Poslední aktualizace :
18/03/2026
rakovina drog   Etoposide phosphate  
injekce
Stabilita roztoků Stabilita směsí Faktory ovlivňující stabilitu Kompatibilita Způsoby aplikace Odkazy pdf
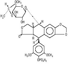
   Chemický vzorec  

Obchodní název   Obchodní název     

Trade names are indicative and excipients composition can be different depending on the country and manufacturers

Etopofos Rakousko, Švédsko, ÿecko
Etopophos Belgie, Bulharsko, Francie, Izrael, Lucembursko, NÏmecko, Nizozemsko, nový Zéland, Polsko, Švýcarsko, USA, Velká Británie
Stabilita směsí   injekce   Stabilita směsí : Etoposide phosphate     
Obal RozpouötÏdlo Koncentrace SlouËenina Teplota Uchovávání Trvání stability Odkazy
Polyoleofin Chlorid sodný 0,9% 0,6 mg/ml
injekce   Etoposide phosphate   
injekce   Doxorubicin hydrochloride 0,12 mg/ml
injekce   Vincristine sulfate 0,005 mg/ml
2-6°C
5 Den
Chráněno před světlem 1606
Úroveň zkoušky A
Polyoleofin Chlorid sodný 0,9% 1,2 mg/ml
injekce   Etoposide phosphate   
injekce   Doxorubicin hydrochloride 0,24 mg/ml
injekce   Vincristine sulfate 0,010 mg/ml
2-6°C
5 Den
Chráněno před světlem 1606
Úroveň zkoušky A
Polyoleofin Chlorid sodný 0,9% 2 mg/ml
injekce   Etoposide phosphate   
injekce   Doxorubicin hydrochloride 0,4 mg/ml
injekce   Vincristine sulfate 0,016 mg/ml
2-6°C
5 Den
S nebo bez svÏtla 1606
Úroveň zkoušky A
Polyoleofin Chlorid sodný 0,9% 0,6 mg/ml
injekce   Etoposide phosphate   
injekce   Doxorubicin hydrochloride 0,12 mg/ml
injekce   Vincristine sulfate 0,005 mg/ml
35°C-40°C
5 Den
Chráněno před světlem 1606
Úroveň zkoušky A
Polyoleofin Chlorid sodný 0,9% 1,2 mg/ml
injekce   Etoposide phosphate   
injekce   Doxorubicin hydrochloride 0,24 mg/ml
injekce   Vincristine sulfate 0,010 mg/ml
35°C-40°C
5 Den
Chráněno před světlem 1606
Úroveň zkoušky A
Polyoleofin Chlorid sodný 0,9% 2 mg/ml
injekce   Etoposide phosphate   
injekce   Doxorubicin hydrochloride 0,4 mg/ml
injekce   Vincristine sulfate 0,016 mg/ml
35°C-40°C
5 Den
S nebo bez svÏtla 1606
Úroveň zkoušky A
Polyisoprenový elastomer Chlorid sodný 0,9% 0,6 mg/ml
injekce   Etoposide phosphate   
injekce   Vincristine sulfate 0,005 mg/ml
injekce   Doxorubicin hydrochloride 0,12 mg/ml
2-6°C
14 Den
Nespecifikováno 4102
Úroveň zkoušky A+
Polyisoprenový elastomer Chlorid sodný 0,9% 1,2 mg/ml
injekce   Etoposide phosphate   
injekce   Vincristine sulfate 0,01 mg/ml
injekce   Doxorubicin hydrochloride 0,24 mg/ml
2-6°C
14 Den
Nespecifikováno 4102
Úroveň zkoušky A+
Polyisoprenový elastomer Chlorid sodný 0,9% 2 mg/ml
injekce   Etoposide phosphate   
injekce   Vincristine sulfate 0,016 mg/ml
injekce   Doxorubicin hydrochloride 0,4 mg/ml
2-6°C
14 Den
Nespecifikováno 4102
Úroveň zkoušky A+
Polyisoprenový elastomer Chlorid sodný 0,9% 0,6 mg/ml
injekce   Etoposide phosphate   
injekce   Vincristine sulfate 0,005 mg/ml
injekce   Doxorubicin hydrochloride 0,12 mg/ml
35°C
7 Den
Chráněno před světlem 4102
Úroveň zkoušky A+
Polyisoprenový elastomer Chlorid sodný 0,9% 1,2 mg/ml
injekce   Etoposide phosphate   
injekce   Vincristine sulfate 0,01 mg/ml
injekce   Doxorubicin hydrochloride 0,24 mg/ml
35°C
7 Den
Chráněno před světlem 4102
Úroveň zkoušky A+
Polyisoprenový elastomer Chlorid sodný 0,9% 2 mg/ml
injekce   Etoposide phosphate   
injekce   Vincristine sulfate 0,016 mg/ml
injekce   Doxorubicin hydrochloride 0,4 mg/ml
35°C
7 Den
Chráněno před světlem 4102
Úroveň zkoušky A+

  Mentions Légales