Laatste update :
18/03/2026
geneesmiddel tegen kanker   Etoposide phosphate  
injecteerbaar geneesmiddel
Stabiliteit in oplossing Stabiliteit in mengsels Factoren die de stabiliteit beïnvloeden Verenigbaarheden Toedieningswijze Literatuur pdf
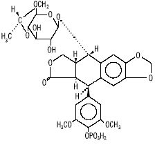
   Molecuulstructuur  

Merknamen in verschillende landen   Merknamen in verschillende landen     

Handelsnamen zijn slechts een indicatie; de samenstelling van hulpstoffen kan per land variëren afhankelijk van de fabrikant

Etopofos Griekenland, Oostenrijk, Zweden
Etopophos België, Bulgarije, Duitsland, Frankrijk, Groot Britannië, Israël, Luxemburg, Nederland, nieuw Zeeland, Polen, USA, Zwitserland
Stabiliteit in mengsels   injecteerbaar geneesmiddel   Stabiliteit in mengsels : Etoposide phosphate     
Verpakking Oplosmiddel Concentratie Stof Temperatuur Bewaring Duur van de stabiliteit Literatuur
Polyolefine Natriumchloride 0,9% 0,6 mg/ml
injecteerbaar geneesmiddel   Etoposide phosphate   
injecteerbaar geneesmiddel   Doxorubicin hydrochloride 0,12 mg/ml
injecteerbaar geneesmiddel   Vincristine sulfate 0,005 mg/ml
2-6°C
5 Dag
Buiten invloed van licht 1606
Bewijsniveau A
Polyolefine Natriumchloride 0,9% 1,2 mg/ml
injecteerbaar geneesmiddel   Etoposide phosphate   
injecteerbaar geneesmiddel   Doxorubicin hydrochloride 0,24 mg/ml
injecteerbaar geneesmiddel   Vincristine sulfate 0,010 mg/ml
2-6°C
5 Dag
Buiten invloed van licht 1606
Bewijsniveau A
Polyolefine Natriumchloride 0,9% 2 mg/ml
injecteerbaar geneesmiddel   Etoposide phosphate   
injecteerbaar geneesmiddel   Doxorubicin hydrochloride 0,4 mg/ml
injecteerbaar geneesmiddel   Vincristine sulfate 0,016 mg/ml
2-6°C
5 Dag
Met of zonder licht 1606
Bewijsniveau A
Polyolefine Natriumchloride 0,9% 0,6 mg/ml
injecteerbaar geneesmiddel   Etoposide phosphate   
injecteerbaar geneesmiddel   Doxorubicin hydrochloride 0,12 mg/ml
injecteerbaar geneesmiddel   Vincristine sulfate 0,005 mg/ml
35°C-40°C
5 Dag
Buiten invloed van licht 1606
Bewijsniveau A
Polyolefine Natriumchloride 0,9% 1,2 mg/ml
injecteerbaar geneesmiddel   Etoposide phosphate   
injecteerbaar geneesmiddel   Doxorubicin hydrochloride 0,24 mg/ml
injecteerbaar geneesmiddel   Vincristine sulfate 0,010 mg/ml
35°C-40°C
5 Dag
Buiten invloed van licht 1606
Bewijsniveau A
Polyolefine Natriumchloride 0,9% 2 mg/ml
injecteerbaar geneesmiddel   Etoposide phosphate   
injecteerbaar geneesmiddel   Doxorubicin hydrochloride 0,4 mg/ml
injecteerbaar geneesmiddel   Vincristine sulfate 0,016 mg/ml
35°C-40°C
5 Dag
Met of zonder licht 1606
Bewijsniveau A
Polyisopreen elastomeer Natriumchloride 0,9% 0,6 mg/ml
injecteerbaar geneesmiddel   Etoposide phosphate   
injecteerbaar geneesmiddel   Vincristine sulfate 0,005 mg/ml
injecteerbaar geneesmiddel   Doxorubicin hydrochloride 0,12 mg/ml
2-6°C
14 Dag
Niet gespecificeerd 4102
Bewijsniveau A+
Polyisopreen elastomeer Natriumchloride 0,9% 1,2 mg/ml
injecteerbaar geneesmiddel   Etoposide phosphate   
injecteerbaar geneesmiddel   Vincristine sulfate 0,01 mg/ml
injecteerbaar geneesmiddel   Doxorubicin hydrochloride 0,24 mg/ml
2-6°C
14 Dag
Niet gespecificeerd 4102
Bewijsniveau A+
Polyisopreen elastomeer Natriumchloride 0,9% 2 mg/ml
injecteerbaar geneesmiddel   Etoposide phosphate   
injecteerbaar geneesmiddel   Vincristine sulfate 0,016 mg/ml
injecteerbaar geneesmiddel   Doxorubicin hydrochloride 0,4 mg/ml
2-6°C
14 Dag
Niet gespecificeerd 4102
Bewijsniveau A+
Polyisopreen elastomeer Natriumchloride 0,9% 0,6 mg/ml
injecteerbaar geneesmiddel   Etoposide phosphate   
injecteerbaar geneesmiddel   Vincristine sulfate 0,005 mg/ml
injecteerbaar geneesmiddel   Doxorubicin hydrochloride 0,12 mg/ml
35°C
7 Dag
Buiten invloed van licht 4102
Bewijsniveau A+
Polyisopreen elastomeer Natriumchloride 0,9% 1,2 mg/ml
injecteerbaar geneesmiddel   Etoposide phosphate   
injecteerbaar geneesmiddel   Vincristine sulfate 0,01 mg/ml
injecteerbaar geneesmiddel   Doxorubicin hydrochloride 0,24 mg/ml
35°C
7 Dag
Buiten invloed van licht 4102
Bewijsniveau A+
Polyisopreen elastomeer Natriumchloride 0,9% 2 mg/ml
injecteerbaar geneesmiddel   Etoposide phosphate   
injecteerbaar geneesmiddel   Vincristine sulfate 0,016 mg/ml
injecteerbaar geneesmiddel   Doxorubicin hydrochloride 0,4 mg/ml
35°C
7 Dag
Buiten invloed van licht 4102
Bewijsniveau A+

  Mentions Légales