最新更新 :
17/12/2025
細胞増殖抑制薬   Etoposide phosphate  
注射薬
溶媒内の安定性 混合時の安定性 安定性に影響する因子 互換性 投与経路 引用文献 PDF
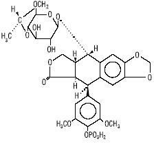
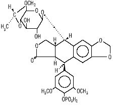
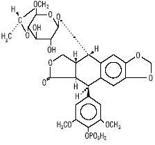
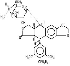
   化学構造  

商品名   商品名     

商品名、賦形剤は国、製薬会社ごとに異なることがあります

Etopofos オーストリア, ギリシア, スウェーデン
Etopophos アメリカ, イギリス, イスラエル, オランダ, スイス, ドイツ, ニュージーランド, フランス, ブルガリア, ベルギー, ポーランド, ルクセンブルグ
混合時の安定性   注射薬   混合時の安定性 : Etoposide phosphate     
容器 溶媒 濃度 化合物 温度 保管 安定期間 引用文献
ポリオレフィン NaCl 0,9% 0,6 mg/ml
注射薬   Etoposide phosphate   
注射薬   Doxorubicin hydrochloride 0,12 mg/ml
注射薬   Vincristine sulfate 0,005 mg/ml
2-6°C
5 日
遮光 1606
エビデンスレベル A
ポリオレフィン NaCl 0,9% 1,2 mg/ml
注射薬   Etoposide phosphate   
注射薬   Doxorubicin hydrochloride 0,24 mg/ml
注射薬   Vincristine sulfate 0,010 mg/ml
2-6°C
5 日
遮光 1606
エビデンスレベル A
ポリオレフィン NaCl 0,9% 2 mg/ml
注射薬   Etoposide phosphate   
注射薬   Doxorubicin hydrochloride 0,4 mg/ml
注射薬   Vincristine sulfate 0,016 mg/ml
2-6°C
5 日
光/遮光 1606
エビデンスレベル A
ポリオレフィン NaCl 0,9% 0,6 mg/ml
注射薬   Etoposide phosphate   
注射薬   Doxorubicin hydrochloride 0,12 mg/ml
注射薬   Vincristine sulfate 0,005 mg/ml
35°C-40°C
5 日
遮光 1606
エビデンスレベル A
ポリオレフィン NaCl 0,9% 1,2 mg/ml
注射薬   Etoposide phosphate   
注射薬   Doxorubicin hydrochloride 0,24 mg/ml
注射薬   Vincristine sulfate 0,010 mg/ml
35°C-40°C
5 日
遮光 1606
エビデンスレベル A
ポリオレフィン NaCl 0,9% 2 mg/ml
注射薬   Etoposide phosphate   
注射薬   Doxorubicin hydrochloride 0,4 mg/ml
注射薬   Vincristine sulfate 0,016 mg/ml
35°C-40°C
5 日
光/遮光 1606
エビデンスレベル A
ポリイソプレンエラストマー NaCl 0,9% 0,6 mg/ml
注射薬   Etoposide phosphate   
注射薬   Vincristine sulfate 0,005 mg/ml
注射薬   Doxorubicin hydrochloride 0,12 mg/ml
2-6°C
14 日
特記なし 4102
エビデンスレベル A+
ポリイソプレンエラストマー NaCl 0,9% 1,2 mg/ml
注射薬   Etoposide phosphate   
注射薬   Vincristine sulfate 0,01 mg/ml
注射薬   Doxorubicin hydrochloride 0,24 mg/ml
2-6°C
14 日
特記なし 4102
エビデンスレベル A+
ポリイソプレンエラストマー NaCl 0,9% 2 mg/ml
注射薬   Etoposide phosphate   
注射薬   Vincristine sulfate 0,016 mg/ml
注射薬   Doxorubicin hydrochloride 0,4 mg/ml
2-6°C
14 日
特記なし 4102
エビデンスレベル A+
ポリイソプレンエラストマー NaCl 0,9% 0,6 mg/ml
注射薬   Etoposide phosphate   
注射薬   Vincristine sulfate 0,005 mg/ml
注射薬   Doxorubicin hydrochloride 0,12 mg/ml
35°C
7 日
遮光 4102
エビデンスレベル A+
ポリイソプレンエラストマー NaCl 0,9% 1,2 mg/ml
注射薬   Etoposide phosphate   
注射薬   Vincristine sulfate 0,01 mg/ml
注射薬   Doxorubicin hydrochloride 0,24 mg/ml
35°C
7 日
遮光 4102
エビデンスレベル A+
ポリイソプレンエラストマー NaCl 0,9% 2 mg/ml
注射薬   Etoposide phosphate   
注射薬   Vincristine sulfate 0,016 mg/ml
注射薬   Doxorubicin hydrochloride 0,4 mg/ml
35°C
7 日
遮光 4102
エビデンスレベル A+

  Mentions Légales