomeeri Natriumkloridi 0,9% 2 mg/ml
Injektioneste   Etoposide phosphate   
Injektioneste   Vincristine sulfate 0,016 mg/ml
Injektioneste   Doxorubicin hydrochloride 0,4 mg/ml
2-6°C
14 Päivä
Ei määritetty 4102
Näytön laajuus A+
Polyisopreeni elastomeeri Natriumkloridi 0,9% 0,6 mg/ml
Injektioneste   Etoposide phosphate   
Injektioneste   Vincristine sulfate 0,005 mg/ml
Injektioneste   Doxorubicin hydrochloride 0,12 mg/ml
35°C
7 Päivä
Suojattava valolta 4102
Näytön laajuus A+
Polyisopreeni elastomeeri Natriumkloridi 0,9% 1,2 mg/ml
Injektioneste   Etoposide phosphate   
Injektioneste   Vincristine sulfate 0,01 mg/ml
Injektioneste   Doxorubicin hydrochloride 0,24 mg/ml
35°C
7 Päivä
Suojattava valolta 4102
Näytön laajuus A+
Polyisopreeni elastomeeri Natriumkloridi 0,9% 2 mg/ml
Injektioneste   Etoposide phosphate   
Injektioneste   Vincristine sulfate 0,016 mg/ml
Injektioneste   Doxorubicin hydrochloride 0,4 mg/ml
35°C
7 Päivä
Suojattava valolta 4102
Näytön laajuus A+

  Mentions Légales